Contingut no disponible en català

Us trobeu en

Documento BOE-A-2024-23367

Resolución de 4 de noviembre de 2024, de la Presidencia del Tribunal de Cuentas, por la que se convoca concurso específico para la provisión de puestos de trabajo.

Publicado en:
«BOE» núm. 272, de 11 de noviembre de 2024, páginas 143488 a 143509 (22 págs.)
Sección:
II. Autoridades y personal - B. Oposiciones y concursos
Departamento:
Tribunal de Cuentas
Referencia:
BOE-A-2024-23367

TEXTO ORIGINAL

Vacantes determinados puestos de trabajo en el Tribunal de Cuentas, que se encuentran dotados presupuestariamente y cuya provisión resulta necesaria para el cumplimiento de sus fines, la Comisión de Gobierno de esta Institución, en el ejercicio de las atribuciones que le confiere el artículo 6.c) y h), en relación con el artículo 93, ambos de la Ley 7/1988, de 5 de abril, de Funcionamiento del Tribunal de Cuentas, en su reunión de 29 de octubre de 2024, acordó aprobar las bases de la convocatoria de un concurso específico para la provisión de diversos puestos de trabajo en la Dirección de Digitalización y Tecnologías de la Información, de la Secretaría General del Tribunal de Cuentas; Acuerdo que, por la presente Resolución, se hace público.

El concurso específico de méritos que se convoca mediante la presente Resolución se regirá por lo previsto en el artículo 20.1, apartados a) y c) de la Ley 30/1984, de 2 de agosto, de medidas para la reforma de la Función Pública y en los artículos 40.1 y 45 del Reglamento General de Ingreso del Personal al servicio de la Administración del Estado y de Provisión de Puestos de Trabajo y Promoción Profesional de los Funcionarios Civiles de la Administración General del Estado, aprobado por el Real Decreto 364/1995, de 10 de marzo, todos ellos de aplicación en el Tribunal de Cuentas conforme a los artículos 37.1 de la Ley Orgánica 2/1982, de 12 de mayo, del Tribunal de Cuentas, y 88 de la Ley 7/1988, de 5 de abril, de Funcionamiento del Tribunal.

El presente concurso, de acuerdo con el artículo 14 de la Constitución española, la Directiva 2006/54/CE del Parlamento Europeo y del Consejo, de 5 de julio de 2006, relativa a la aplicación del principio de igualdad de oportunidades e igualdad de trato entre hombres y mujeres en asuntos de empleo y ocupación, el Acuerdo del Pleno del Tribunal de Cuentas de 29 de septiembre de 2014, por el que se aprueba el I Plan de Igualdad para mujeres y hombres del Tribunal de Cuentas, y la Ley Orgánica 3/2007, de 22 de marzo, para la igualdad efectiva de mujeres y hombres, tendrá en cuenta el principio de igualdad de trato entre mujeres y hombres en materia de acceso al empleo público, a la formación profesional y a las condiciones de trabajo, por lo que la provisión de puestos de trabajo se efectuará en el marco de los citados principios. Todas las menciones a los funcionarios recogidas en las bases de esta convocatoria deberán entenderse referidas a funcionarios y funcionarias.

Toda la información del concurso de traslados se realizará en formatos adecuados, siguiendo los principios de accesibilidad universal y diseño para todas las personas, definidos en la Ley General de derechos de las personas con discapacidad y de su inclusión social, aprobado por el Real Decreto Legislativo 1/2013, de 29 de noviembre. Se garantizará la igualdad y no discriminación de las personas con discapacidad en cuanto a la accesibilidad de la sede electrónica, todo ello conforme a las prescripciones vigentes en materia de accesibilidad de los sitios web y aplicaciones para dispositivos móviles del sector público.

Los datos de carácter personal facilitados por quienes participen en este concurso de traslados serán tratados por el Tribunal de Cuentas de conformidad con lo dispuesto en el Reglamento General de Protección de Datos (Reglamento (UE) 2016/679, del Parlamento Europeo y del Consejo de 27 de abril del 2016; en la Ley Orgánica 3/2018, de 5 de diciembre, de Protección de Datos Personales y garantía de derechos digitales, y en las demás normas complementarias que resulten aplicables.

De acuerdo con lo anterior, y en el ejercicio de la competencia que le atribuye el artículo 2.1.b) de la Ley 7/1988, de 5 de abril, esta Presidencia ha resuelto convocar un concurso específico para cubrir los puestos de trabajo vacantes que se relacionan en el anexo I de esta Resolución y que se desarrollará con arreglo a las siguientes

Bases

Primera. Requisitos y condiciones de participación.

1.1 De acuerdo con lo dispuesto en los apartados a) y c) del artículo 20.1 de la Ley 30/1984, de 2 de agosto, introducido por la Ley 13/1996, de 30 de diciembre, así como el artículo 41.1 del Reglamento General de Ingreso del Personal al servicio de la Administración del Estado y de Provisión de Puestos de Trabajo y Promoción Profesional de los Funcionarios Civiles de la Administración General del Estado, aprobado por el Real Decreto 364/1995, de 10 de marzo, podrá participar en el presente concurso el personal funcionario de carrera perteneciente a los Cuerpos y Escalas que se indican en el anexo I, cualquiera que sea su situación administrativa, excepto el suspenso en firme mientras dure la suspensión, siempre que reúna el resto de los requisitos y condiciones de participación exigidos en la presente convocatoria y, específicamente, para cada puesto de trabajo en el citado anexo I, de conformidad con los requerimientos previstos en la relación de puestos de trabajo del Tribunal de Cuentas. Estos requisitos, condiciones y requerimientos deberán cumplirse en la fecha de finalización del plazo de presentación de las solicitudes de participación y mantenerse hasta la toma de posesión en el puesto adjudicado.

La fecha de referencia para el cumplimiento de los méritos que se aleguen será, igualmente, la del día en que finalice el plazo de presentación de solicitudes.

1.2 Los funcionarios y funcionarias que pertenezcan a dos o más Cuerpos o Escalas del mismo o distinto subgrupo de adscripción solo podrán participar desde uno de ellos.

1.3 Los funcionarios y las funcionarias, aun perteneciendo a Cuerpos o Escalas de determinados sectores afectados de exclusiones, podrán participar en aquellos puestos que tengan clave de exclusión en la relación de puestos de trabajo, siempre y cuando se les permita en virtud de alguna resolución o acuerdo de la Comisión Ejecutiva de la Comisión Interministerial de Retribuciones (CECIR).

1.4 Los funcionarios y las funcionarias de los Cuerpos o Escalas que tengan reservados puestos en exclusiva no podrán participar en este concurso para cubrir puestos de trabajo adscritos con carácter indistinto, salvo autorización del Ministerio de Hacienda y Función Pública, de conformidad con el Departamento al que se encuentren adscritos los indicados Cuerpos o Escalas.

1.5 De acuerdo con lo previsto en el artículo 103.cuatro.5 de la Ley 31/1990, de 27 de diciembre, de Presupuestos Generales del Estado para 1991, la movilidad del personal funcionario que desempeñe puestos de trabajo de la Agencia Estatal de Administración Tributaria y que pertenezca a especialidades o escalas adscritas a ella, para la cobertura de puestos de trabajo en otras Administraciones Públicas estará sometida a la condición de previa autorización de aquélla, que podrá denegarla en atención a las necesidades del servicio.

1.6 Los funcionarios y funcionarias de carrera de la Administración Autonómica, así como los/as pertenecientes a la Administración Local, podrán participar solicitando aquellos puestos cuya clave de adscripción sea A3 (Administración del Estado, Autonómica y Local).

Segunda. Situaciones administrativas de las personas participantes.

2.1 Los/as funcionarios/as en servicio activo deberán haber permanecido en el último puesto de trabajo de destino definitivo un mínimo de dos años para poder participar en este concurso, salvo que se trate de funcionarios o funcionarias con puesto de trabajo en el Tribunal de Cuentas, o en los supuestos previstos en el párrafo segundo del artículo 20.1e) de la Ley 30/1984, de 2 de agosto, de medidas para la reforma de la Función Pública y en el de supresión de su puesto de trabajo.

2.2 Los funcionarios y las funcionarias en situación de servicio en otras Administraciones Públicas, de acuerdo con el artículo 88 del texto refundido de la Ley del Estatuto Básico del Empleado Público, aprobado por el Real Decreto Legislativo 5/2015, de 30 de octubre, que, después de transcurridos dos años desde su transferencia o traslado, hayan tomado posesión en un ulterior destino definitivo obtenido voluntariamente, no podrán participar hasta que hayan transcurrido dos años desde su incorporación al mismo; todo ello sin perjuicio de eventuales situaciones por causa de remoción, cese o supresión acaecidas en ese ulterior puesto.

2.3 Los funcionarios y las funcionarias en excedencia voluntaria por interés particular (artículo 89.2. del Estatuto Básico del Empleado Público) y en excedencia voluntaria por agrupación familiar (artículo 89.3 del citado Estatuto), solo podrán participar si al término del plazo de presentación de solicitudes han transcurrido al menos dos años desde el inicio en dicha situación.

2.4 Los funcionarios y las funcionarias en situación de servicios especiales con derecho a reserva de puesto o en excedencia por cuidado de familiares (artículos 87 y 89.4, respectivamente, del Estatuto Básico del Empleado Público) solo podrán participar si a la fecha de finalización del plazo de presentación de solicitudes han transcurrido dos años desde la fecha de toma de posesión en el último destino definitivo obtenido, salvo en los supuestos contemplados en el artículo 20.1.f de la Ley 30/1984, de 2 de agosto.

2.5 A Los funcionarios y las funcionarias que hayan accedido a otro Cuerpo o Escala por promoción interna o por integración y permanezcan en el puesto de trabajo que desempeñaban, se les computará el tiempo de servicios prestados en dicho puesto en el Cuerpo o Escala de procedencia, a efectos exclusivos de la permanencia de los dos años en destino definitivo para poder concursar.

2.6 Los funcionarios y funcionarias en servicio activo que se encuentren ocupando puestos en adscripción provisional en el Tribunal de Cuentas estarán obligados a participar en este concurso en el caso de que se convoque dicho puesto, solicitando al menos el mismo, de acuerdo con lo establecido en los artículos 62.2 y 72.1 del Real Decreto 364/1995, de 10 de marzo.

Los funcionarios y funcionarias sin destino definitivo que, habiendo solicitado el puesto que ocupan provisionalmente, no obtengan una de las plazas convocadas, podrán ser adscritos con carácter provisional a otros puestos vacantes en el Tribunal.

Tercera. Modelos, plazos y formalidades de la solicitud.

3.1 Las solicitudes para participar en el concurso se dirigirán a la Presidencia del Tribunal de Cuentas, ajustándose a los modelos publicados como anexos a esta Resolución. La presentación deberá realizarse en el plazo de quince días hábiles, contados a partir del siguiente al de la publicación de la presente convocatoria en el «Boletín Oficial del Estado», de forma telemática, a través de la sede electrónica de la web del Tribunal de Cuentas (https://sede.tcu.es).

Excepcionalmente, si la persona solicitante no pudiera acceder a la cita modalidad telemática, las solicitudes podrán presentarse también, ajustándose, en todo caso, al modelo que figura como anexo II de esta Resolución, en el Registro General del Tribunal (calle Fuencarral, 81, 28004-Madrid) o, en su caso, en las oficinas a que se refiere el artículo 16.4 de la Ley 39/2015, de 1 de octubre, del Procedimiento Administrativo Común de las Administraciones Públicas. Las solicitudes que se cursen por conducto de las Oficinas de Correos deberán presentarse en sobre abierto, para ser fechadas y selladas por el personal de Correos antes de ser certificadas.

Si durante el plazo de presentación de solicitudes se presentara más de una instancia, solo se atenderá a la presentada en último lugar, quedando anuladas las anteriores.

Las personas concursantes deberán unir a su solicitud cuantos documentos hayan de ser tenidos en cuenta.

3.2 Para participar en el concurso se deberá presentar, al menos, la siguiente documentación, ajustada a los modelos que se acompañan:

Anexo II. Solicitud de participación.

Anexo III. Certificado de méritos generales.

Anexo IV. Méritos alegados en relación con el puesto o puestos solicitados.

Los modelos se encuentran disponibles en la sede electrónica de la web del Tribunal de Cuentas. Para la cumplimentación de los citados anexos deberán seguirse estrictamente las instrucciones que en los mismos se contienen.

El anexo III (Certificado de méritos generales) deberá ser expedido, utilizando necesariamente dicho modelo, por las unidades competentes en materia de recursos humanos de los organismos de destino de los funcionarios y funcionarias participantes que se relacionan en la base sexta, apartado 2, y recogerá aquellos méritos, requisitos y datos imprescindibles que en él se señalan.

En el anexo IV, la persona solicitante alegará los méritos que posee relativos al puesto o puestos de trabajo que haya solicitado. Deberá acompañar los certificados de funciones o de experiencia profesional que considere adecuados a fin de acreditar los méritos alegados en relación con los puestos solicitados.

Todo ello sin perjuicio de que la Subdirección de Recursos Humanos del Tribunal de Cuentas pueda solicitar de los interesados la acreditación de aquellos datos y antecedentes de los que no se tenga constancia o, en su caso, la documentación adicional que se estime necesaria para la comprobación de los méritos alegados.

3.3 Los funcionarios y las funcionarias participantes con alguna discapacidad reconocida podrán solicitar la adaptación del puesto o de los puestos de trabajo. La solicitud deberá ir acompañada de un informe expedido por el órgano competente en la materia, conforme a la normativa que regula las discapacidades y en referencia a las autoridades con competencia en esta área, tales como las unidades especializadas de las Comunidades Autónomas o el Instituto Nacional de la Seguridad Social (INSS), según proceda. Este informe acreditará tanto la procedencia de la adaptación solicitada como la compatibilidad de la misma con el desempeño de las funciones atribuidas al puesto o puestos de trabajo solicitados. La valoración de dicha compatibilidad se realizará teniendo en cuenta las adaptaciones que puedan efectuarse en el puesto de trabajo.

3.4 En el supuesto de estar interesadas en las vacantes convocadas dos personas que reúnan los requisitos exigidos, podrán condicionar todos o parte de los puestos que se incluyen en sus solicitudes, por razones de convivencia familiar, al hecho de que ambas obtengan destino en este concurso, entendiéndose, en caso contrario, anulada la petición de los puestos condicionados efectuada por ambas, quedando vigente el resto de sus solicitudes.

Los funcionarios y las funcionarias que se acojan a esta petición condicional deberán concretarlo en su solicitud (anexo II) y acompañar fotocopia de la petición de la otra persona solicitante.

Los puestos sometidos a dicha condición habrán de solicitarse en los primeros números de orden del anexo II.

3.5 Las personas que participen en el concurso están obligadas a comunicar al órgano convocante cualquier cambio de situación que implique la pérdida de alguno de los requisitos exigidos para la participación en el mismo o para el desempeño de los puestos solicitados.

Cuarta. Procedimiento de exclusión. Renuncias y desistimientos de la participación en el concurso.

4.1 Finalizado el plazo de presentación de solicitudes de participación y, en todo caso, antes de la constitución de la Comisión de Valoración del concurso, se acordará, mediante Resolución de la Secretaría General del Tribunal de Cuentas, la exclusión de las personas candidatas que no reúnan los requisitos exigidos en la convocatoria, abriendo un plazo de cinco días hábiles para las posibles alegaciones por parte de las personas excluidas. Las relaciones de personas admitidas y excluidas se publicarán en la sede electrónica de la web del Tribunal de Cuentas (https://sede.tcu.es).

4.2 Una vez transcurrido el plazo de presentación de solicitudes, estas serán vinculantes para la persona peticionaria, sin que puedan ser objeto de modificación, aceptándose, no obstante, renuncias parciales a algunos de los puestos solicitados hasta la primera reunión de la Comisión de Valoración, cuya fecha se anunciará en la sede electrónica de la web del Tribunal de Cuentas.

4.3 Se admitirá, asimismo, el desistimiento de la solicitud realizada (que incluirá necesariamente la totalidad de los puestos solicitados) hasta dos días antes a la fecha de publicación de los listados provisionales de valoración de los méritos de la primera fase del concurso. Dicha fecha será objeto de publicidad con antelación en la sede electrónica de la web del Tribunal de Cuentas.

Finalizado el plazo de presentación de solicitudes, y sin perjuicio de lo establecido en las bases 3.2 y 7.7, solo será posible la presentación, en los términos previstos en esta convocatoria, de aquella documentación que las personas interesadas acrediten haber solicitado antes de la finalización del plazo de presentación de solicitudes, pero que, obrando en poder de la Administración, no haya podido ser expedida en plazo y entregada a la persona solicitante.

Quinta. Baremo de valoración de los méritos.

El presente concurso específico consta de dos fases, cuya valoración se realizará de la siguiente manera: en la primera de ellas se valorarán, de acuerdo con lo previsto para esta fase, los méritos generales enumerados en el apartado 1 de esta base; y, en la segunda, los méritos específicos adecuados a las características de cada puesto determinados en el anexo I.

Los méritos se valorarán con referencia a la fecha de cierre del plazo de presentación de instancias y se acreditarán documentalmente mediante: a) en relación con los méritos generales, el certificado de méritos (anexo III); y b) mediante títulos, diplomas u otra documentación fehaciente, cuando se trate de conocimientos, y certificaciones acreditativas de los citados méritos, si se alega experiencia en relación con los méritos específicos.

A efectos de valoración de los méritos generales, el anexo III deberá referirse a los requisitos y méritos correspondientes al cuerpo o escala desde el que se participe, a excepción de la valoración del mérito general de la antigüedad, que se realizará de acuerdo con lo previsto en la base quinta, apartado 5.1.4, y de los cursos realizados por las personas aspirantes, que se valorarán atendiendo a los acreditados por los mismos y de acuerdo con lo previsto en el apartado 5.1.3.

Para poder obtener un puesto de trabajo en el presente concurso habrá de alcanzarse una puntuación mínima de nueve puntos en la primera fase y de seis en la segunda. Los participantes que en la primera fase no obtengan la puntuación mínima exigida no podrán pasar a la segunda.

La valoración de los méritos se efectuará de acuerdo con el siguiente baremo:

5.1 Fase primera. Méritos generales.

5.1.1 Grado personal consolidado.

El grado personal consolidado como personal funcionario de carrera, en el Cuerpo o Escala desde el que se participa, se valorará en relación con el nivel de los puestos de trabajo solicitados, hasta un máximo de 4,00 puntos, de la siguiente forma:

Grado personal del concursante respecto del nivel del puesto al que concursa Puntos
Superior en dos o más niveles. 4,00
Superior en un nivel. 3,75
De igual nivel. 3,50
Inferior en un nivel. 3,25
Inferior en dos o más niveles. 3,00

En este apartado se valorará, en su caso, el grado personal reconocido por cualquier Administración Pública o en la Sociedad Estatal de Correos y Telégrafos, en el Cuerpo o Escala desde el que participa el funcionario o funcionaria de carrera, cuando se halle dentro del intervalo de niveles establecido en el artículo 71.1 del Reglamento General de Ingreso del Personal al Servicio de la Administración del Estado y de Provisión de Puestos de Trabajo y Promoción Profesional de los Funcionarios Civiles de la Administración General del Estado, para el subgrupo de titulación en el que se encuentre clasificado el mismo.

En el supuesto de que el grado reconocido en el ámbito de otras Administraciones Públicas o en la Sociedad Estatal de Correos y Telégrafos exceda del máximo establecido en la Administración General del Estado, de acuerdo con el artículo 71 del Reglamento mencionado en el párrafo anterior, para el subgrupo de titulación a que pertenezca el funcionario o funcionaria de carrera, deberá valorársele el grado máximo correspondiente al intervalo de niveles asignado a su subgrupo de titulación en la Administración General del Estado.

El funcionario o funcionaria de carrera que considere tener un grado personal consolidado, o que pueda ser consolidado durante el período de presentación de solicitudes, deberá recabar de las unidades competentes en materia de recursos humanos que dicha circunstancia quede expresamente reflejada en el anexo III (certificado de méritos generales).

5.1.2 Trabajo desarrollado.

El trabajo desarrollado se evaluará, hasta un máximo de 8,00 puntos, de la forma siguiente:

a) Por el desempeño de puestos de trabajo durante los últimos cinco años (60 meses) inmediatamente anteriores a la fecha de finalización del plazo de presentación de solicitudes, según el nivel del complemento de destino del puesto o de los puestos desempeñados por la persona solicitante con carácter provisional o definitivo, hasta un máximo de 4,00 puntos, distribuidos de la siguiente forma:

  Puntos por mes trabajado
Por el desempeño de puestos de trabajo de nivel de complemento de destino superior al del puesto al que se concursa. 0,067
Por el desempeño de puestos de trabajo de nivel de complemento de destino igual al del puesto al que se concursa. 0,05
Por el desempeño de puestos de trabajo de nivel de complemento de destino inferior en un nivel al del puesto al que se concursa. 0,04
Por el desempeño de puestos de trabajo de nivel de complemento de destino inferior en dos o más niveles al nivel del puesto al que se concursa. 0,03

En el caso de funcionarios o funcionarias procedentes de las situaciones de servicios especiales o de otras situaciones administrativas con reserva de puesto, se atenderá al nivel del puesto que tuvieran reservado, o de un puesto equivalente al que ocupaban, ya fuera con carácter provisional o definitivo, si se encontraran en el tercer año de excedencia por cuidado de familiares.

El tiempo de permanencia en la situación administrativa de excedencia por cuidado de familiares, regulado en el artículo 89.4 del texto refundido de la Ley del Estatuto Básico del Empleado Público, se considerará como de prestación de servicios efectivos.

A estos efectos, en relación con los funcionarios y las funcionarias que concursen sin nivel de complemento de destino, se entenderá que prestan sus servicios en un puesto del nivel mínimo correspondiente al subgrupo de su cuerpo o escala.

Al personal funcionario cesado en puestos de libre designación, removido de puestos obtenidos por concurso o cuyo puesto haya sido suprimido, que se encuentre pendiente de asignación de puesto de trabajo, se le valorará el nivel de complemento de destino correspondiente a su grado personal consolidado.

b) Se valorará, asimismo, hasta un máximo de 4,00 puntos, la experiencia en el desempeño de puestos de trabajo similares a los puestos convocados.

Los cuatro puntos de este epígrafe se distribuirán de la siguiente forma:

Puesto ocupado por la persona concursante Puntos
En una Subdirección o Unidad de Tecnologías de la Información y las Comunicaciones, en puestos de trabajo de similar contenido técnico o especialización al del puesto convocado. 4,00
En una Subdirección o Unidad de Tecnologías de la Información y las Comunicaciones. 3,00
En una Subdirección o Unidad con competencias indirectamente relacionadas con las Tecnologías de la Información y las Comunicaciones. 1,50

5.1.3 Cursos de formación y perfeccionamiento: Se valorarán hasta un máximo de 6 puntos.

Los cursos susceptibles de valoración serán únicamente los especificados en la convocatoria (anexo I) recibidos o impartidos, en los últimos cinco años, en el marco del Plan de Formación del Tribunal de Cuentas o en el marco del Acuerdo de Formación para el Empleo de las Administraciones Públicas, no pudiéndose valorar los pertenecientes a una carrera universitaria, los de doctorado, los derivados de procesos selectivos y los diplomas relativos a jornadas, seminarios, simposios, másteres y similares.

Solo se tendrán en cuenta los cursos acreditados en el anexo III (certificado de méritos generales) o, en su defecto, aquellos respecto a los cuales se haya expedido diploma y certificación de asistencia y/o, en su caso, certificación de aprovechamiento o impartición, los cuales deberán ser acreditados documentalmente por las personas interesadas dentro del plazo de presentación de solicitudes.

No serán objeto de valoración aquellos cursos en cuya certificación no aparezca su duración, salvo los que estén inscritos en el Registro Central de Personal, en cuyo caso se estará a las disposiciones que regulen la inscripción de los mismos en cuanto a su duración.

La valoración de estos cursos se efectuará en la siguiente forma:

a) Cursos recibidos:

Solo se valorarán los cursos recibidos con una duración igual o superior a diez horas.

– Los cursos de duración igual o superior a diez horas e inferior a quince se valorarán a razón de 0,5 puntos por curso.

– Los cursos de duración igual o superior a quince horas se valorarán a razón de 1 punto por curso.

b) Cursos impartidos:

Los cursos impartidos se valorarán con 1 punto, siempre que tengan una duración igual o superior a cinco horas.

Cada curso solo podrá ser valorado una vez y no se podrán acumular las puntuaciones obtenidas como receptor e impartidor. En caso de coincidencia, se otorgará la puntuación correspondiente como curso impartido.

Adicionalmente a los citados 6,00 puntos, se valorarán asimismo y con una puntuación de 0,125 por curso, con un máximo de 0,250 puntos, los cursos en materia de igualdad reconocidos por las Administraciones Públicas.

5.1.4 Antigüedad.

La antigüedad se valorará de la forma que se expresa a continuación, independientemente del grupo u subgrupo de adscripción del Cuerpo o Escala en el que se haya adquirido: 0,20 puntos por cada año completo de servicio, hasta un máximo de 4,00 puntos, incluyéndose en el cómputo los servicios reconocidos al amparo de lo dispuesto en la Ley 70/1978, de 26 de diciembre, prestados en cualquier cuerpo, escala o plaza. No se valorarán, a estos efectos, los servicios prestados simultáneamente con otros ya computados.

5.1.5 Méritos referidos a la conciliación de la vida personal, familiar y laboral.

El personal funcionario que alegue causas relativas a la conciliación de la vida personal, familiar y laboral para la adjudicación de un puesto en distinta localidad deberá solicitar la totalidad de los puestos de trabajo convocados, siempre que se cumplan los requisitos establecidos en la convocatoria.

En caso contrario, esto es, si no se solicitan todos los puestos de trabajo convocados, por no cumplirse respecto de ellos tales requisitos, los supuestos de conciliación de la vida personal, familiar y laboral solo serán objeto de valoración para la posible adjudicación de las plazas que tengan igual o inferior nivel de complemento de destino que el del puesto desempeñado o aquel que se tenga reservado, en caso de que se concurse desde situación distinta al servicio activo con derecho a reserva de puesto.

Se valorarán con un máximo de 4,00 puntos las siguientes situaciones:

a) El destino previo del cónyuge/pareja de hecho empleado/a público/a:

Se valorará con 2,00 puntos siempre que se haya obtenido, mediante convocatoria pública, en el municipio donde radique el puesto o puestos de trabajo solicitados y se acceda desde municipio distinto.

A estos efectos, no se otorgará puntuación a aquellos supuestos en los que la persona participante ocupe ya un puesto de trabajo con carácter provisional (adscripción provisional o comisión de servicios) en el municipio donde tiene destino el cónyuge/pareja de hecho funcionario/a.

b) El cuidado de hijos/as o cuidado de un familiar:

Se valorará con 2,00 puntos, siendo incompatibles entre sí ambos supuestos.

Cuidado de hijos/as: Se valorará tanto cuando se trate de hijos/as por naturaleza como por adopción o acogimiento permanente o preadoptivo, hasta que cumplan doce años, siempre que se acredite fehacientemente que la obtención del puesto que se solicita permitirá una mejor atención del menor, de acuerdo con el Real Decreto 255/2006, de 3 de marzo.

Cuidado de un familiar: Se valorará hasta el segundo grado inclusive de consanguinidad o afinidad, siempre que, por razones de edad, accidente, enfermedad o discapacidad no pueda valerse por sí mismo y no desempeñe actividad retribuida y se acceda desde un municipio distinto, siempre que se acredite que la obtención del puesto que se solicita permitirá una mejor atención del familiar, de acuerdo con el Real Decreto 255/2006, de 3 de marzo.

En relación con el cuidado de familiar, no se otorgará puntuación en aquellos supuestos en los que la persona participante ocupe ya un puesto de trabajo con carácter provisional (adscripción provisional o comisión de servicios) en el municipio donde radique el familiar cuyo cuidado se pretende.

Para que puedan ser valoradas situaciones relativas a la conciliación familiar, las personas solicitantes que las aleguen deberán acreditarlo necesariamente mediante la presentación de la documentación que se especifica en la base sexta, apartado 6.3, antes del cierre del plazo de presentación de solicitudes.

La puntuación máxima de esta fase será de 26,25 puntos.

La valoración provisional de esta primera fase se publicará en la sede electrónica de la página web del Tribunal de Cuentas, concediéndose a las personas interesadas un plazo de diez días para que puedan presentar alegaciones ante la Comisión de Valoración.

5.2 Fase segunda. Méritos específicos adecuados a las características del puesto.

5.2.1 Esta fase consistirá en la comprobación y valoración de los méritos específicos alegados por las personas solicitantes, considerando su nivel de adecuación a los requerimientos y características de cada puesto, a la vista de los certificados presentados.

5.2.2 La Comisión de Valoración evaluará los méritos específicos alegados por las personas solicitantes asignando hasta un máximo de 12 puntos.

Únicamente se procederá a valorar como méritos específicos los conocimientos y/o experiencia adquiridos en el desarrollo de las tareas propias de uno o varios puestos de trabajo cuando se hayan estado realizando durante seis meses o más, con independencia del cuerpo, escala o plaza donde se hayan adquirido.

Sexta. Acreditación de los méritos.

6.1 Los méritos generales enumerados en el apartado 1 de la base quinta en lo relativo al grado personal, trabajo desarrollado, cursos en su caso y antigüedad se acreditarán en el certificado de méritos generales, según modelo que figura como anexo III.

Los funcionarios o funcionarias que aleguen participación o impartición de cursos en su solicitud deberán aportar los diplomas o certificados correspondientes, salvo que, constando en su expediente personal, ya figuren en la certificación de méritos generales (anexo III). No podrá valorarse ningún curso que no figure en dicha certificación o, en defecto de ésta, que la persona candidata no haya acreditado documentalmente con su solicitud.

6.2 El certificado de méritos generales deberá ser expedido por:

a) La Subdirección de Recursos Humanos de este Tribunal, si se trata de funcionarios o funcionarias en servicio activo que ocupan puestos actualmente en el Tribunal de Cuentas o que se hallen en cualquier otra situación administrativa con reserva de puesto en el mismo.

b) La Subdirección General competente en materia de personal de los Departamentos ministeriales, o el Órgano competente en los Organismos, si se trata de funcionarios y funcionarias destinados en servicios centrales.

c) Las Secretarías Generales de las Delegaciones, Subdelegaciones y Direcciones Insulares del Gobierno, cuando se trate de funcionarios y funcionarias destinados en los servicios periféricos de ámbito regional o provincial.

d) La Subdirección General de Personal Civil del Ministerio de Defensa, cuando se trate de los funcionarios y de las funcionarias destinados en Madrid en ese Departamento Ministerial; y por los Delegados de Defensa, cuando dichos funcionarios y funcionarias estén destinados en los servicios periféricos del Ministerio de Defensa.

e) El órgano competente en materia de personal de la Administración Pública que corresponda cuando se trate de los funcionarios y de las funcionarias que se encuentren en servicio en otras Administraciones Públicas.

f) La Unidad de personal que corresponda en función del puesto de reserva del funcionario o funcionaria, cuando se encuentren en situación administrativa distinta a la de activo con derecho a reserva de puesto de trabajo.

g) La Dirección General de la Función Pública, para funcionarios y funcionarias pertenecientes a Cuerpos o Escalas adscritos al Ministerio de Hacienda y Función Pública a través de la Secretaría de Estado de Función Pública, cuando se encuentren en situación administrativa distinta a la de activo sin derecho a reserva de puesto de trabajo, teniendo en cuenta que los servicios que se hayan prestado en otras Administraciones Públicas mientras el funcionario o funcionaria se encontrase en dicha situación administrativa serán acreditados por el órgano competente de la Administración Pública en la que se prestasen los servicios.

h) El Ministerio al que esté adscrito el cuerpo o escala, siempre que sea distinto al de la Secretaría de Estado de Función Pública, en el caso de funcionarios y funcionarias que se encuentren en situación administrativa distinta a la de activo sin derecho a reserva de puesto de trabajo.

i) La Unidad de personal de la Sociedad Estatal de Correos y Telégrafos, SA, en el caso de los funcionarios y funcionarias de Cuerpos y Escalas de Correos y Telégrafos que se encuentren en servicio activo destinados en esa Sociedad Estatal o que se encuentren en situación administrativa de excedencia voluntaria o forzosa y que hayan ocupado su último destino en servicio activo en la misma.

j) La Subdirección General de Recursos Humanos del Ministerio de Asuntos Económicos y Transformación Digital, en el caso de los funcionarios y funcionarias de Cuerpos y Escalas de Correos y Telégrafos en situación administrativa de excedencia voluntaria o forzosa, cuyo último destino en servicio activo fue en la Caja Postal de Ahorros.

En el certificado de méritos generales la persona responsable de la emisión del mismo deberá incluir todos los cursos que consten en el Registro Central de Personal, en la base de datos del Ministerio u Organismo o aquellos que en ese momento aporte la persona que solicita el certificado, siempre que cumplan los requisitos para su valoración en el concurso.

6.3 Los funcionarios y las funcionarias que aleguen méritos referidos a la conciliación de la vida personal, familiar y laboral, deberán aportar, para su acreditación –además de la específica señalada en el apartado 5.1.5 de la base quinta–, la siguiente documentación, durante el plazo de presentación de solicitudes:

a) Destino previo del cónyuge funcionario:

– Certificación acreditativa del destino del cónyuge/pareja de hecho, indicando la fecha de toma de posesión del puesto de trabajo y de su forma de provisión, expedida por la Unidad Administrativa competente donde el cónyuge/pareja de hecho se halle destinado/a.

– Copia del Libro de Familia o certificación actualizada del Registro Civil de inscripción matrimonial, o, en su caso, constitución formalizada por documento público de pareja de hecho.

b) Cuidado de hijos/as:

– Copia del Libro de Familia o resolución administrativa o judicial de la adopción, acogimiento permanente o preadoptivo.

– Declaración de la persona progenitora solicitante, debidamente firmada, justificando fehacientemente las razones que avalan que el cambio de puesto permite la mejor atención del menor, que únicamente tendrá validez cuando venga motivado en términos de ubicación del puesto que se convoca.

c) Cuidado de un familiar:

– Parentesco: Libro de Familia y/o otros documentos públicos que acrediten la relación hasta el segundo grado, inclusive, de consanguinidad o afinidad.

– Situación de dependencia por edad, accidente, enfermedad o discapacidad: Certificado médico oficial o documento de los órganos de la Administración Pública competente en la materia, acreditativo de tales extremos.

– No desempeño de actividad retribuida: Certificado de no encontrarse en alta en ninguno de los regímenes de la Seguridad Social por la realización de un trabajo por cuenta propia o ajena y declaración de la persona dependiente de que no desempeña actividad retribuida alguna.

– Mejor atención familiar: Declaración de la persona solicitante, debidamente firmada, justificando las razones que avalan que el cambio de puesto permite la mejor atención del familiar.

– En todos los anteriores supuestos, certificado de empadronamiento y certificación o documentación que acredite la discapacidad, cuando sea necesario para acreditar las circunstancias derivadas de dichos documentos.

6.4 Para la acreditación de los méritos específicos de la segunda fase, las personas aspirantes cumplimentarán el anexo IV, en el que describirán someramente su experiencia y trayectoria profesional, relacionada exclusivamente con los méritos exigidos en el anexo I para la segunda fase del concurso, debiendo justificar los datos expresados en el mismo mediante títulos, diplomas u otra documentación fehaciente cuando se trate de conocimientos y certificación acreditativa de las funciones realizadas si se alega experiencia. Las certificaciones deberán estar expedidas, al menos, por Subdirectores o cargos asimilados; o con su visado, cuando quien expida el documento ocupe puesto de nivel inferior a aquéllos.

Los méritos exigidos en el anexo I en relación con la primera fase del concurso deberán referirse necesariamente a los del Cuerpo o Escala desde el que se participa en el concurso, salvo por lo que se refiere al mérito de la antigüedad, que se valorará de conformidad con lo previsto en la base quinta, apartado 5.1.4, y a los cursos realizados por las personas aspirantes, que se valorarán atendiendo a todos los acreditados por los mismos.

6.5 Para la certificación de los méritos y funciones descritos en los apartados anteriores, se aplicará lo dispuesto en el artículo 57 de la Ley Orgánica 3/2007, de 22 de marzo, para la Igualdad efectiva de mujeres y hombres, según el cual en las bases de los concursos para la provisión de puestos de trabajo se computará, a los efectos de valoración del trabajo desarrollado y de los correspondientes méritos, el tiempo que las personas candidatas hayan permanecido en las situaciones a que se refiere el artículo 56 de la citada ley orgánica.

6.6 De acuerdo con el artículo 28.7 de la Ley 39/2015, de 1 de octubre, de Procedimiento Administrativo Común de las Administraciones Públicas, las personas candidatas se responsabilizarán de los documentos que presenten. No obstante, cuando la relevancia del documento lo exija o existan dudas derivadas de la calidad de la copia, se podrán solicitar copias auténticas, de acuerdo con el artículo 27 de dicha ley.

Séptima. Criterios y procedimiento de valoración de los méritos.

7.1 Los méritos, requisitos de participación y cualesquiera otros datos alegados por las personas solicitantes deberán estar referidos a la fecha de terminación del plazo de presentación de solicitudes.

7.2 La valoración de los méritos se efectuará conforme a lo establecido en los artículos 44 y 45 del Reglamento General de Ingreso del Personal al servicio de la Administración General del Estado y de Provisión de Puestos de Trabajo y Promoción Profesional de los Funcionarios Civiles de la Administración General del Estado. El resultado de su aplicación determinará el orden de prioridad de las personas concursantes para la adjudicación de las plazas.

7.3 En la segunda fase del concurso, para valorar la experiencia profesional a través de los puestos desempeñados, cada miembro de la Comisión de Valoración deberá puntuar a las personas candidatas tomando en consideración las características y los méritos preferentes que se establecen para cada puesto, pudiendo tomar como referencia los criterios de valoración, puntuaciones e iniciativa de adjudicación expuestos motivadamente por el miembro de la Comisión de Valoración que actúe en representación del Órgano o Departamento donde figure adscrito el puesto correspondiente, que los formalizará por escrito para su debida constancia en el expediente. Dicha motivación deberá referirse a las puntuaciones propuestas para la totalidad de las personas aspirantes valorados y para cada uno de los méritos específicos objeto de valoración en esta segunda fase.

7.4 La valoración de los méritos específicos de la fase segunda se efectuará mediante la puntuación obtenida con la media aritmética de las otorgadas por cada uno de los miembros de la Comisión de Valoración, debiendo desecharse a estos efectos la máxima y la mínima concedidas o, en su caso, una de las que aparezcan repetidas como tales. Las puntuaciones otorgadas, así como la valoración final, deberán reflejarse en el acta que se levantará al efecto. La puntuación final determinará el orden de prioridad de las personas concursantes para la adjudicación de los puestos.

7.5 La propuesta de adjudicación deberá recaer sobre la persona candidata que, en cada puesto, haya obtenido mayor puntuación, sumados los resultados finales de las dos fases.

7.6 En caso de empate en la puntuación total final, se acudirá para dirimirlo, en aplicación de lo dispuesto en el artículo 44.4 del Reglamento General de Ingreso del Personal al servicio de la Administración General del Estado y de Provisión de Puestos de Trabajo y Promoción Profesional de Los funcionarios y las funcionarias civiles de la Administración General del Estado, a los méritos enunciados en la base quinta de la presente convocatoria, por el mismo orden allí expresado y, de persistir el empate, se acudirá a la fecha de ingreso, como funcionario/a de carrera, en el cuerpo o escala desde el que se concursa y, en su defecto, al número obtenido en el proceso selectivo.

7.7 Tanto la solicitud de participación como el resto de los anexos deberán cumplimentarse de forma que permita a la Comisión de Valoración el conocimiento y cómputo de las diferentes circunstancias y méritos de las personas candidatas, para lo que deberán éstos acreditar, mediante los pertinentes documentos, todos los datos alegados.

La Comisión de Valoración, en cualquier momento, podrá contrastar estos datos, a través de la Subdirección de Recursos Humanos, con los existentes en el Tribunal de Cuentas o, en su caso, órgano similar de la Administración Pública de que se trate, solicitar las oportunas aclaraciones y comprobantes a la persona concursante, en relación con los datos alegados en su solicitud, y, si procediera, modificar la puntuación otorgada. Las posibles discrepancias o dudas subsistentes serán resueltas, definitivamente, según los datos aportados por la Subdirección de Recursos Humanos del Tribunal de Cuentas o, en su caso, por el Registro Central de Personal.

7.8 Los puestos de trabajo incluidos en la convocatoria no podrán declararse desiertos cuando existan concursantes que, habiéndolos solicitado, hubiesen obtenido las puntuaciones mínimas exigidas.

Octava. Comisión de Valoración.

8.1 La valoración de los méritos y la propuesta de adjudicación de cada uno de los puestos a la persona solicitante que hubiera obtenido mayor puntuación será realizada por una Comisión de Valoración, que se ajustará al principio de composición equilibrada de mujeres y hombres, de acuerdo con el segundo párrafo del artículo 53 de la Ley Orgánica 3/2007, de 22 de marzo, para la igualdad efectiva de mujeres y hombres.

En todo lo no previsto en estas bases, se aplicarán a la Comisión de Valoración las prescripciones del artículo 46 del Reglamento General de ingreso del personal al servicio de la Administración General del Estado y de provisión de puestos de trabajo y promoción profesional de los funcionarios civiles de la Administración General del Estado.

Dicha Comisión estará integrada por los siguientes miembros:

Presidente/a: Un/a funcionario/a de cuerpos o escalas de los subgrupos A1 o A2, con destino en la Subdirección de Recursos Humanos del Tribunal de Cuentas.

Secretario/a: Un/a funcionario/a de cuerpos o escalas de los subgrupos A1 o A2, con destino en la Secretaría General del Tribunal de Cuentas.

Vocales:

– Cinco funcionarios/as de cuerpos o escalas de los subgrupos A1 o A2, con destino en el Tribunal de Cuentas.

– Las organizaciones sindicales más representativas y las que cuenten con más del diez por ciento de representantes en el conjunto de las Administraciones Públicas o en el ámbito del Tribunal de Cuentas tendrán derecho a participar como miembros en la Comisión de Valoración. Las personas representantes de las organizaciones sindicales se designarán a propuesta de éstas, advirtiéndose expresamente que, interesada la propuesta de designación por parte del Tribunal de Cuentas, si no se formulara por dichas organizaciones sindicales propuesta de nombramiento en el plazo de diez días hábiles, se entenderá que la organización sindical de que se trate decae en su derecho.

Todas las personas representantes designadas tendrán el carácter de miembros permanentes titulares, de cada uno de los cuales, con iguales requisitos de condición y adscripción, se designará un suplente.

8.2 Con el carácter de miembro no permanente, participará en los cometidos de la Comisión de Valoración, cuando sea convocada para ello, una persona representante del Departamento o Unidad de adscripción de los puestos objeto del concurso. Esta será designada por la Secretaría General del Tribunal de Cuentas, a propuesta de los titulares del Departamento o Unidad afectada.

8.3 El número de las personas representantes de las organizaciones sindicales no podrá ser igual o superior al de los miembros designados a propuesta de la Administración, tal y como dispone el artículo 46 del Reglamento General de Ingreso del Personal al servicio de la Administración General del Estado y de Provisión de Puestos de Trabajo y Promoción Profesional de los Funcionarios Civiles de la Administración General del Estado.

8.4 Todos los miembros de la Comisión de Valoración deberán, además de pertenecer a cuerpos o escalas de grupo de titulación igual o superior al exigido para los puestos convocados, poseer grado personal o desempeñar puestos de nivel igual o superior al de los convocados.

8.5 La Comisión de Valoración podrá solicitar de la autoridad convocante la designación de personas expertas, que, en calidad de asesoras, actuarán con voz pero sin voto, de acuerdo con el artículo 46 del Reglamento General de Ingreso del Personal al servicio de la Administración General del Estado y de Provisión de Puestos de Trabajo y Promoción Profesional de los Funcionarios Civiles de la Administración General del Estado.

8.6 Una vez que se determine la composición nominal de la comisión de valoración mediante Resolución de la Secretaría General, actuando por delegación de la Comisión de Gobierno, dicha composición se hará pública en la sede electrónica del Tribunal para general conocimiento y, en particular, a los efectos de abstención y recusación previstos en los artículos 23 y 24 de la Ley 40/2015, de 1 de octubre, de Régimen Jurídico del Sector Público.

Novena. Resolución del concurso.

9.1 La Comisión de Valoración propondrá a la Comisión de Gobierno del Tribunal de Cuentas las personas candidatas que hayan obtenido mayor puntuación para cada puesto, de acuerdo con lo establecido en la base séptima.

9.2 El concurso se resolverá por la Comisión de Gobierno del Tribunal de Cuentas y se hará público mediante Resolución de la Presidencia del Tribunal de Cuentas, que será objeto de publicación en el «Boletín Oficial del Estado».

9.3 La Resolución, que deberá dictarse en un plazo no superior a seis meses a contar desde el día siguiente al de la finalización del plazo de presentación de solicitudes, siendo inhábil, en su caso, a efectos de cómputo de plazos el mes de agosto, deberá expresar, además del puesto adjudicado, el de origen de cada persona adjudicataria, con indicación del respectivo Organismo de origen y nivel de complemento de destino, así como su subgrupo de clasificación y, en su caso, la situación administrativa de procedencia.

9.4 En los términos del artículo 47.2 del Reglamento General de Ingreso del Personal al servicio de la Administración General del Estado y de Provisión de Puestos de Trabajo y Promoción Profesional de Los Funcionarios Civiles de la Administración General del Estado, la resolución del concurso se motivará con expresa referencia al cumplimiento de las normas reglamentarias y de las presentes bases. En todo caso, deberán quedar acreditadas en el expediente, como fundamento de la resolución adoptada, la observancia del procedimiento debido y la valoración final de los méritos de las personas candidatas.

9.5 El plazo de toma de posesión del nuevo destino obtenido será de tres días hábiles, si no implica cambio de residencia del funcionario o funcionaria; o de un mes, si comporta cambio de residencia o el reingreso al servicio activo. Dicho plazo de toma de posesión empezará a contarse a partir del día siguiente al del cese, que deberá efectuarse dentro de los tres días hábiles siguientes al de la publicación de la resolución del concurso en el «Boletín Oficial del Estado». Si la resolución comporta el reingreso al servicio activo, el plazo de toma de posesión deberá computarse desde dicha publicación.

Lo establecido en el párrafo anterior se entiende sin perjuicio de la aplicación, en su caso, de lo dispuesto en el punto 2 del artículo 48 del Reglamento General de Ingreso del Personal al servicio de la Administración General del Estado y de Provisión de Puestos de Trabajo y Promoción Profesional de los Funcionarios Civiles de la Administración General del Estado, en materia de posible aplazamiento de las fechas de cese y toma de posesión por necesidades del servicio.

9.6 El cómputo de los plazos posesorios se iniciará cuando finalicen los permisos o licencias que, en su caso, hayan sido concedidos a las personas interesadas, salvo que, por causas justificadas, el órgano convocante acuerde suspender su disfrute. No obstante, para los funcionarios y las funcionarias que se encuentren en situación de licencia por enfermedad, se diligenciará el cese y la toma de posesión en el nuevo destino, sin que por ello sea necesario que finalice la licencia que tengan concedida.

9.7 El destino adjudicado será irrenunciable, salvo que, antes de finalizar el plazo posesorio, se hubiere obtenido otro destino mediante convocatoria pública, en cuyo caso la persona adjudicataria podrá optar entre los puestos que le hayan sido adjudicados, estando obligada a comunicar la opción realizada a los Organismos en cuyos concursos participó, en el plazo de tres días.

9.8 Los destinos adjudicados se considerarán de carácter voluntario y, en consecuencia, no generarán derecho al abono de indemnización por concepto alguno.

9.9 La publicación en el «Boletín Oficial del Estado» de la resolución del concurso, con adjudicación de los puestos, servirá de notificación a las personas interesadas y, a partir de la misma, empezarán a contarse los plazos establecidos en esta base.

Décima. Recursos.

Contra la presente Resolución, las personas interesadas podrán interponer recurso de alzada ante el Pleno del Tribunal de Cuentas en el plazo de un mes, de conformidad con lo establecido en el artículo 21.3.c), de la Ley 2/1982, de 12 de mayo, Orgánica del Tribunal de Cuentas, y en el 3.j) y disposición adicional primera, 1 y 4, de la Ley 7/1988, de 5 de abril, de Funcionamiento del Tribunal, en relación con los artículos 121 y 122 de la Ley 39/2015, de 1 de octubre, del Procedimiento Administrativo Común de las Administraciones Públicas.

Madrid, 4 de noviembre de 2024.–La Presidenta del Tribunal de Cuentas, Enriqueta Chicano Jávega.

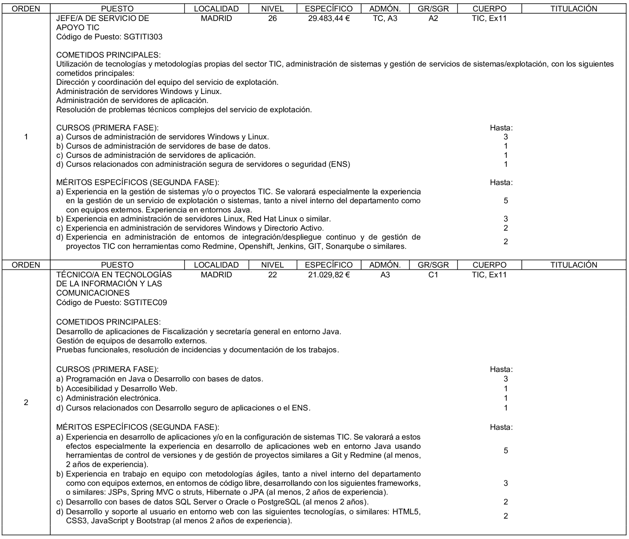
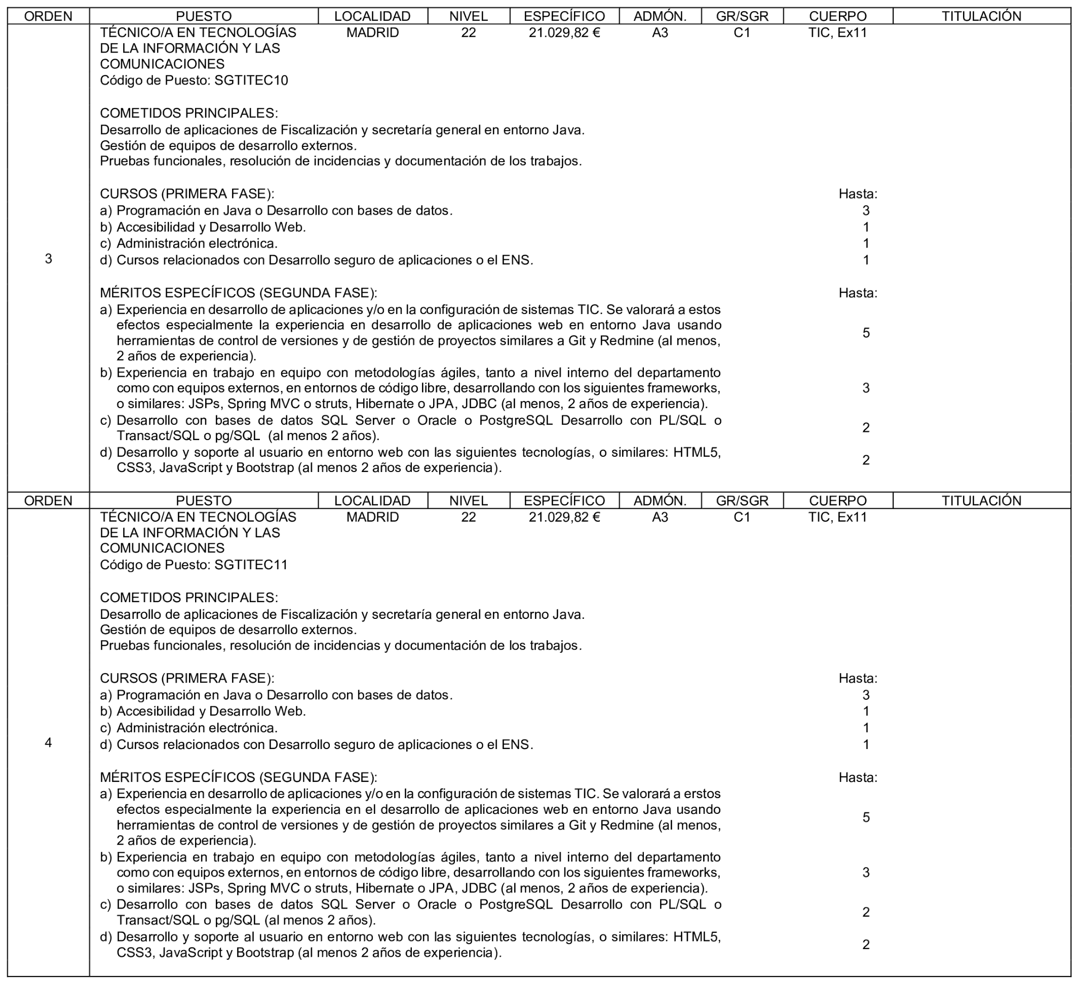
ANEXO I
Puestos convocados

Secretaría General

Dirección de Digitalización y Tecnologías de la Información

Imagen: /datos/imagenes/disp/2024/272/23367_14985953_1.png

Imagen: /datos/imagenes/disp/2024/272/23367_14985953_2.png

Imagen: /datos/imagenes/disp/2024/272/23367_14985953_3.png

ANEXO II
Solicitud de participación

Imagen: /datos/imagenes/disp/2024/272/23367_14985953_4.png

ANEXO III
Certificado de méritos

Imagen: /datos/imagenes/disp/2024/272/23367_14985953_5.png

Imagen: /datos/imagenes/disp/2024/272/23367_14985953_6.png

ANEXO IV
Méritos alegados

Imagen: /datos/imagenes/disp/2024/272/23367_14985953_7.png

ANÁLISIS

  • Rango: Resolución
  • Fecha de disposición: 04/11/2024
  • Fecha de publicación: 11/11/2024
  • Convocatoria. 6 plazas.
Referencias posteriores

Criterio de ordenación:

  • SE PUBLICA la resolución, por Resolución de 14 de junio de 2025 (Ref. BOE-A-2025-12690).
  • SE AMPLÍA el plazo para resolver el concurso específico, por Resolución de 17 de mayo de 2025 (Ref. BOE-A-2025-10342).

subir

Agència Estatal Butlletí Oficial de l'Estat

Avda. de Manoteras, 54 - 28050 Madrid