Contingut no disponible en valencià

Us trobeu en

Documento BOE-A-2004-5683

Resolución de 12 de marzo de 2004, de la Secretaría de Estado para la Administración Pública, por la que se declara aprobados a los aspirantes que han superado las pruebas selectivas para cubrir plazas de personal laboral en la categoría de Auxiliar de Servicios Generales, mediante contratación laboral fija, por el turno de promoción interna.

Publicado en:
«BOE» núm. 77, de 30 de marzo de 2004, páginas 13461 a 13465 (5 págs.)
Sección:
II. Autoridades y personal - B. Oposiciones y concursos
Departamento:
Ministerio de Administraciones Públicas
Referencia:
BOE-A-2004-5683

TEXTO ORIGINAL

Por Orden del Ministerio de Administraciones Públicas de 10 de enero de 2003 (Boletín Oficial del Estado del 23), fueron convocadas pruebas selectivas para cubrir 127 plazas de personal laboral en la categoría de Auxiliar de Servicios Generales, mediante contratación laboral fija, por el turno de promoción interna previsto en los artículos 29 y 31 del Convenio único para el personal laboral de la Administración del Estado, en el ámbito de dicho convenio.

La gestión de las citadas pruebas selectivas ha sido llevada a cabo por la Subsecretaría del Ministerio de Educación, Cultura y Deporte, según Acuerdo de encomienda de gestión suscrito por esta Secretaría de Estado para la Administración Pública y la mencionada Subsecretaría, de fecha 7 de noviembre de 2002, hecho público por Resolución de la Subsecretaría del Ministerio de la Presidencia de 15 de noviembre de 2002 (B.O.E. del día 20).

Comprobada por el Ministerio de Educación, Cultura y Deporte la documentación aportada por los aspirantes aprobados y adjudicadas las plazas a los mismos según lo dispuesto en la Base séptima de la Convocatoria, vista la propuesta formulada por el órgano de selección de las citadas pruebas selectivas y verificado el cumplimiento de los requisitos establecidos en las Bases de la Convocatoria.

Esta Secretaría de Estado para la Administración Pública, en ejercicio de las competencias atribuidas por el artículo 56 de la Ley 24/2001, de 27 de diciembre, de Medidas Fiscales, Administrativas y del Orden Social y de acuerdo con lo previsto en el artículo 2.1 del Real Decreto 1372/2000, de 19 de julio, por el que se modifica y desarrolla la estructura orgánica básica del Ministerio de Administraciones Públicas, a propuesta de la Subsecretaría del Ministerio de Educación, Cultura y Deporte, resuelve:

Primero.

Declarar aprobados en las pruebas selectivas para cubrir plazas de personal laboral fijo en la categoría de Auxiliar de Servicios Generales, mediante contratación laboral fija, por el turno de promoción interna, a los aspirantes que se relacionan en el Anexo I de esta Resolución, ordenados de acuerdo con la puntuación final obtenida, con indicación de las plazas que se les adjudican.

Segundo.

Publicar como Anexo II de esta Resolución, la Relación del personal laboral interino que están ocupando las 19 plazas con código EP018 y a los que se les extinguirá el Contrato de trabajo simultáneamente a la ocupación efectiva de dichas plazas por los aspirantes aprobados.

Tercero.

Los aspirantes aprobados cesarán en las plazas que actualmente ocupan en el plazo de tres días hábiles siguientes a la publicación de esta Resolución en el Boletín Oficial del Estado.

Los ceses serán formalizados utilizando para ello el documento L.1.R, y serán comunicados al Registro Central de Personal, para su anotación, dentro del plazo máximo de tres días desde la fecha de la formalización.

Los aspirantes aprobados tomarán posesión de las plazas que les han sido adjudicadas en el plazo de tres días hábiles, contados a partir del día siguiente al del cese, si no implica cambio de residencia, o de un mes si implica cambio de la misma.

Las tomas de posesión se formalizarán utilizando para ello el documento L.2.R, y serán comunicados al Registro Central de Personal, para su anotación, dentro del plazo máximo de tres días desde la fecha de la formalización.

Cuando los actos de ceses y tomas de posesión señalados en los párrafos anteriores sean formalizados por la misma Autoridad, deberá utilizarse el documento L.3.R, y serán comunicados al Registro Central de Personal, para su anotación, dentro del plazo máximo de tres días desde la fecha de la formalización.

El cómputo de los plazos posesorios se iniciará cuando finalicen las vacaciones oficiales que se estén disfrutando, y los permisos o licencias que, en su caso, hayan sido concedidos a los interesados. El cómputo del plazo de toma de posesión del trabajador de baja por Incapacidad Temporal, se iniciará a partir del día siguiente al que se produzca el alta médica.

Cuarto.

Todas las modificaciones de las condiciones de trabajo que se produzcan, serán recogidas en el Contrato de trabajo mediante la correspondiente Diligencia, que pasará a formar parte integrante del mismo. Dicha Diligencia será realizada por el Ministerio donde radica la nueva plaza adjudicada al trabajador.

Quinto.

Simultáneamente a la ocupación efectiva de las plazas por los aspirantes aprobados, quedarán extinguidos, en su caso, los Contratos de trabajo del personal laboral interino que las estuvieran desempeñando.

Sexto.

Contra la presente Resolución podrá interponerse demanda ante la jurisdicción social, previa reclamación ante esta Secretaría de Estado, en el plazo de veinte días de acuerdo con lo establecido en el artículo 59.4 del Estatuto de los Trabajadores, aprobado por Real Decreto Legislativo 1/1995, de 24 de marzo, en relación con lo prevenido en los artículos 69 de la Ley de Procedimiento Laboral, texto refundido aprobado por Real Decreto Legislativo 2/1995, de 7 de abril, y 125 de la Ley 30/1992, de 26 de noviembre, de Régimen Jurídico de las Administraciones Públicas y del Procedimiento Administrativo Común.

Lo que comunico a VV.II.

Madrid, 12 de marzo de 2004.‒El Secretario de Estado, Julio Gómez-Pomar Rodríguez.

Ilmos. Sres. Subsecretarios de los Ministerios de Defensa, Educación Cultura y Deporte, Fomento, Hacienda, Trabajo y Asuntos Sociales y Directora General de la Función Pública.

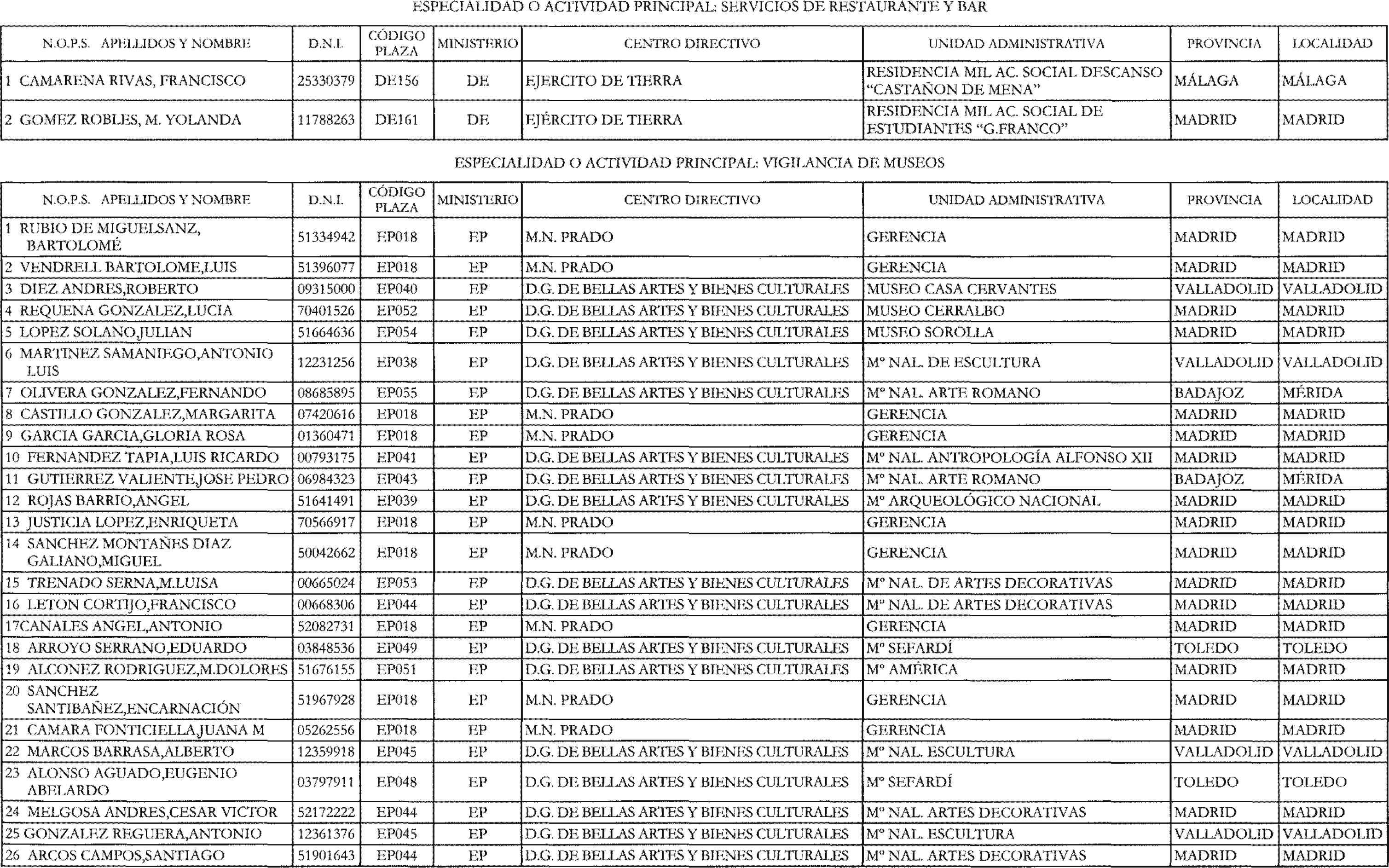
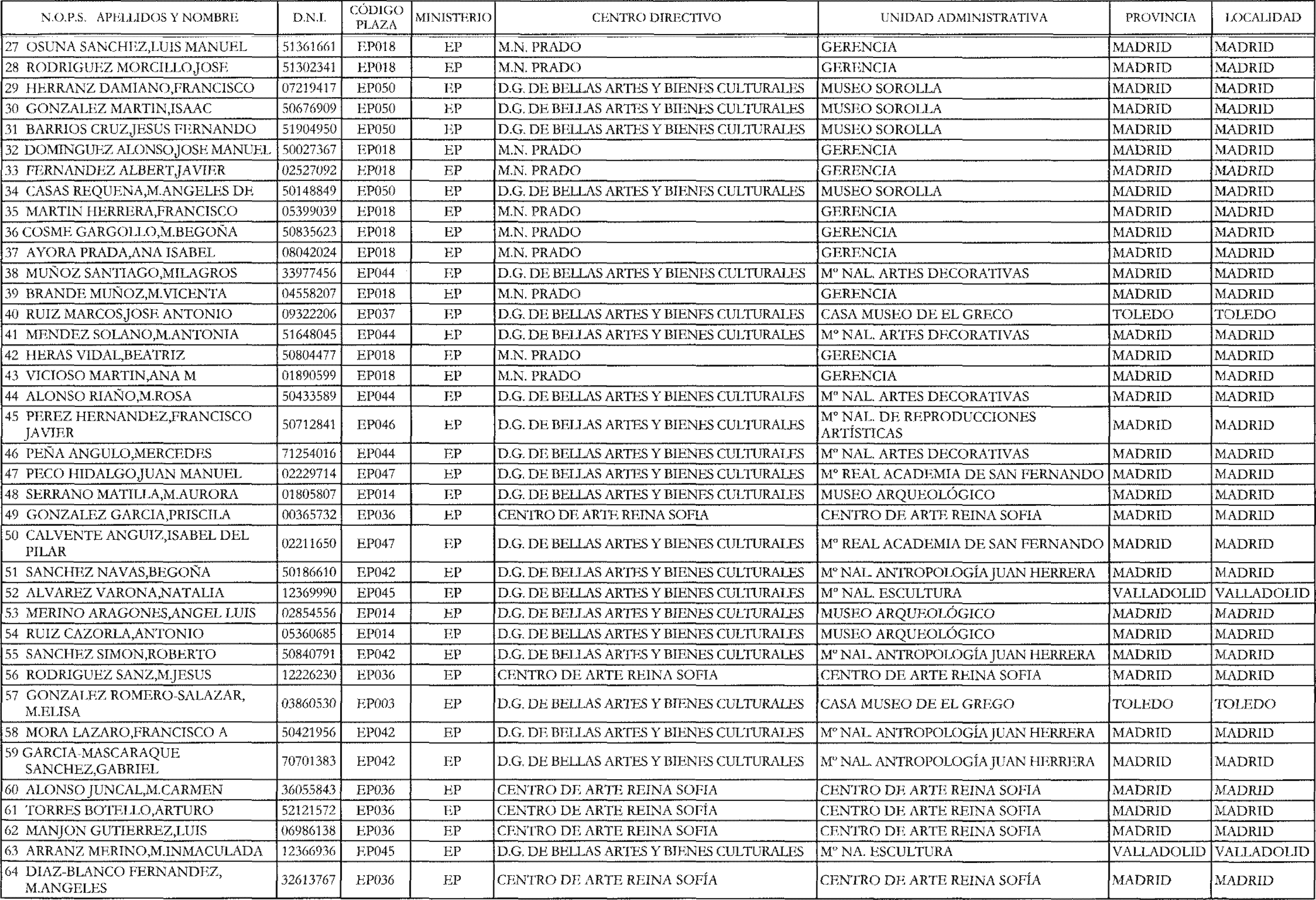
ANEXO I
Relación de aspirantes aprobados en las pruebas selectivas para cubrir 127 plazas de personal laboral, en la categoría de Auxiliar de Servicios Generales, mediante contratación laboral fija, por el turno de promoción interna

Imagen: /datos/imagenes/disp/2004/77/05683_15892487_image1.png

Imagen: /datos/imagenes/disp/2004/77/05683_15892487_image2.png

Imagen: /datos/imagenes/disp/2004/77/05683_15892487_image3.png

ANEXO II
Relación de personal laboral interino
Apellidos y nombre D.N.I.
Sáiz Peláez, M.a Mercedes. 52.534.880
Prieto Pérez, Ana María. 5.227.189
Maestre Hita, M.a Rafaela. 2.243.503
Casado Santamaría, Guillermo. 51.412.136
Cañero Rodríguez, Marta. 51.406.145
Noguerol Martínez, M.a Begoña. 2.213.224
Gayo Flores, M.a Isabel. 1.493.047
Morales Sierra, Fco. Eloy. 408.529
Méndez Méndez, Raquel Elena. 11.788.348
Yagüe Pedrazuela, Montserrat. 3.442.524
Sevillano Ollero, Josefina. 50.820.243
Quintana Martínez, Ana M.a. 2.811.584
Conde Manzano, Catalina. 7.840.496
Hernández Rodríguez, M.a Encarnación. 1.739.424
González Serrano, Cristina. 51.938.188
González Morente, Rosario. 50.019.863
Vico Ramos, Rosalía Ana. 799.768
Oliva Oliva, Araceli. 72.876.336
Gómez Escalada, Ana Isabel. 11.809.606

subir

Agència Estatal Butlletí Oficial de l'Estat

Avda. de Manoteras, 54 - 28050 Madrid