Está Vd. en

Documento BOE-A-2000-1962

Resolución de 30 diciembre de 1999, de la Dirección General de Cooperación y Comunicación Cultural, por la que se convocan determinadas ayudas correspondientes al año 2000.

Publicado en:
«BOE» núm. 26, de 31 de enero de 2000, páginas 4254 a 4276 (23 págs.)
Sección:
III. Otras disposiciones
Departamento:
Ministerio de Educación y Cultura
Referencia:
BOE-A-2000-1962

TEXTO ORIGINAL

La Orden de 26 de marzo de 1998 («Boletín Oficial del Estado» número 80, de 3 de abril) establece las bases reguladoras para la concesión de determinadas ayudas de la Dirección General de Cooperación y Comunicación Cultural.

Procede ahora, de conformidad con lo previsto en el punto tercero de la citada Orden, convocar las ayudas correspondientes al 2000, para lo cual dispongo:

Primero.

1. Se convocan para el 2000 las ayudas de acción y promoción cultural, de formación de profesionales de la cultura, y de viaje, conforme a la regulación que se establece en los apartados siguientes de la presente Resolución.

2. Las ayudas tendrán las siguientes finalidades:

a) Favorecer la comunicación cultural entre las Comunidades Autónomas, mediante la realización de actividades que contemplen características o aspectos culturales comunes o interrelacionados de las mismas, o que propicien el conocimiento mutuo de la pluralidad y riqueza de sus respectivos patrimonios culturales.

b) Difundir la cultura española en el exterior y fomentar las relaciones culturales entre España y otros países.

c) Participar en las conmemoraciones históricas de carácter nacional o internacional y en otros acontecimientos históricos y culturales de relevancia, con especial atención a los centenarios que se conmemoren en el 2000 y 2001.

d) Favorecer la preservación, el conocimiento y la difusión del patrimonio cultural común de España.

3. No podrán ser objeto de estas ayudas las actividades de investigación científica, las actividades docentes en enseñanzas regladas, y, en general, las que excedan del ámbito competencial, por razón de la materia, de la Dirección General de Cooperación y Comunicación Cultural.

Segundo. Ayudas de acción y promoción cultural.

1. Objeto y condiciones

1. Ayudas que, cumpliendo alguna de las finalidades del apartado anterior, tienen por objeto el fomento de actividades que contribuyan a promover y difundir las distintas manifestaciones culturales, tanto en el interior como en el exterior de España. En todo caso se tratará de actividades que tengan lugar entre el 1 de enero y el 31 de diciembre del 2000.

2. El importe de estas ayudas sólo será aplicable a los gastos generados directamente en la realización de las actividades para las que se conceda la ayuda, con las especificaciones que determine la Resolución de concesión, y las condiciones y requisitos que se detallan en el anexo I a la presente Resolución.

2. Imputación presupuestaria

Las ayudas concedidas se sufragarán con los créditos del Presupuesto de Gastos del Ministerio de Educación y Cultura para el 2000 que a continuación se especifican, con indicación de la cantidad máxima imputable a cada concepto:

Aplicación presupuestaria Cantidad máxima imputable
Pesetas Euros
18.15.455C.481. 491.000.000 2.950.969,43
18.15.134B.482. 65.000.000 390.657,87
 Total. 556.000.000 3.341.627,30

La efectiva adjudicación de estas ayudas quedará condicionada a la aprobación de los citados créditos en la Ley de Presupuestos Generales del Estado para el 2000.

3. Beneficiarios

Personas físicas o jurídicas, de nacionalidad española, o de cualquier Estado miembro de la Unión Europea, o de los Estados signatarios del Acuerdo sobre el Espacio Económico Europeo. Las personas jurídicas no podrán tener ánimo de lucro y deberán estar legalmente constituidas a la fecha de finalización del plazo de presentación de solicitudes. Quedan excluidas las Administraciones Públicas, sus organismos autónomos, las empresas públicas y otros entes públicos, así como los beneficiarios de anteriores ayudas y subvenciones, con cargo a los créditos del Ministerio de Educación y Cultura y sus organismos autónomos, que no hayan justificado las mismas de conformidad con lo establecido en las correspondientes normas reguladoras.

4. Presentación de solicitudes

1. Las solicitudes, que se ajustarán al modelo que se publica como anexo II a) (personas físicas) o II b) (personas jurídicas) a la presente Resolución, se cumplimentarán, enteramente a máquina o con letra de molde, en español, y deberán dirigirse al Director general de Cooperación y Comunicación Cultural.

Las solicitudes deberán formularse por los interesados o personas que acrediten su representación por cualquier medio válido en derecho. Dichas solicitudes podrán presentarse por cualquiera de las siguientes vías:

En el Registro General del Ministerio de Educación y Cultura, Secretaría de Estado de Cultura (plaza del Rey, 1, 28071 Madrid).

En las Delegaciones y Subdelegaciones del Gobierno.

En las oficinas de Correos (con el sobre abierto para que pueda ser sellado su interior, del modo que se indicará en las propias oficinas de Correos).

En las representaciones diplomáticas u oficinas consulares de España, para las solicitudes que se envíen desde el extranjero.

Por cualquiera de los otros medios previstos en el artículo 38.4 de la Ley 30/1992, de 26 de noviembre, de Régimen Jurídico de las Administraciones Públicas y del Procedimiento Administrativo Común (en lo sucesivo LRJ-PAC).

No se admitirán, como medio de presentación de solicitudes, los servicios de mensajería privados ni los servicios de correos extranjeros.

2. A la solicitud deberá adjuntarse la siguiente documentación en idioma español, o traducida al mismo cuando corresponda:

a) Fotocopia del documento nacional de identidad o pasaporte y del número de identificación fiscal, si se trata de personas físicas.

b) Código de identificación fiscal de la entidad, acta fundacional, estatutos y certificación de la inscripción en el Registro correspondiente, si se trata de personas jurídicas.

c) Documento anexo III cumplimentado a máquina o con letra de molde en su totalidad. Los datos no aportados, total o parcialmente, no podrán ser tenidos en cuenta a efectos de su valoración.

5. Plazo de presentación

1. El plazo de presentación de solicitudes será de treinta días naturales a partir del día siguiente a la publicación de la presente Resolución en el «Boletín Oficial del Estado».

2. Si la solicitud no reuniera los datos de identificación tanto de la ayuda solicitada como de la persona o entidad solicitante o alguno de los requisitos previstos en el artículo 70 de la LRJ-PAC, ya sea en el momento de la presentación o con posterioridad a la selección, una vez requerida la documentación a la que se refiere el punto 6.3 de este apartado segundo, la Dirección General de Cooperación y Comunicación Cultural requerirá al interesado para que, en el plazo de diez días hábiles, subsane la falta o acompañe los documentos preceptivos, con indicación de que, si así no lo hiciera, se le tendrá por desistido de su petición, previa resolución, que deberá ser dictada en los términos previstos en el artículo 42 de la misma ley.

3. Sin perjuicio de lo anterior, en cualquier momento a lo largo del procedimiento podrá instarse a la persona o entidad solicitante para que cumplimente cualquier otro requisito o trámite omitido, de acuerdo con lo previsto en el artículo 76 de la LRJ-PAC, concediendo a tal efecto un plazo de diez días hábiles a partir de la notificación, con expreso apercibimiento de que, de no hacerlo así, se le podrá declarar decaído en su derecho a la tramitación de la solicitud.

6. Instrucción del procedimiento y criterios de selección

1. La Comisión de Estudio y Valoración será el órgano competente para la instrucción del procedimiento.

2. La concesión de estas ayudas se efectuará en régimen de concurrencia competitiva, previa selección y propuesta de resolución que efectuará la Comisión de Estudio y Valoración que, en todo caso, evaluará las solicitudes teniendo en cuenta los siguientes criterios:

a) Valoración de la aportación que represente la actividad propuesta para el cumplimiento de las finalidades del apartado primero de la presente Resolución, con atención preferente a los proyectos o actividades que fomenten el voluntariado, el turismo y la gestión culturales ;y que se centren en la conmemoración de los centenarios que se celebren en el 2000 y 2001.

b) Trayectoria dentro de la actividad para la que se solicita la ayuda.

c) Capacidad y solvencia del solicitante y adecuación de los medios propuestos para la realización de la actividad.

d) Relación entre el presupuesto total de la actividad y la cuantía de la ayuda solicitada.

e) Amplitud del ámbito territorial al que se extienda, física o conceptualmente, la actividad.

3. Realizada la selección de solicitudes a que se refiere el punto 6.2 de este apartado segundo, y antes de que la Comisión de Estudio y Valoración formule la propuesta de Resolución, se requerirá a los seleccionados para que, en el plazo de quince días hábiles, acrediten estar al corriente de las obligaciones tributarias y de la Seguridad Social, mediante la presentación de la documentación a que se refiere el punto quinto, 2, c) de la Orden de 26 de marzo de 1998.

7. Resolución

1. La Resolución de concesión de estas ayudas se dictará dentro del plazo de cinco meses desde el día siguiente a la publicación de la presente Resolución en el «Boletín Oficial del Estado».

2. La concesión se realizará conforme a lo dispuesto en el punto sexto de la Orden de 26 de marzo de 1998.

8. Pago y justificación

1. El pago de estas ayudas se realizará a partir de la fecha de la Resolución de concesión.

2. La justificación de estas ayudas se realizará mediante la presentación de:

a) Memoria de actividades desarrolladas que acredite el cumplimiento de la finalidad para la que la ayuda fue concedida y de las condiciones impuestas, en su caso, con motivo de la concesión.

b) Memoria económica con facturas o recibos de los gastos efectuados en la realización de las actividades subvencionadas, los cuales deberán cumplir los requisitos establecidos en la normativa fiscal que regula el deber de expedición de facturas por empresarios y profesionales. Esta documentación deberá presentarse en original, sin perjuicio de adjuntar fotocopia para su compulsa y devolución, si así lo solicitan los interesados.

3. La Memoria de actividades se ajustará a la estructura prevista en las instrucciones que dictará la Dirección General de Cooperación y Comunicación Cultural con ocasión de la notificación de la Resolución de concesión. La Memoria económica con los justificantes de los gastos aportados contendrá las certificaciones y relaciones que se detallarán en las referidas instrucciones. Ambas memorias se presentarán en idioma español, o traducidas al mismo.

9. Obligaciones de los beneficiarios

1. Los beneficiarios, por el solo hecho de solicitar estas ayudas, se comprometen a aceptar el contenido de esta convocatoria y el resultado de la misma, así como a cumplir las siguientes obligaciones:

a) Realizar la actividad que fundamenta la concesión de la ayuda, sin que quepa cambio o modificación alguna del objeto o finalidad para la que se concedió. En cualquier caso, toda incidencia que suponga modificación del programa inicial de la actividad o actividades deberá estar autorizada por el Director general de Cooperación y Comunicación Cultural.

b) Acreditar ante el órgano concedente, dentro de los tres meses siguientes a la terminación del plazo fijado en la resolución de concesión para la ejecución de la actividad, la realización de la misma, mediante la presentación de los documentos que prevé el punto 8.2 anterior.

c) Someterse a las actuaciones de comprobación que efectúe el órgano concedente, las de control financiero que corresponden a la Intervención General de la Administración del Estado y las previstas en la legislación del Tribunal de Cuentas, al que facilitarán cuanta información les sea requerida al efecto.

d) Comunicar al órgano concedente la obtención de otras subvenciones o ayudas para la misma finalidad, procedentes de cualesquiera Administraciones o entes públicos, nacionales o internacionales.

e) Incorporar de forma visible en los materiales que se utilicen para la difusión de las actividades subvencionadas el logotipo del Ministerio de Educación y Cultura que permita identificar el origen de la ayuda, del cual se podrá solicitar un original a la Dirección General de Cooperación y Comunicación Cultural y obtener directamente en la dirección de internet http://www.igsap.map.es/imagen/escudo.htm. Dicho logotipo se ajustará a lo dispuesto en el Real Decreto 1465/1999, de 17 de septiembre, por el que se establecen criterios de imagen institucional y se regula la producción documental y el material impreso de la Administración General del Estado; así como a la Orden de 27 de septiembre de 1999 por la que se aprueba el Manual de Imagen Institucional de la Administración General del Estado y se dictan normas de desarrollo del citado Real Decreto.

2. Asimismo, se comprometen a aceptar por escrito la ayuda concedida dentro del plazo de quince días hábiles a partir de la recepción de la notificación de concesión. De no aceptarse la ayuda dentro de dicho plazo se entenderá que renuncian a la misma.

3. Los beneficiarios que tengan la condición de personas jurídicas deberán constituir una garantía en la Caja General de Depósitos, equivalente al 10 por 100 de la cantidad concedida, en alguna de las modalidades previstas y con los requisitos establecidos en el Real Decreto 161/1997, de 7 de febrero, por el que se aprueba el Reglamento de la mencionada Caja.

Tercero. Ayudas para la formación de profesionales de la cultura.

1. Objeto y condiciones

1. Ayudas que, cumpliendo alguna de las finalidades del apartado primero de la presente Resolución, tienen por objeto el fomento de la organización en España de actividades docentes destinadas a la formación de profesionales en artes e industrias culturales y, por otra parte, la asistencia de profesionales de esta naturaleza a cursos y actividades formativas que se celebren en un país distinto al de su residencia habitual. En todo caso, se tratará de actividades que tengan lugar entre el 1 de enero del 2000 y el 30 de junio del 2001, que deberán dar comienzo en el 2000.

2. El importe de estas ayudas sólo será aplicable a los gastos generados directamente en la realización de las actividades para las que se conceda la ayuda, con las especificaciones que determine la Resolución de concesión, y las condiciones y requisitos que se detallan en el anexo I a la presente Resolución.

2. Imputación presupuestaria

Las ayudas concedidas se sufragarán con el crédito del Presupuesto de Gastos del Ministerio de Educación y Cultura para el 2000 que a continuación se especifica, con indicación de la cantidad máxima imputable al concepto:

Aplicación presupuestaria Cantidad máxima imputable
Pesetas Euros
18.15.455C.484. 185.000.000 1.111.872,39

La efectiva adjudicación de estas ayudas quedará condicionada a la aprobación del citado crédito en la Ley de Presupuestos Generales del Estado para el 2000.

3. Beneficiarios

a) Actividades docentes: Personas físicas o jurídicas, de nacionalidad española, o de cualquier Estado miembro de la Unión Europea, o de los Estados signatarios del Acuerdo sobre el Espacio Económico Europeo, con acreditada solvencia técnica y profesional en el ámbito de la formación. Las personas jurídicas no podrán tener ánimo de lucro y deberán estar legalmente constituidas a la fecha de finalización del plazo de presentación de solicitudes. Quedan excluidas las Administraciones Públicas, sus organismos autónomos, las empresas públicas y otros entes públicos, así como los beneficiarios de anteriores ayudas y subvenciones, con cargo a los créditos del Ministerio de Educación y Cultura y sus organismos autónomos, que no hayan justificado las mismas de conformidad con lo establecido en las correspondientes normas reguladoras.

b) Actividades discentes: Personas físicas, de nacionalidad española, o de cualquier Estado miembro de la Unión Europea, o de los Estados signatarios del Acuerdo sobre el Espacio Económico Europeo, con acreditada formación previa en relación con la actividad para la que solicitan la ayuda. Quedan excluidos los beneficiarios de anteriores ayudas y subvenciones, con cargo a los créditos del Ministerio de Educación y Cultura y sus organismos autónomos, que no hayan justificado las mismas de conformidad con lo establecido en las correspondientes normas reguladoras.

4. Presentación de solicitudes

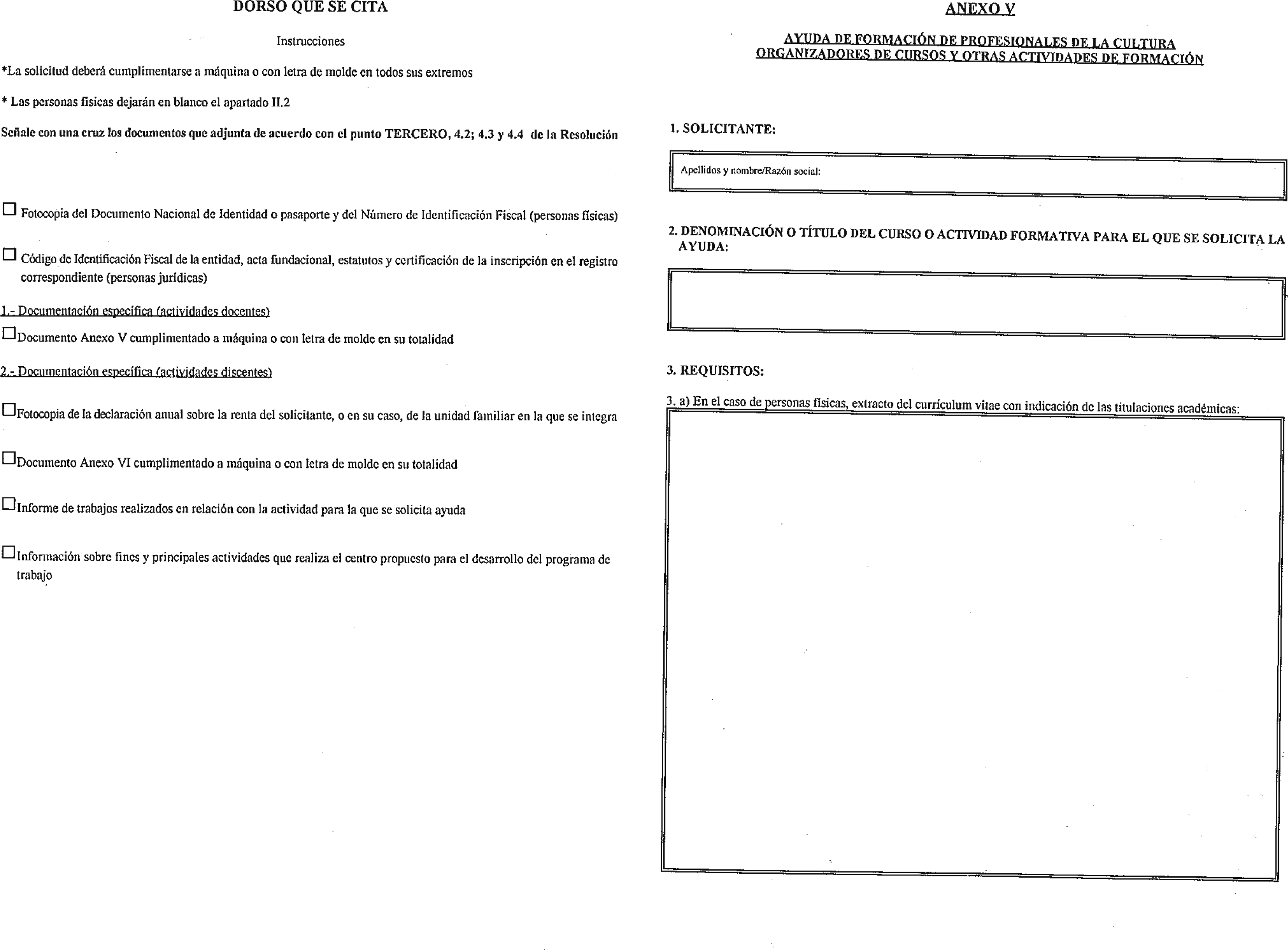
1. Las solicitudes, que se ajustarán al modelo que se publica como anexo IV a la presente Resolución, se cumplimentarán, enteramente a máquina o con letra de molde, en español, y deberán dirigirse al Director general de Cooperación y Comunicación Cultural.

Las solicitudes deberán formularse por los interesados o personas que acrediten su representación por cualquier medio válido en derecho. Dichas solicitudes podrán presentarse por cualquiera de las siguientes vías:

En el Registro General del Ministerio de Educación y Cultura, Secretaría de Estado de Cultura (plaza del Rey, 1, 28071 Madrid).

En las Delegaciones y Subdelegaciones del Gobierno.

En las oficinas de Correos (con el sobre abierto para que pueda ser sellado su interior, del modo que se indicará en las propias oficinas de Correos).

En las representaciones diplomáticas u oficinas consulares de España, para las solicitudes que se envíen desde el extranjero.

Por cualquiera de los otros medios previstos en el artículo 38.4 de la LRJ-PAC.

No se admitirán, como medio de presentación de solicitudes, los servicios de mensajería privados ni los servicios de correos extranjeros.

2. A la solicitud deberá adjuntarse la siguiente documentación común para actividades docentes y discentes, en idioma español o traducida al mismo cuando corresponda:

a) Fotocopia del documento nacional de identidad o pasaporte y del número de identificación fiscal, si se trata de personas físicas.

b) Código de identificación fiscal de la entidad, acta fundacional, estatutos y certificación de la inscripción en el Registro correspondiente, si se trata de personas jurídicas.

3. Las solicitudes para actividades docentes se acompañarán del documento anexo V, en idioma español o con traducción al mismo, cumplimentado a máquina o con letra de molde en su totalidad. Los datos no aportados, total o parcialmente, no podrán ser tenidos en cuenta a efectos de su valoración.

4. Las solicitudes para actividades discentes se acompañarán de la siguiente documentación específica, en idioma español o traducida al mismo:

a) Fotocopia de la última declaración anual sobre la renta del solicitante o, en su caso, de la unidad familiar en la que se integra.

b) Documento anexo VI cumplimentado a máquina o con letra de molde en su totalidad. Los datos no aportados, total o parcialmente, no podrán ser tenidos en cuenta a efectos de su valoración.

c) Informe de trabajos realizados en relación con la actividad para la que se solicita la ayuda.

d) Información sobre los fines y principales actividades que realiza el centro propuesto para el desarrollo del programa de trabajo.

5. Plazo de presentación

1. El plazo de presentación de solicitudes será de treinta días naturales a partir del día siguiente a la publicación de la presente Resolución en el «Boletín Oficial del Estado».

2. Si la solicitud no reuniera los datos de identificación tanto de la ayuda solicitada como de la persona o entidad solicitante o alguno de los requisitos previstos en el artículo 70 de la LRJ-PAC, ya sea en el momento de la presentación o con posterioridad a la selección, una vez requerida la documentación a la que se refiere el punto 6.3 de este apartado tercero, la Dirección General de Cooperación y Comunicación Cultural requerirá al interesado para que, en el plazo de diez días hábiles, subsane la falta o acompañe los documentos preceptivos, con indicación de que, si así no lo hiciera, se le tendrá por desistido de su petición, previa resolución, que deberá ser dictada en los términos previstos en el artículo 42 de la misma ley.

3. Sin perjuicio de lo anterior, en cualquier momento a lo largo del procedimiento podrá instarse a la persona o entidad solicitante para que cumplimente cualquier otro requisito o trámite omitido, de acuerdo con lo previsto en el artículo 76 de la LRJ-PAC, concediendo a tal efecto un plazo de diez días hábiles a partir de la notificación, con expreso apercibimiento de que, de no hacerlo así, se le podrá declarar decaído en su derecho a la tramitación de la solicitud.

6. Instrucción del procedimiento y criterios de selección

1. La Comisión de Estudio y Valoración será el órgano competente para la instrucción del procedimiento.

2. La concesión de estas ayudas se efectuará en régimen de concurrencia competitiva, previa selección y propuesta de resolución que efectuará la Comisión de Estudio y Valoración que, en todo caso, evaluará las solicitudes teniendo en cuenta los siguientes criterios:

2.1 Asistentes a cursos y participantes en otras actividades de formación:

a) Valoración de la aportación que represente la actividad formativa propuesta para el cumplimiento de las finalidades del apartado primero de la presente Resolución.

b) Méritos alegados en el documento anexo VI correspondientes a las actividades realizadas con anterioridad, en relación con la actividad formativa para la que se solicita la ayuda, que deberán ser acreditados documentalmente si así lo interesa el órgano instructor.

c) Titulación y currículum vitae del solicitante.

d) Relevancia académica y artística de los centros en los que se vayan a realizar los estudios.

e) Valoración del informe de trabajos realizados, así como de las pruebas o audiciones que en relación con el objeto de la ayuda solicitada considere conveniente realizar el órgano instructor.

f) Medios económicos del solicitante.

2.2 Organizadores de cursos y otras actividades de formación:

a) Valoración de la aportación que represente la actividad formativa propuesta para el cumplimiento de las finalidades del apartado primero de la presente Resolución.

b) Actividades de formación realizadas con anterioridad.

c) Dotación de recursos materiales para el ejercicio de la actividad formativa.

d) Número y cualificación de los profesores.

e) Interés de los cursos en relación con la demanda y oferta de las enseñanzas de formación programadas.

f) Relación entre el presupuesto total de la actividad y la cuantía de la ayuda solicitada.

g) Coste de la matrícula por alumno.

h) Becas que los organizadores prevén conceder en relación con el curso propuesto. Se valorará especialmente la concesión de becas sin discriminación alguna por el lugar de nacimiento o residencia, con objeto de fomentar la comunicación cultural entre las Comunidades Autónomas. El solicitante deberá expresar qué cantidad o porcentaje de la ayuda va a destinar a becas.

i) Evaluación de resultados de cursos anteriores.

3. Realizada la selección de solicitudes a que se refiere el punto 6.2 de este apartado tercero y antes de que la Comisión de Estudio y Valoración formule la propuesta de Resolución, se requerirá a los seleccionados para que, en el plazo de quince días hábiles, presenten la siguiente documentación:

a) En el caso de solicitantes seleccionados para actividades discentes: acreditación de la admisión definitiva en el centro propuesto para el desarrollo del programa de trabajo, o, en su caso, compromiso de aportar dicha acreditación una vez que resulte posible y siempre con anterioridad al inicio de la actividad. La no acreditación de la admisión definitiva determinará el reintegro de las cantidades percibidas.

b) En el caso de solicitantes seleccionados para actividades docentes, acreditación de estar al corriente de las obligaciones tributarias y de la Seguridad Social, mediante la presentación de la documentación a que se refiere el punto quinto, 2, c) de la Orden de 26 de marzo de 1998.

7. Resolución

1. La Resolución de concesión de estas ayudas se dictará dentro del plazo de cinco meses desde el día siguiente a la publicación de la presente Resolución en el «Boletín Oficial del Estado».

2. La concesión se realizará conforme a lo dispuesto en el punto sexto de la Orden de 26 de marzo de 1998.

8. Pago y justificación

1. El pago de estas ayudas se realizará a partir de la fecha de la Resolución de concesión.

2. La justificación de estas ayudas se realizará mediante la presentación de:

a) Memoria de actividades desarrolladas que acredite el cumplimiento de la finalidad para la que la ayuda fue concedida y de las condiciones impuestas, en su caso, con motivo de la concesión.

b) Memoria económica con facturas o recibos de los gastos efectuados en la realización de las actividades subvencionadas, los cuales deberán cumplir los requisitos establecidos en la normativa fiscal que regula el deber de expedición de facturas por empresarios y profesionales. Esta documentación deberá presentarse en original, sin perjuicio de adjuntar fotocopia para su compulsa y devolución, si así lo solicitan los interesados.

3. La Memoria de actividades se ajustará a la estructura prevista en las instrucciones que dictará la Dirección General de Cooperación y Comunicación Cultural con ocasión de la notificación de la Resolución de concesión. La Memoria económica con los justificantes de los gastos aportados contendrá las certificaciones y relaciones que se detallarán en las referidas instrucciones. Ambas memorias se presentarán en idioma español, o traducidas al mismo.

4. La Resolución de concesión podrá exonerar a los beneficiarios de ayudas para actividades discentes de la obligación de aportar los justificantes de determinados gastos (transporte dentro del país de realización de la acción formativa, estancia y manutención), hasta una cuantía máxima individual, sustituyéndolos por una declaración expresa responsable de haber realizado esos gastos, hasta esa cuantía, en los conceptos citados.

9. Obligaciones de los beneficiarios

1. Los beneficiarios, por el solo hecho de solicitar estas ayudas, se comprometen a aceptar el contenido de esta convocatoria y el resultado de la misma, así como a cumplir las siguientes obligaciones:

a) Realizar la actividad que fundamenta la concesión de la ayuda, sin que quepa cambio o modificación alguna del objeto o finalidad para la que se concedió. En cualquier caso, toda incidencia que suponga modificación del programa inicial de la actividad o actividades deberá estar autorizada por el Director general de Cooperación y Comunicación Cultural.

b) Acreditar ante el órgano concedente, dentro de los tres meses siguientes a la terminación del plazo fijado en la resolución de concesión para la ejecución de la actividad, la realización de la misma, mediante la presentación de los documentos que prevé el punto 8. 2, anterior.

c) Someterse a las actuaciones de comprobación que efectúe el órgano concedente, las de control financiero que corresponden a la Intervención General de la Administración del Estado y las previstas en la legislación del Tribunal de Cuentas, al que facilitarán cuanta información les sea requerida al efecto.

d) Comunicar al órgano concedente la obtención de otras subvenciones o ayudas para la misma finalidad, procedentes de cualesquiera Administraciones o entes públicos, nacionales o internacionales.

e) Incorporar de forma visible en los materiales que se utilicen para la difusión de las actividades subvencionadas el logotipo del Ministerio de Educación y Cultura que permita identificar el origen de la ayuda, del cual se podrá solicitar un original a la Dirección General de Cooperación y Comunicación Cultural y obtener directamente en la dirección de internet http://www.igsap.map.es/imagen/escudo.htm. Dicho logotipo se ajustará a lo dispuesto en el Real Decreto 1465/1999, de 17 de septiembre, por el que se establecen criterios de imagen institucional y se regula la producción documental y el material impreso de la Administración General del Estado; así como a la Orden de 27 de septiembre de 1999 por la que se aprueba el Manual de Imagen Institucional de la Administración General del Estado y se dictan normas de desarrollo del citado Real Decreto.

2. Asimismo, se comprometen a aceptar por escrito la ayuda concedida dentro del plazo de quince días hábiles a partir de la recepción de la notificación de concesión. De no aceptarse la ayuda dentro de dicho plazo se entenderá que renuncian a la misma.

3. Los organizadores de cursos y otras actividades formativas deberán, en su caso, hacer constar en su documentación y publicidad cuántas becas van a dar con cargo a la ayuda recibida.

4. Los beneficiarios que tengan la condición de personas jurídicas deberán constituir una garantía en la Caja General de Depósitos equivalente al 10 por 100 de la cantidad concedida, en alguna de las modalidades previstas y con lo requisitos establecidos en el Real Decreto 161/1997, de 7 de febrero, por el que se aprueba el Reglamento de la mencionada Caja.

Cuarto. Ayudas de viaje.

1. Objeto y condiciones

1. Ayudas que, cumpliendo alguna de las finalidades del apartado primero de la presente Resolución, tienen por objeto el fomento de actividades de difusión cultural para que artistas y profesionales de los distintos campos de la cultura participen en seminarios, congresos y otros eventos relacionados con la cultura española y que se celebren en un país distinto al de su residencia habitual.

2. El importe de la ayuda no podrá ser superior a los gastos de desplazamiento por el trayecto más económico, desde el lugar de residencia habitual del interesado hasta el lugar de desarrollo de la actividad. No se incluyen gastos de alojamiento o cualquier otro gasto complementario.

2. Imputación presupuestaria

Las ayudas concedidas se sufragarán con el crédito del Presupuesto de Gastos del Ministerio de Educación y Cultura para el 2000 que a continuación se especifica, con indicación de la cantidad máxima imputable al concepto:

Aplicación presupuestaria Cantidad máxima imputable
Pesetas Euros
18.15.134B.482. 10.000.000 60.101,21

La efectiva adjudicación de estas ayudas quedará condicionada a la aprobación del citado crédito en la Ley de Presupuestos Generales del Estado para el 2000.

3. Beneficiarios

1. Personas físicas, profesionales de las distintas áreas de la cultura y artistas cualificados en su especialidad, de nacionalidad española, o de cualquier Estado miembro de la Unión Europea, o de los Estados signatarios del Acuerdo sobre el Espacio Económico Europeo. Quedan excluidos los beneficiarios de anteriores ayudas y subvenciones, con cargo a los créditos del Ministerio de Educación y Cultura y sus organismos autónomos, que no hayan justificado las mismas de conformidad con lo establecido en las correspondientes normas reguladoras.

2. La condición de beneficiario de estas ayudas es incompatible con la percepción de las ayudas de los apartados segundo y tercero anteriores, siempre que se trate de la misma actividad.

4. Presentación de solicitudes

1. Las solicitudes, que se ajustarán al modelo que se publica como anexo VII a la presente Resolución, se cumplimentarán en español, enteramente a máquina o con letra de molde, y deberán dirigirse al Director general de Cooperación y Comunicación Cultural.

Las solicitudes deberán formularse por los interesados o personas que acrediten su representación por cualquier medio válido en derecho. Dichas solicitudes podrán presentarse por cualquiera de las siguientes vías:

En el Registro General del Ministerio de Educación y Cultura, Secretaría de Estado de Cultura (plaza del Rey, 1, 28071 Madrid).

En las Delegaciones y Subdelegaciones del Gobierno.

En las oficinas de Correos (con el sobre abierto para que pueda ser sellado su interior, del modo que se indicará en las propias oficinas de Correos).

En las representaciones diplomáticas u oficinas consulares de España, para las solicitudes que se envíen desde el extranjero.

Por cualquiera de los otros medios previstos en el artículo 38.4 de la LRJ-PAC.

No se admitirán, como medio de presentación de solicitudes, los servicios de mensajería privados ni los servicios de correos extranjeros.

2. A la solicitud deberá adjuntarse la siguiente documentación en español o traducida al mismo cuando corresponda:

a) Fotocopia del documento nacional de identidad o pasaporte y del número de identificación fiscal.

b) Documento anexo VIII cumplimentado a máquina o con letra de molde en su totalidad. Los datos no aportados, total o parcialmente, no podrán ser tenidos en cuenta a efectos de su valoración.

c) Carta de invitación, aceptación de comunicación o ponencia, o cualquier documentación que acredite la naturaleza de la actividad que motiva el desplazamiento.

d) Factura pro forma de una agencia de viajes o empresa de transportes en la que conste el precio del billete, ida y vuelta. En el supuesto de los viajes a que se refiere el punto 5.1.a), siguiente, se adjuntará una copia de la factura del viaje realizado.

5. Plazo de presentación

1. Las solicitudes de estas ayudas tendrán los siguientes plazos de presentación:

a) Viajes realizados entre el 1 de enero y el 31 de marzo de 2000: veinte días naturales a partir de la publicación de la presente Resolución en el «Boletín Oficial del Estado».

b) Viajes que se realicen entre el 1 de abril y el 30 de junio de 2000: Hasta el 15 de marzo de 2000.

c) Viajes que se realicen entre el 1 de julio y el 30 de septiembre de 2000: Hasta el 30 de mayo de 2000.

d) Viajes que se realicen entre el 1 de octubre y el 31 de diciembre de 2000: Hasta el 30 de agosto de 2000.

2. Si la solicitud no reuniera los datos de identificación tanto de la ayuda solicitada como de la persona solicitante o alguno de los requisitos previstos en el artículo 70 de la LRJ-PAC, ya sea en el momento de la presentación o con posterioridad a la selección, una vez requerida la documentación a la que se refiere el punto 6.3 de este apartado cuarto, la Dirección General de Cooperación y Comunicación Cultural requerirá al interesado para que, en el plazo de diez días hábiles, subsane la falta o acompañe los documentos preceptivos, con indicación de que, si así no lo hiciera, se le tendrá por desistido de su petición, previa resolución, que deberá ser dictada en los términos previstos en el artículo 42 de la misma ley.

3. Sin perjuicio de lo anterior, en cualquier momento a lo largo del procedimiento podrá instarse al solicitante para que cumplimente cualquier otro requisito o trámite omitido, de acuerdo con lo previsto en el artículo 76 de la LRJ-PAC, concediendo a tal efecto un plazo de diez días hábiles a partir de la notificación, con expreso apercibimiento de que, de no hacerlo así, se le podrá declarar decaído en su derecho a la tramitación de la solicitud.

6. Instrucción del procedimiento y criterios de valoración

1. La Comisión de Estudio y Valoración será el órgano competente para la instrucción del procedimiento.

2. La concesión de las ayudas se efectuará en régimen de concurrencia competitiva, previa selección y propuesta de resolución que efectuará la Comisión de Estudio y Valoración que, en todo caso, evaluará las solicitudes teniendo en cuenta los siguientes criterios:

a) Valoración de la aportación que representa la actividad propuesta para el cumplimiento de las finalidades del apartado primero de la presente Resolución.

b) Interés cultural de la actividad que motiva el desplazamiento.

c) Cualificación y experiencia profesional acreditada por el solicitante.

d) Los mismos criterios generales descritos para las ayudas de acción y promoción cultural en el apartado segundo, punto 6.2.a) de la presente Resolución.

3. Realizada la selección de solicitudes a que se refiere el punto 6.2 de este apartado cuarto, y antes de que la Comisión de Estudio y Valoración formule la propuesta de Resolución, se requerirá a los seleccionados para que, en el plazo de quince días hábiles, acrediten estar al corriente de las obligaciones tributarias y de la Seguridad Social, mediante la presentación de la documentación a que se refiere el punto quinto, 2, c) de la Orden de 26 de marzo de 1998.

7. Resolución

1. La Resolución de concesión de estas ayudas se dictará dentro del plazo de dos meses contados a partir del día siguiente a la finalización del plazo de presentación de solicitudes.

2. La concesión se realizará conforme a lo dispuesto en el punto sexto de la Orden de 26 de marzo de 1998.

8. Pago y justificación

1. El pago de estas ayudas se realizará a partir de la fecha de la Resolución de concesión.

2. La justificación de estas ayudas se realizará mediante la presentación de:

a) Memoria de actividades desarrolladas que acredite el cumplimiento de la finalidad para la que la ayuda fue concedida y de las condiciones impuestas, en su caso, con motivo de la concesión.

b) Memoria económica con la factura del gasto efectuado en la realización de las actividades subvencionadas, la cual deberá cumplir los requisitos establecidos en la normativa fiscal que regula el deber de expedición de facturas por empresarios y profesionales. Esta documentación deberá presentarse en original, sin perjuicio de adjuntar fotocopia para su compulsa y devolución, si así lo solicitan los interesados.

3. La Memoria de la actividad se ajustará a la estructura prevista en las instrucciones que dictará la Dirección General de Cooperación y Comunicación Cultural con ocasión de la notificación de la Resolución de concesión. La Memoria económica contendrá los justificantes y las declaraciones que se detallarán en las referidas instrucciones. Ambas memorias se presentarán en idioma español o traducidas al mismo.

9. Obligaciones de los beneficiarios

1. Los beneficiarios, por el solo hecho de solicitar estas ayudas, se comprometen a aceptar el contenido de esta convocatoria y el resultado de la misma, así como a cumplir las siguientes obligaciones:

a) Realizar la actividad que fundamenta la concesión de la ayuda, sin que quepa cambio o modificación alguna del objeto o finalidad para la que se concedió. En cualquier caso, toda incidencia que suponga modificación del programa inicial de la actividad o actividades deberá estar autorizada por el Director general de Cooperación y Comunicación Cultural.

b) Acreditar ante el órgano concedente, dentro de los tres meses siguientes a la terminación del plazo fijado en la resolución de concesión para la ejecución de la actividad, la realización de la misma, mediante la presentación de los documentos que prevé el punto 8.2, anterior.

c) Someterse a las actuaciones de comprobación que efectúe el órgano concedente, las de control financiero que corresponden a la Intervención General de la Administración del Estado y las previstas en la legislación del Tribunal de Cuentas, al que facilitarán cuanta información les sea requerida al efecto.

d) Comunicar al órgano concedente la obtención de otras subvenciones o ayudas para la misma finalidad, procedentes de cualesquiera Administraciones o entes públicos, nacionales o internacionales.

2. Siempre que sea posible, los beneficiarios deberán hacer constar, en cuantas publicaciones participen referidas a la actividad que originó el viaje, que éste se ha realizado gracias a la ayuda concedida por la Dirección General de Cooperación y Comunicación Cultural del Ministerio de Educación y Cultura. Para ello podrán utilizar el logotipo del Ministerio de Educación y Cultura, y si esto no resulta posible, la simple mención de la ayuda concedida. Del referido logotipo se podrá solicitar un original a la Dirección General de Cooperación y Comunicación Cultural, u obtenerse directamente en la dirección de internet http://www.igsap.map.es/imagen/escudo.htm.

3. Asimismo, los beneficiarios se comprometen a aceptar por escrito la ayuda concedida dentro del plazo de quince días hábiles a partir de la recepción de la notificación de concesión. De no aceptarse la ayuda dentro de dicho plazo se entenderá que renuncian a la misma.

Quinto.

La concurrencia a esta convocatoria implica la aceptación de lo dispuesto en la Orden de 26 de marzo de 1998 y en la presente Resolución.

Sexto.

La presente Resolución entrará en vigor el día siguiente al de su publicación en el «Boletín Oficial del Estado».

Madrid, 30 de diciembre de 1999.–El Director general, Rafael Rodríguez-Ponga y Salamanca.

ANEXOS

Se podrán solicitar copias de los anexos que figuran a continuación en la Oficina de Información del Ministerio de Educación y Cultura, Secretaría de Estado de Cultura (plaza del Rey, 1, 28071 Madrid, teléfonos 91 701 71 56, 91 701 71 57 y 91 701 71 59) o en la dirección de internet http://www.igsap.map.es/imagen/escudo.htm.

ANEXO I

1. Gastos subvencionables

Tendrán la consideración de gastos subvencionables todos aquellos generados directamente en la realización de las actividades para las que se concede la ayuda y que se hayan relacionado y cuantificado en los epígrafes 4.e) del anexo III, 3.e) del anexo V y 3.c) del anexo VI. Con carácter enunciativo y no limitativo están incluidos:

1.1 Ayudas de acción y promoción cultural.

a) Gastos de personal subcontratado, por su importe bruto (arrendamientos de servicios de profesionales para la dirección y coordinación de congresos, seminarios, secretariado, conferenciantes y ponentes).

b) Dietas y gastos de viaje, alojamiento y manutención, del personal organizador o participante en las actividades objeto de la ayuda.

c) Arrendamiento de servicios de intérpretes y empresas de traducción simultánea.

d) Alquileres de locales.

e) Servicios técnicos para la realización de actividades.

f) Edición de publicaciones en diferentes soportes.

g) Gastos de gestión y administración (material de oficina, teléfono, energía eléctrica, comunicaciones postales, mensajería, etc.).

h) Publicidad y propaganda de las actividades objeto de la ayuda.

1.2 Ayudas para la formación de profesionales de la cultura (actividades docentes).

a) Honorarios brutos de coordinadores, profesores y personal de Secretaría de las actividades formativas.

b) Dietas y gastos de viajes del personal organizador de las actividades formativas.

c) Adquisición, elaboración y edición de materiales didácticos.

d) Becas a los participantes en las actividades formativas.

e) Gastos de gestión y administración (material de oficina, teléfono, energía eléctrica, comunicaciones postales, mensajería, alquiler de aulas, etcétera).

1.3 Ayudas para la formación de profesionales de la cultura (actividades discentes):

a) Importe de la matrícula correspondiente a la actividad formativa para la que se concede la ayuda.

b) Importe de los gastos de locomoción correspondientes a los desplazamientos del lugar de residencia habitual del beneficiario de la ayuda hasta la localidad donde tiene lugar la actividad formativa.

c) Gastos de estancia y manutención durante la realización de la actividad formativa.

d) Adquisición de material didáctico para el desarrollo de la actividad formativa.

1.4 Ayudas de viaje: Gastos de desplazamiento, por el trayecto más económico, desde el lugar de residencia habitual del interesado hasta el lugar de desarrollo de la actividad.

2. Gastos excluidos

No son subvencionables, con carácter general, los siguientes gastos:

a) Gastos ordinarios correspondientes a las retribuciones del personal fijo, o eventual laboral, que tengan una relación laboral dependiente de las personas o entidades beneficiarias.

b) Honorarios profesionales de profesores, conferenciantes, ponentes, etcétera, cuando el titular de los mismos coincida con la persona física beneficiaria de la ayuda.

c) Realización de todo tipo de obras en inmuebles.

d) Gastos realizados en equipamiento, teniendo tal consideración la adquisición de maquinaria, mobiliario, equipos informáticos, elementos de transporte y, en general, cualesquiera otros que incrementen el patrimonio de la persona o entidad beneficiaria.

e) Gastos financieros.

f) Gastos de amortización.

g) Gastos por tributos.

Excepcionalmente podrán ser subvencionados gastos del apartado a), anterior, cuando se motive su necesidad y su exclusiva imputación directa a la actividad objeto de ayuda, previa petición y autorización de la Dirección General de Cooperación y Comunicación Cultural.

En las ayudas de viaje no se incluyen los gastos de alojamiento o cualquier otro gasto suplementario.

3. Limitaciones de determinados gastos

Los siguientes gastos tendrán estas limitaciones:

a) El importe máximo de cada dieta o gastos de viaje, en territorio nacional, a efectos de justificación, será el establecido en la Resolución de 22 de marzo de 1993 («Boletín Oficial del Estado» número 73, de 26 de marzo) o norma posterior que modifique la anterior, para el grupo 2, en la que se fijan los siguientes importes:

Alojamiento: 7.500 pesetas.

Manutención: 5.500 pesetas.

Dieta entera: 13.500 pesetas.

El desplazamiento en automóvil particular se indemnizará a razón de 24 pesetas/kilómetro.

Por lo que se refiere a las dietas en el extranjero se estará a lo dispuesto en la Resolución de 16 de julio de 1998, por la que se revisan los importes fijados en el Real Decreto 236/1998, para dietas en el extranjero, referidas igualmente al grupo 2.

Todo lo anterior ha de entenderse sin perjuicio de la aplicación, en su caso, del Convenio Colectivo del sector si resultase más favorable.

b) Los gastos protocolarios y de representación están supeditados a su inexcusable relación con la actividad objeto de la ayuda, y en ningún caso podrán superar el 5 por 100 del importe de la ayuda concedida.

c) Los gastos de gestión y administración no podrán superar el 10 por 100 del importe de la ayuda concedida.

d) No se podrá incluir como gasto subvencionable el importe del IVA deducible cuando la persona o entidad beneficiaria esté obligada a realizar declaración del mencionado impuesto, y por tanto, la cantidad que podrá imputarse como gasto es la correspondiente a la base imponible de los justificantes.

Por circunstancias excepcionales, que deberán ser objeto de solicitud razonada y de la oportuna autorización previa de la Dirección General de Cooperación y Comunicación Cultural, los porcentajes señalados en los apartados b) y c) podrán ser ampliados hasta el límite del 10 por 100 y del 20 por 100, respectivamente.

Imagen: /datos/imagenes/disp/2000/26/01962_9622597_image1.png

Imagen: /datos/imagenes/disp/2000/26/01962_9622597_image2.png

Imagen: /datos/imagenes/disp/2000/26/01962_9622597_image3.png

Imagen: /datos/imagenes/disp/2000/26/01962_9622597_image4.png

Imagen: /datos/imagenes/disp/2000/26/01962_9622597_image5.png

Imagen: /datos/imagenes/disp/2000/26/01962_9622597_image6.png

Imagen: /datos/imagenes/disp/2000/26/01962_9622597_image7.png

Imagen: /datos/imagenes/disp/2000/26/01962_9622597_image8.png

Imagen: /datos/imagenes/disp/2000/26/01962_9622597_image9.png

Imagen: /datos/imagenes/disp/2000/26/01962_9622597_image10.png

Imagen: /datos/imagenes/disp/2000/26/01962_9622597_image11.png

Imagen: /datos/imagenes/disp/2000/26/01962_9622597_image12.png

Imagen: /datos/imagenes/disp/2000/26/01962_9622597_image13.png

Imagen: /datos/imagenes/disp/2000/26/01962_9622597_image14.png

Imagen: /datos/imagenes/disp/2000/26/01962_9622597_image15.png

Imagen: /datos/imagenes/disp/2000/26/01962_9622597_image16.png

subir

Agencia Estatal Boletín Oficial del Estado

Avda. de Manoteras, 54 - 28050 Madrid