Está Vd. en

Documento BOE-A-2002-21506

Resolución de 12 de septiembre de 2002, de la Universidad Pública de Navarra, por la que se acuerda la publicación del plan de estudios de Diplomado en Trabajo Social.

Publicado en:
«BOE» núm. 265, de 5 de noviembre de 2002, páginas 39189 a 39196 (8 págs.)
Sección:
III. Otras disposiciones
Departamento:
Universidades
Referencia:
BOE-A-2002-21506

TEXTO ORIGINAL

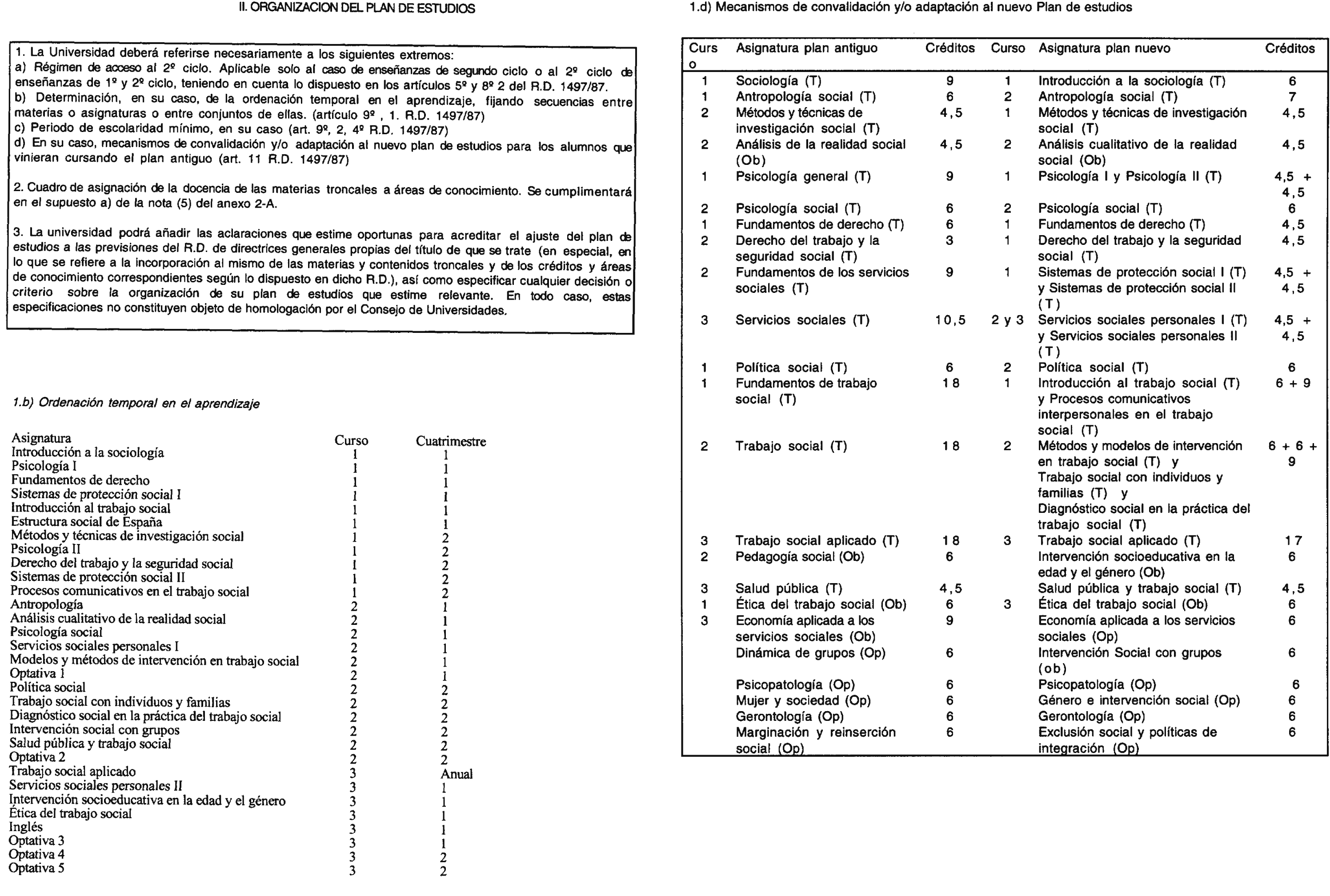
Homologado por el Consejo de Universidades mediante Acuerdo de su Comisión Académica de fecha 10 de junio de 2002 el plan de estudios de Diplomado en Trabajo Social, este Rectorado, en virtud de las competencias que tiene atribuidas por el artículo 40 de los Estatutos de la Universidad Pública de Navarra, acuerda su publicación en el «Boletín Oficial del Estado», en los términos que figuran en el anexo.

Pamplona, 12 de septiembre de 2002.—El Rector, Antonio Pérez Prados.

Imagen: /datos/imagenes/disp/2002/265/21506_8847844_image1.png

Imagen: /datos/imagenes/disp/2002/265/21506_8847844_image2.png

Imagen: /datos/imagenes/disp/2002/265/21506_8847844_image3.png

Imagen: /datos/imagenes/disp/2002/265/21506_8847844_image4.png

Imagen: /datos/imagenes/disp/2002/265/21506_8847844_image5.png

Imagen: /datos/imagenes/disp/2002/265/21506_8847844_image6.png

Imagen: /datos/imagenes/disp/2002/265/21506_8847844_image7.png

Imagen: /datos/imagenes/disp/2002/265/21506_8847844_image8.png

ANÁLISIS

  • Rango: Resolución
  • Fecha de disposición: 12/09/2002
  • Fecha de publicación: 05/11/2002
Referencias anteriores
  • DE CONFORMIDAD con el art. 40 de los estatutos aprobados por Decreto Foral 68/1995, de 13 de marzo (BONA del 20).
Materias
  • Planes de estudios
  • Trabajo Social
  • Universidad Pública de Navarra

subir

Agencia Estatal Boletín Oficial del Estado

Avda. de Manoteras, 54 - 28050 Madrid