Contenu non disponible en français

Vous êtes à

Documento BOE-A-2004-5608

Orden ECO/798/2004, de 12 de marzo, por la que se hace pública la adjudicación de puestos de trabajo provistos por el procedimientos de libre designación (02/04).

Publicado en:
«BOE» núm. 76, de 29 de marzo de 2004, páginas 13338 a 13339 (2 págs.)
Sección:
II. Autoridades y personal - A. Nombramientos, situaciones e incidencias
Departamento:
Ministerio de Economía
Referencia:
BOE-A-2004-5608

TEXTO ORIGINAL

De conformidad con los artículos 20.1.c) de la Ley 30/1984, de 2 de agosto, de Medidas para la Reforma de la Función Pública, 38.2 del Reglamento General de Ingreso del Personal al servicio de la Administración general del Estado y de Provisión de Puestos de Trabajo y Promoción Profesional de los Funcionarios Civiles de la Administración general del Estado aprobado por el Real Decreto 364/1995, de 10 de marzo,

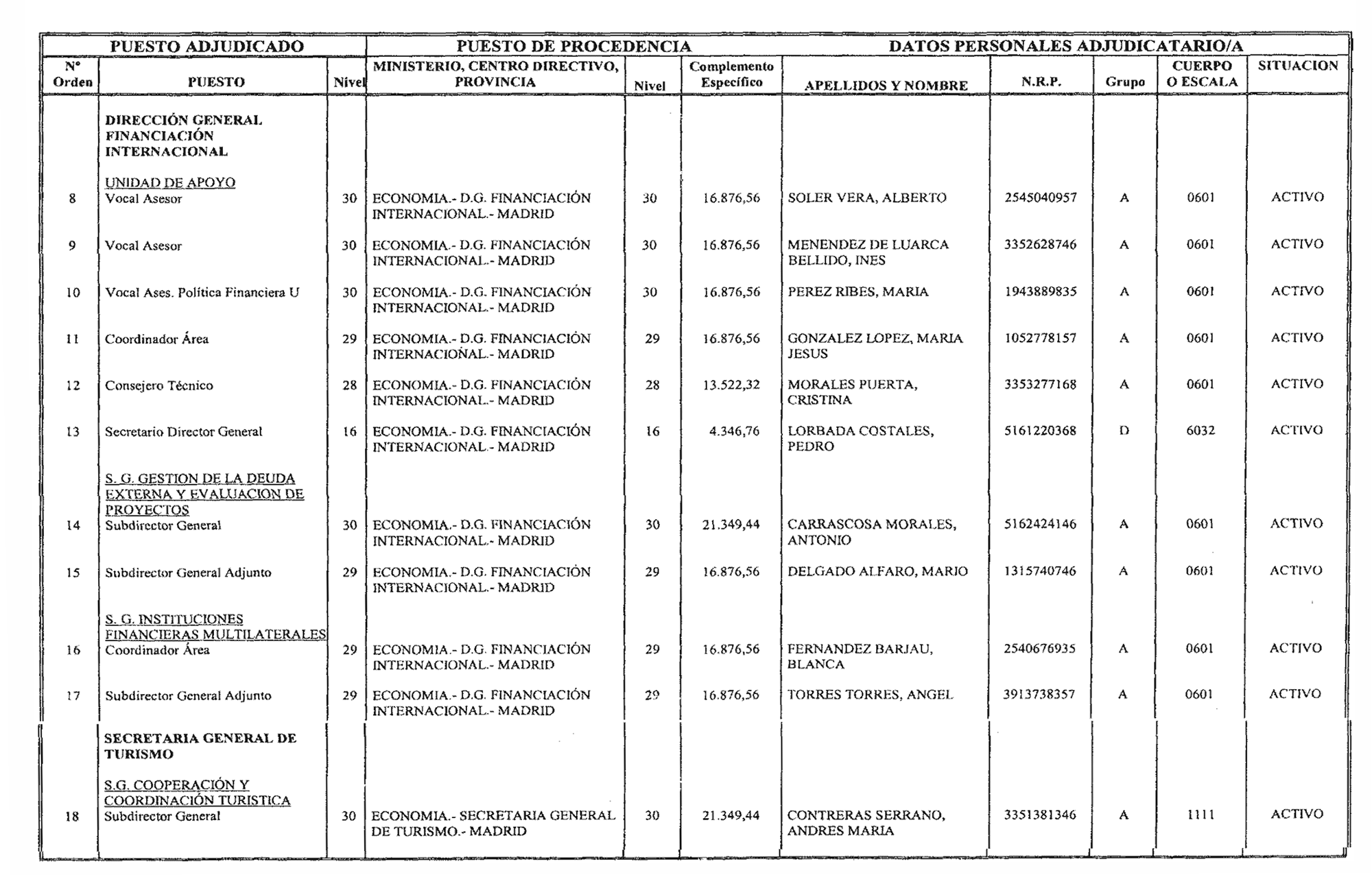
Este Ministerio ha dispuesto hacer pública la adjudicación de puestos de trabajo especificados en el anexo a la presente orden, que habían sido convocados mediante Orden de 21 de enero de 2004 («Boletín Oficial del Estado» de 2 de febrero), para ser provistos por el procedimiento de libre designación.

Contra la presente orden, que pone fin a la vía administrativa, podrá interponerse potestativamente recurso de reposición en el plazo de un mes contado desde el día siguiente al de su publicación, ante el mismo órgano que lo ha dictado, o recurso contencioso-administrativo en el plazo de dos meses ante los Juzgados Centrales de lo Contencioso-Administrativo (Ley 30/1992, de 26 de noviembre, de Régimen Jurídico de las Administraciones Públicas y del Procedimiento Administrativo Común, y Ley 29/1998, de 13 de julio, reguladora de la Jurisdicción Contencioso-Administrativa).

Madrid, 12 de marzo de 2004.‒El Ministro, P. D., el Subsecretario (Orden de 3 de agosto de 2000; BOE del 11), Miguel Crespo Rodríguez.

Ilmo. Sr. Secretario General Técnico.

ANEXO

Imagen: /datos/imagenes/disp/2004/76/05608_15824370_image1.png

Imagen: /datos/imagenes/disp/2004/76/05608_15824370_image2.png

subir

Agence d'État Bulletin Officiel de l'État

Av. Manoteras, 54 - 28050 Madrid