Contingut no disponible en català

Us trobeu en

Documento BOE-A-1999-21384

Resolución 244/1999, de 28 de octubre, del Instituto para la Vivienda de las Fuerzas Armadas, por la que se convoca la concesión de ayudas económicas para el acceso a la propiedad de vivienda de los miembros de las Fuerzas Armadas, durante el año 1999.

Publicado en:
«BOE» núm. 263, de 3 de noviembre de 1999, páginas 38562 a 38567 (6 págs.)
Sección:
III. Otras disposiciones
Departamento:
Ministerio de Defensa
Referencia:
BOE-A-1999-21384

TEXTO ORIGINAL

La Ley 26/1999, de 9 de julio, de medidas de apoyo a la movilidad geográfica de los miembros de las Fuerzas Armadas, con el objetivo de facilitar el acceso de éstos a la propiedad de vivienda establece en su artículo 11 la concesión de ayudas y subvenciones a los militares de carrera y a los militares profesionales de tropa y marinería que mantienen una relación de servicios de carácter permanente, en situación de servicio activo, en los términos previstos en los artículos 81 y 82 de la Ley General Presupuestaria y de acuerdo con las disponibilidades presupuestarias.

En desarrollo del citado precepto, la Orden 242/1999, de 21 de octubre, por la que se determinan las bases reguladoras para la concesión de ayudas económicas para el acceso a la propiedad de vivienda de los miembros de las Fuerzas Armadas, establece el régimen jurídico al que están sometidas, los requisitos que deben reunir los solicitantes, los criterios de valoración para determinar el orden de prelación de las solicitudes y las incompatibilidades que serán de aplicación a los que resulten adjudicatarios.

Asimismo, determina que estas ayudas serán concedidas por el Instituto para la Vivienda de las Fuerzas Armadas, iniciándose el procedimiento de oficio mediante convocatoria previa realizada por el Director general Gerente del citado Organismo. En su virtud, dispongo:

Primero. Objeto.

De acuerdo con lo dispuesto en el apartado tercero de la Orden 242/1999, de 21 de octubre, por la que se determinan las bases reguladoras para la concesión de ayudas económicas para el acceso a la propiedad de vivienda de los miembros de las Fuerzas Armadas, por la presente Resolución se convoca la concesión de las mismas, en régimen de concurrencia competitiva, con cargo a la aplicación presupuestaria 14.206.214A.782, del presupuesto de gastos vigente del Instituto para la Vivienda de las Fuerzas Armadas (INVIFAS).

Segundo. Beneficiarios.

Podrán ser beneficiarios de estas ayudas los militares de carrera de las Fuerzas Armadas y los militares profesionales de tropa y marinería que mantienen una relación de servicios de carácter permanente, que cumplan los requisitos establecidos en esta Resolución.

Tercero. Requisitos.

1. Para la concesión de las ayudas deberán concurrir los siguientes requisitos:

a) Que el solicitante se encuentre en situación de servicio activo en

la fecha de publicación de la presente Resolución.

b) Que la vivienda para la que se solicite la ayuda esté ubicada en territorio nacional, se adquiera en el período comprendido entre el 11 de julio, fecha de entrada en vigor de la Ley 26/1999, y el 31 de diciembre de 1999 y se encuentre en alguna de las siguientes circunstancias:

– Que se adquiera por el solicitante mediante compraventa, entendiéndose a estos efectos como fecha de adquisición la de formalización en escritura pública.

– Que se adquiera por el solicitante mediante construcción propia, entendiéndose a estos fines como fecha de adquisición la de finalización de las obras correspondientes que se acreditará mediante la oportuna licencia de primera ocupación expedida por el Ayuntamiento competente.

En todo caso, quedan excluidas del ámbito de aplicación de esta Resolución las obras de remodelación, ampliación o rehabilitación de una vivienda ya existente.

c) Asimismo, los solicitantes deberán cumplir las obligaciones, reunir los requisitos y no estar incursos en las incompatibilidades señaladas en esta Resolución.

2. No podrán ser beneficiarios de estas ayudas los militares que se encuentren en alguna de las siguientes circunstancias:

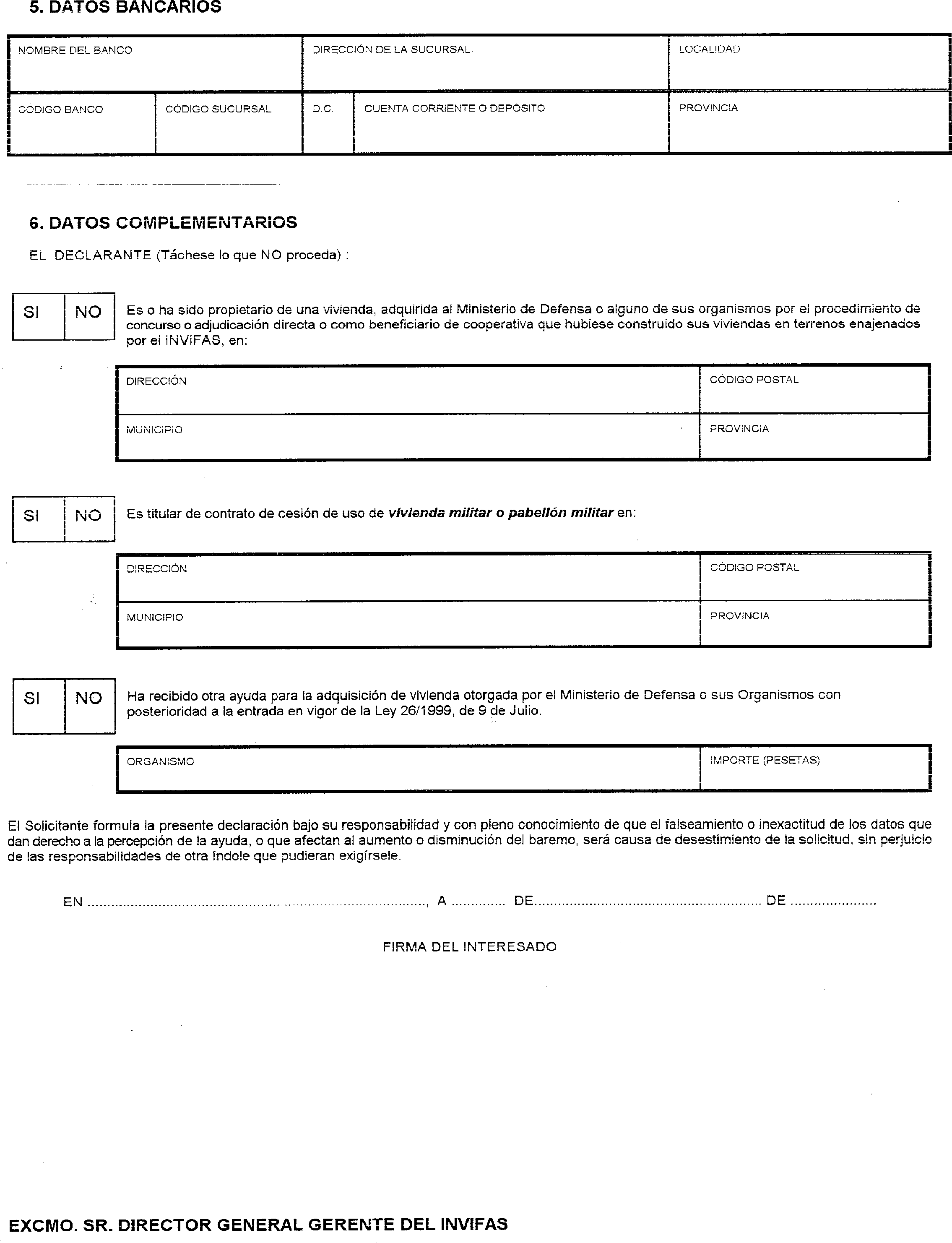
a) Haber adquirido una vivienda enajenada por el Ministerio de Defensa o sus organismos por el procedimiento de concurso o adjudicación directa o como beneficiario de cooperativa que hubiese construido sus viviendas en terrenos enajenados por el INVIFAS.

b) Ser titular del contrato de cesión de uso de una vivienda militar enajenable.

c) Haber recibido otra ayuda para la adquisición de vivienda otorgada por el Ministerio de Defensa o sus organismos, con posterioridad a la entrada en vigor de la Ley 26/1999, de 9 de julio.

Cuarto. Importe máximo y cuantía de la ayuda.

1. El importe máximo destinado a las ayudas durante el año 1999 será la dotación total del correspondiente crédito del presupuesto de gastos del INVIFAS, en los términos derivados de las vigentes normas de gestión presupuestaria. Las ayudas se concederán en función del crédito disponible, no siendo suficiente que el peticionario reúna los requisitos para su concesión.

2. El importe de cada ayuda individual será de 2.500.000 pesetas, sin perjuicio de las minoraciones que correspondan según lo que se establece en los siguientes puntos de este apartado.

3. En ningún caso el importe máximo de la ayuda a conceder por el INVIFAS podrá ser superior al 50 por 100 del precio de la vivienda que se pretende adquirir.

4. El importe de la citada ayuda no podrá ser, en ningún caso, de tal cuantía que, en concurrencia con subvenciones o ayudas de otras Administraciones Públicas o de otros entes, públicos o privados, nacionales o internacionales, supere el 75 por 100 del precio de la citada vivienda.

5. En caso de que la vivienda se adquiera en copropiedad se tendrá en cuenta, además, lo siguiente:

a) Si la copropiedad es con el cónyuge, la ayuda se concederá como si el titular la hubiese adquirido en su totalidad.

b) Si la copropiedad es con otra persona perteneciente a las Fuerzas Armadas en situación de servicio activo, la ayuda se concederá a cada uno de los propietarios si se cumplen los demás requisitos exigidos en la presente norma.

c) Si la copropiedad es con persona distinta a las señaladas en las letras anteriores, se considerará como precio de la vivienda la participación del beneficiario en la copropiedad.

Quinto. Incompatibilidades.

Quienes perciban una ayuda de las convocadas por la presente Resolución no podrán acceder a:

1. Compensación económica para atender la necesidad de vivienda por cambio de destino que suponga cambio de localidad o área geográfica.

2. Adjudicación de vivienda militar en régimen de arrendamiento especial, salvo que ésta se encuentre vinculada a un determinado cargo, de acuerdo con lo establecido en el artículo 8, apartado 1, de la Ley 26/1999, de 9 de julio.

3. Adquisición de vivienda enajenada por el Ministerio de Defensa o sus organismos por el procedimiento de adjudicación directa o concurso o por cooperativa que la hubiera construido en terrenos enajenados por el INVIFAS.

4. Otra ayuda para la adquisición de vivienda otorgada por el Ministerio de Defensa o sus organismos.

Sexto. Procedimiento de concesión.

1. Las solicitudes podrán presentarse en el plazo de treinta días naturales a partir de la fecha de publicación de esta Resolución, en las Delegaciones del INVIFAS o del Ministerio de Defensa, mediante el impreso normalizado que figura como anexo y que les será facilitado en dichas dependencias, sin perjuicio de lo establecido en el artículo 38.4 de la Ley 30/1992, de 26 de noviembre, que contendrá la comunicación al interesado en los términos previstos en el artículo 42.4 de la referida norma. Las citadas dependencias remitirán las solicitudes a la Subdirección General de Gestión del INVIFAS.

Las solicitudes deberán ir acompañadas de la siguiente documentación, en original o fotocopia debidamente compulsada:

a) Documento nacional de identidad.

b) Ficha resumen de la hoja de servicios actualizada o documento con los mismos efectos.

c) Nómina mensual.

d) Libro de familia y declaración del IRPF del ejercicio anterior, en el caso de que se declaren hijos a cargo.

e) Resolución de reconocimiento de minusvalías, si procede.

f) Declaración de las subvenciones o ayudas recibidas para el mismo objeto, procedentes de cualquier Administración Pública o de otros entes, públicos o privados, nacionales o internacionales, si procede.

2. A los solicitantes que no aporten toda la documentación requerida para acreditar los requisitos exigibles se les concederá un plazo de diez días para su cumplimentación. Caso de no presentar los documentos señalados en las letras a) y b) del punto anterior, se tendrá por desistida la solicitud. Si los documentos omitidos son otros, las circunstancias que deberían haber sido acreditadas con los mismos no se tendrán en cuenta para la baremación.

3. La Subdirección General de Gestión del INVIFAS someterá las solicitudes y documentación a la Comisión de Estudio y Valoración a que se refiere el apartado octavo de la Orden 242/1999, al objeto de que ésta proceda a su examen y comprobación y a formular la propuesta de concesión de las ayudas, aplicando los criterios de valoración que se recogen en el apartado séptimo de esta Resolución.

4. La concesión o denegación de estas ayudas se realizará mediante resolución del Director general Gerente del INVIFAS, que será publicada en el «Boletín Oficial del Estado», de acuerdo con lo dispuesto en el artículo 59.5.b) de la Ley 30/1992, de 26 de noviembre.

5. Los solicitantes a los que se les haya concedido la ayuda deberán presentar, antes del 10 de enero del año 2000 y en todo caso previamente a la percepción de la ayuda económica, en los registros y lugares indicados en el punto 1 de este apartado, la siguiente documentación según proceda:

– Fotocopia compulsada de la escritura pública de compraventa de la vivienda.

– Fotocopia compulsada de la licencia de primera ocupación expedida por el Ayuntamiento respectivo, si se trata de construcción propia.

Séptimo. Criterios de valoración.

El orden de prelación de las solicitudes para la concesión de estas ayudas se determinará aplicando el siguiente baremo:

    Puntuación
a) Por cada trienio devengado................................ 1 puntos
b) Por cada hijo menor de 25 años a cargo del solicitante.. 3 puntos
c) Sin perjuicio de la puntuación de la letra b) anterior, por cada hijo con una minusvalía superior al 35 por 100, calificado oficialmente por órganos competentes  
  de la Administración....................................... 3 puntos
d) Ser usuario de vivienda militar no enajenable, adjudicada con anterioridad a la entrada en vigor de la Ley 26/1999, de 9 de julio, con renuncia expresa a la misma  
  en caso de que le sea concedida la ayuda................. 3 puntos

En caso de igualdad entre dos o más solicitantes, se comparará la puntuación obtenida en los parámetros anteriores, por el orden en que se citan. Si persistiera dicha igualdad, se resolverá a favor del de mayor edad.

Octavo. Procedimiento para el pago de las ayudas.

Dictada la resolución de concesión de la ayuda y acreditada la adquisición de la vivienda con la documentación señalada en el punto 5 del apartado sexto de esta Resolución, el INVIFAS procederá a la tramitación del pago correspondiente al beneficiario.

El importe total a que asciende cada ayuda se abonará por el INVIFAS, de una sola vez, mediante transferencia bancaria a la cuenta o depósito que indique el beneficiario.

Noveno. Obligaciones de los beneficiarios.

Los beneficiarios de las ayudas estarán sujetos a las obligaciones siguientes:

a) Realizar la adquisición de la vivienda que fundamenta la concesión de la ayuda y acreditar la misma mediante la presentación de la documentación y en el plazo establecido.

b) Someterse a las actuaciones de comprobación que pueda efectuar el INVIFAS y a las de control financiero que corresponden a la Intervención General de la Administración del Estado y a las previstas en la legislación del Tribunal de Cuentas, al que facilitarán cuanta información les sea requerida.

c) Comunicar al INVIFAS la obtención de otras ayudas para el mismo objeto, cualquiera que sea su procedencia.

Décimo. Revisión de la concesión.

La inexactitud en la declaración de los requisitos e incompatibilidades regulados en la presente Resolución o en la normativa vigente en materia de subvenciones públicas y, en todo caso, la no declaración de la obtención concurrente de ayudas de otras Administraciones Públicas o de otros entes, públicos o privados, nacionales o internacionales, constituye infracción administrativa y dará lugar a la modificación o revocación de la resolución de la concesión, según lo previsto en el artículo 81 de la Ley General Presupuestaria, debiendo el beneficiario proceder al reintegro de las cantidades percibidas. Dicho reintegro se efectuará de acuerdo con lo establecido en el artículo 8.º del Reglamento de Procedimiento para la Concesión de Ayudas y Subvenciones Públicas.

Undécimo. Fin de la vía administrativa.

De acuerdo con lo establecido en el apartado 3 de la disposición adicional decimoquinta de la Ley 6/1997, de 14 de abril, de Organización y Funcionamiento de la Administración General del Estado, los actos y resoluciones del Director general Gerente ponen fin a la vía administrativa. Contra los mismos únicamente procederá el recurso de reposición potestativo, previo a la vía contencioso-administrativa.

Duodécimo. Normativa.

Estas ayudas estarán sometidas a lo dispuesto en la Orden 242/1999, por la que se determinan las bases reguladoras para su concesión, a lo establecido en los artículos 81 y 82 de la Ley General Presupuestaria, al Reglamento de Procedimiento para la Concesión de Ayudas y Subvenciones Públicas y a la Ley 30/1992, de 26 de noviembre.

Disposición final. Entrada en vigor.

La presente Resolución entrará en vigor el día siguiente al de su publicación en el «Boletín Oficial del Estado».

Madrid, 28 de octubre de 1999.–El Director general Gerente, José Luis Ramos Prieto.

Imagen: /datos/imagenes/disp/1999/263/21384_15208674_image1.png

Imagen: /datos/imagenes/disp/1999/263/21384_15208674_image2.png

Imagen: /datos/imagenes/disp/1999/263/21384_15208674_image3.png

Imagen: /datos/imagenes/disp/1999/263/21384_15208674_image4.png

subir

Agència Estatal Butlletí Oficial de l'Estat

Avda. de Manoteras, 54 - 28050 Madrid