Contingut no disponible en català

Us trobeu en

Documento BOE-A-2024-18613

Resolución de 6 de septiembre de 2024, de la Comisión Nacional de los Mercados y la Competencia, por la que se determina la retribución por incentivos del gestor técnico del sistema gasista correspondiente al periodo de enero a septiembre de 2023.

Publicado en:
«BOE» núm. 225, de 17 de septiembre de 2024, páginas 114683 a 114688 (6 págs.)
Sección:
III. Otras disposiciones
Departamento:
Comisión Nacional de los Mercados y la Competencia
Referencia:
BOE-A-2024-18613

TEXTO ORIGINAL

De acuerdo con el artículo 7 de la Ley 3/2013, de creación de la Comisión Nacional de los Mercados y la Competencia, y el artículo 59 de la Ley 18/2014, de 7 de octubre, del Sector de Hidrocarburos, en la redacción dada a ambos por el Real Decreto-ley 1/2019, de 11 de enero, de medidas urgentes para adecuar las competencias de la Comisión Nacional de los Mercados y la Competencia a las exigencias derivadas del derecho comunitario en relación a las Directivas 2009/72/CE y 2009/73/CE del Parlamento Europeo y del Consejo, de 13 de julio de 2009, sobre normas comunes para el mercado interior de la electricidad y del gas natural, así como de conformidad con la Circular 6/2021, de 30 de junio, de la Comisión Nacional de los Mercados y la Competencia, por la que se establecen los incentivos del gestor técnico del sistema gasista y la afección a su retribución, la Sala de Supervisión Regulatoria acuerda lo siguiente.

Antecedentes

Primero.

La Ley 3/2013, de 4 de junio, de creación de la Comisión Nacional de los Mercados y la Competencia, en redacción dada por el Real Decreto-ley 1/2019, de 11 de enero, de medidas urgentes para adecuar las competencias de la Comisión Nacional de los Mercados y la Competencia a las exigencias derivadas del derecho comunitario en relación a las Directivas 2009/72/CE y 2009/73/CE del Parlamento Europeo y del Consejo, de 13 de julio de 2009, sobre normas comunes para el mercado interior de la electricidad y del gas natural, establece en su artículo 7.1.i) que es función de la Comisión Nacional de los Mercados y la Competencia establecer, mediante circular, la metodología para el cálculo de la retribución del gestor técnico del sistema gasista, en función de los servicios que efectivamente preste. Dicha retribución podrá incorporar incentivos, que podrán tener signos positivos o negativos, a la reducción de costes del sistema gasista derivados de la operación del mismo u otros objetivos. Además, el apartado 7 del artículo 59 de la Ley 18/2014, de 15 de octubre, de aprobación de medidas urgentes para el crecimiento, la competitividad y la eficiencia, añadido por el Real Decreto-ley 1/2019, también establece que la Comisión Nacional de los Mercados y la Competencia establecerá la metodología de la retribución de la gestión técnica del sistema.

Segundo.

En fecha 9 de enero de 2020, el Pleno del Consejo de la Comisión Nacional de los Mercados y la Competencia acordó emitir la Circular 1/2020, de 9 de enero, de la Comisión Nacional de los Mercados y la Competencia, por la que establece la metodología de retribución del gestor técnico del sistema gasista, modificada posteriormente por la Circular 2/2023, de 28 de febrero, de la Comisión Nacional de los Mercados y la Competencia. El capítulo III de esta circular define la metodología de cálculo de su retribución por incentivos y los aspectos sobre los que han de desarrollarse indicadores de eficiencia.

De manera particular, para la retribución por incentivos del periodo de enero a septiembre de 2023 ha de tenerse en cuenta la disposición transitoria segunda, apartado 1, de la Circular 1/2020 (añadida por la Circular 2/2023), que determina que «A efectos de posibilitar la transición de años naturales a años de gas, la retribución de 2023 se referirá al periodo temporal del 1 de enero al 30 de septiembre, considerando una proporción de 9/12 del ejercicio completo, salvo en los términos que se refieren a cantidades de años anteriores, que se reconocerán en su totalidad.» Igualmente, es necesario considerar la disposición transitoria quinta, a tenor de la cual «Los incentivos del año 2023 se valorarán con los indicadores del año de gas 2023, que transcurre del 1 de octubre de 2022 al 30 de septiembre de 2023, aplicando una proporción de 9/12».

Así pues, la retribución por incentivos del periodo de enero a septiembre de 2023 ha de calcularse teniendo en cuenta los indicadores del año de gas 2023, aprobados por Resolución de 18 de julio de 2024 y aplicando una proporción de 9/12 a la retribución que correspondería al ejercicio completo. La diferencia entre la estimación efectuada en su momento mediante la Resolución de 16 de marzo de 2023, de la Comisión Nacional de los Mercados y la Competencia, por la que se establece la cuantía de la retribución del gestor técnico del sistema para 2023 y para el año de gas 2024, y la cuota para la financiación del año 2023, y el cálculo resultante de valorar los indicadores definidos en la Circular 6/2021 y ponderar la retribución por incentivos del ejercicio de 2023, se incorporará en la retribución del año de gas 2025 de conformidad con el artículo 13.2 de la Circular 1/2020.

Tercero.

En fecha 30 de junio de 2021, se aprobó la Circular 6/2021, de la Comisión Nacional de los Mercados y la Competencia, por la que se establecen los incentivos del gestor técnico del sistema gasista y la afección a su retribución. Esta circular define el detalle del cálculo de la retribución por incentivos del gestor y de los indicadores que servirán para la medición de su grado de eficiencia en el desempeño de sus funciones durante el año de gas. La circular entró en vigor el 1 de octubre de 2021.

De conformidad con el artículo 12.2 de esta circular, en fecha 28 de diciembre de 2023 tuvo entrada en la Comisión Nacional de los Mercados y la Competencia informe del gestor técnico del sistema sobre la valoración de los indicadores de incentivos en el periodo comprendido entre el 1 de octubre de 2022 y el 30 de septiembre de 2023.

Cuarto.

Asimismo, en fecha 18 de julio de 2024, la Sala de Supervisión Regulatoria de la Comisión Nacional de los Mercados y la Competencia aprobó la resolución por la que se determina la retribución por incentivos del gestor técnico del sistema gasista correspondiente a 2022, en la que se establece el valor de los indicadores de eficiencia del gestor técnico del sistema para el año de gas 2023.

Quinto.

La Comisión Nacional de los Mercados y la Competencia ha sometido a trámite de audiencia del interesado la presente propuesta de resolución, para que este remita sus alegaciones en el plazo de diez días hábiles.

Fundamentos jurídicos

Primero. Habilitación competencial.

La Ley 3/2013, de 4 de junio, establece en su artículo 7.1.i) que es función de la Comisión Nacional de los Mercados y la Competencia establecer, mediante circular, la metodología para el cálculo de la retribución del gestor técnico del sistema gasista, en función de los servicios que efectivamente preste.

La Circular 6/2021 determina que la retribución por incentivos del GTS en el año natural n Imagen: /datos/imagenes/disp/2024/225/18613_14769939_1.png será el resultado de multiplicar la base de retribución del GTS de ese año «n» Imagen: /datos/imagenes/disp/2024/225/18613_14769940_1.png por el factor de eficiencia calculado para el año de gas n+1 Imagen: /datos/imagenes/disp/2024/225/18613_14769941_1.png.

Asimismo, de acuerdo también con el artículo 12, la CNMC aprobará, mediante resolución, el incremento o disminución de la retribución del GTS correspondiente a la retribución por incentivos, que será considerado en la retribución del GTS conforme a lo dispuesto en el artículo 13.2 de la Circular 1/2020.

La presente resolución determina la retribución por incentivos del GTS correspondiente al periodo de enero a septiembre de 2023.

Segundo. Cálculo de los incentivos.

La Circular 6/2021, de 30 de junio, determina que la retribución por incentivos del gestor técnico del sistema Imagen: /datos/imagenes/disp/2024/225/18613_14769942_1.png será el resultado de multiplicar la base de retribución del gestor técnico del sistema del año natural «n» Imagen: /datos/imagenes/disp/2024/225/18613_14769943_1.png por el factor de eficiencia calculado para el año de gas n+1 Imagen: /datos/imagenes/disp/2024/225/18613_14769944_1.png.

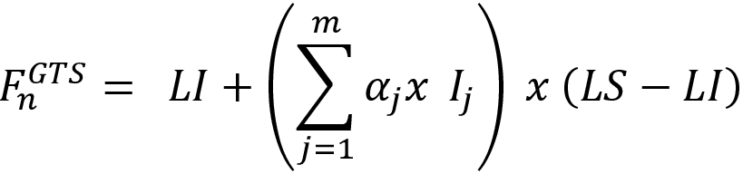
El factor de eficiencia de cada año de gas «n» se calculará de acuerdo a la siguiente fórmula:

Imagen: /datos/imagenes/disp/2024/225/18613_14769945_1.png

En ella LI y LS son los límites inferior y superior, respectivamente, en los que la Circular 1/2020, de 9 de enero, de la Comisión Nacional de los Mercados y la Competencia, por la que se establece la metodología de retribución de gestor técnico del sistema, fija para el término de retribución por incentivos.

Por otro lado, Ij representa cada uno de los 7 indicadores definidos en la Circular 6/2021, que miden el grado de eficiencia del gestor técnico del sistema en el desempeño de sus funciones en el año de gas en relación con los conflictos de acceso y de gestión económica y técnica del sistema gasista (I1), los sistemas informáticos y la comunicación y publicación de información (I2), la optimización de la operación del sistema gasista (I3), la continuidad y seguridad del suministro (I4), la calidad de la asistencia a los agentes del sistema (I5), la gestión del balance del sistema (I6) y su actuación global respecto a las nuevas funciones asignadas por la Circular 8/2019, de 12 de diciembre, de la Comisión Nacional de los Mercados y la Competencia, por la que se define la metodología y condiciones de acceso y asignación de capacidad en el sistema de gas natural, y la Circular 2/2020, de 9 de enero, de la Comisión Nacional de los Mercados y la Competencia, por la que se establecen las normas de balance de gas natural (I7). Cada uno de estos indicadores de eficiencia puede tomar un valor comprendido entre 0 y 1, siendo 1 si el desempeño del gestor es del 100 % y 0 si fuera del 0 %.

Por último, αj se corresponde con el peso asignado a cada uno de los indicadores anteriores, de manera que la suma de todos los pesos (de los siete αj será igual a la unidad.

El artículo 12 de la Circular 6/2021 obliga al gestor técnico del sistema a proporcionar anualmente, en enero de cada año, a la Comisión Nacional de los Mercados y la Competencia el valor calculado de los indicadores I1 al I6 correspondientes al año de gas anterior, junto con la información utilizada para su cálculo y la información necesaria para que la Comisión Nacional de los Mercados y la Competencia valore el indicador.

Asimismo, de acuerdo también con el artículo 12, ya citado, la Comisión Nacional de los Mercados y la Competencia aprobará, mediante resolución, el incremento o disminución de la retribución del gestor técnico del sistema correspondiente a la retribución por incentivos del año de gas n, que será considerado en la retribución del gestor técnico del sistema conforme a lo dispuesto en el artículo 13.2 de la Circular 1/2020.

Una vez aprobada la retribución por incentivos del gestor técnico del sistema, este deberá publicar en su página web el valor de los indicadores I1 a I7 y la información utilizada para su determinación.

A tenor de las disposiciones transitorias segunda y quinta de la Circular 1/2020 (añadidas por la Circular 2/2023, de la Comisión Nacional de los Mercados y la Competencia, por la que se modifica la citada Circular 1/2020), los incentivos del periodo de enero a septiembre de 2023 han de calcularse con los indicadores del año de gas 2023 aplicando una proporción de 9/12 a la retribución por incentivos del año 2023 completo. La diferencia entre la estimación efectuada provisionalmente para el periodo de enero a septiembre de 2023 y el cálculo resultante de valorar de manera proporcionada según lo expuesto la retribución por incentivos de este periodo será incorporada a la retribución del año de gas 2025, en aplicación del artículo 13.2 de la Circular 1/2020.

Por todo cuanto antecede, la Sala de Supervisión Regulatoria de la Comisión Nacional de los Mercados y la Competencia resuelve:

Primero. Valor de los indicadores de eficiencia a en el año de gas 2023.

Los indicadores de eficiencia correspondientes al año de gas 2023 (octubre 2022-septiembre 2023) se incluyen en los apartados 1 y 2 del anexo.

Segundo. Cálculo del factor de eficiencia y de la retribución por incentivos del gestor técnico del sistema del periodo de enero a septiembre de 2023.

El factor de eficiencia correspondiente al año 2023 completo Imagen: /datos/imagenes/disp/2024/225/18613_14769946_1.png, calculado según lo establecido en el artículo 4.2 de la Circular 6/2021, de 30 de junio, se incluye en el apartado 3 del anexo.

La Resolución de 16 de marzo de 2023, de la Comisión Nacional de los Mercados y la Competencia, por la que se establece la cuantía de la retribución del gestor técnico del sistema para 2023 y para el año de gas 2024, y la cuota para la financiación del año 2023, fijó la base de retribución del gestor técnico del sistema del año 2023 completo Imagen: /datos/imagenes/disp/2024/225/18613_14769947_1.png en 25.007 miles de euros. Por consiguiente, se establece en 246 miles de euros el término de la retribución por incentivos del gestor correspondiente al año 2023 completo Imagen: /datos/imagenes/disp/2024/225/18613_14769948_1.png.

Teniendo en cuenta las disposiciones transitorias segunda y quinta de la Circular 1/2020, de 9 de enero, de la Comisión Nacional de los Mercados y la Competencia, para el periodo de enero a septiembre de 2023, la retribución por incentivos se fija en 184 miles de euros.

Tercero.  Aplicación de la retribución por incentivos del gestor técnico del sistema.

La citada Resolución de 16 de marzo de 2023, de la Comisión Nacional de los Mercados y la Competencia, por la que se establece la cuantía de la retribución del gestor técnico del sistema para 2023 y para el año de gas 2024, y la cuota para la financiación del año 2023, determinó un valor provisional del término de retribución por incentivos del gestor técnico del sistema para el año 2023 completo por un valor de 500 miles de euros. De esta forma, para el periodo de enero a septiembre de 2023 corresponden 375 miles de euros.

La diferencia entre el valor determinado en el apartado segundo de esta resolución para el periodo de enero a septiembre de 2023 (184 miles de euros) y el valor provisional reconocido en la resolución de la retribución del gestor técnico del sistema para dicho periodo (375 miles de euros), esto es, –191 miles de euros, se incorporará a la resolución de la retribución del gestor técnico del sistema para el año de gas 2025 (octubre 2024- septiembre 2025).

Cuarto. Publicación en el boletín Oficial del Estado.

Esta resolución será objeto de publicación en el «Boletín Oficial del Estado».

Esta resolución pone fin a la vía administrativa y puede interponerse contra ella recurso contencioso-administrativo ante la Audiencia Nacional, en el plazo de dos meses a contar desde el día siguiente al de su publicación en el «Boletín Oficial del Estado», de conformidad con lo establecido en la disposición adicional cuarta, 5, de la Ley 29/1998, de 13 de julio. Se hace constar que frente a la presente resolución no cabe interponer recurso de reposición, de conformidad con lo establecido en el artículo 36.2 de la Ley 3/2013, de 4 de junio, de creación de la CNMC.

Madrid, 6 de septiembre de 2024.–El Secretario del Consejo de la Comisión Nacional de los Mercados y la Competencia, Miguel Bordiu García-Ovies.

ANEXO

1. Valoración de los indicadores I1 a I6 del año de gas 2023

Indicador Base del cálculo Valor del indicador según CNMC
I1 Número de conflictos de acceso y de gestión económica y técnica del sistema. 1,00
I2 Número de días del año de gas en que se produce una incidencia en los sistemas informáticos o en la comunicación y publicación de información. 0,61
I3 Variación de la relación entre el gas de operación consumido por las estaciones de compresión de la red de transporte y la demanda total transportada por gasoducto. 0,50
I4 I4,1 Desviación en valor absoluto de la previsión de demanda convencional diaria con respecto a la demanda convencional diaria real. 0,42
I4,2 Desviación en valor absoluto de la previsión de la demanda convencional anual con respecto a la demanda convencional anual real.
I5 I5,1 Valoración de los agentes con la atención prestada sobre el acceso de terceros del sistema (entre 0 y 1). 0,88
I5,2 Valoración de los agentes con la atención prestada sobre el balance de los usuarios y al balance del sistema (entre 0 y 1).
I5,3 Valoración de los agentes con la atención prestada sobre la operación del sistema (entre 0 y 1).
I6 I6,1 Número de días en los que el gestor acudió al mercado organizado para gestionar la operación normal de la red de transporte finalizando el nivel de gas en la red de transporte en la banda de indiferencia al final del día, respecto al total de días en acudió al mercado más los que debió acudir y no fue. 0,95
I6,2 Número de días en las que el gestor debió acudir al mercado organizado para gestionar los desbalances en AVB/TVB y lo hizo en un plazo igual o inferior a 5 días de gas desde el desbalance, respecto al número total de días con desbalances que requirieron actuación del gestor.

2. Valoración del indicador I7 del año de gas 2023.

Conforme a lo determinado en el «Informe sobre incentivos del gestor técnico del sistema: cálculo del indicador correspondiente al año de gas 2023», aprobado por la Comisión Nacional de los Mercados y la Competencia en fecha 20 de junio de 2024, se establece el valor del indicador I7 en 0,86.

3. Valoración del factor de eficiencia del año 2023.

La disposición adicional segunda de la Circular 1/2020, de 9 de enero, de la Comisión Nacional de los Mercados y la Competencia, establece, a efectos del cálculo de la retribución por incentivos del gestor técnico del sistema, con relación al primer período regulatorio, un valor de los límites inferior (LI) y superior (LS) de – 2 % y + 2 % respectivamente.

Asimismo, la disposición transitoria única de la Circular 6/2021, de 30 de junio, de la Comisión Nacional de los Mercados y la Competencia, dictamina que, hasta que se aprueben por resolución de dicha Comisión los valores de los pesos de los indicadores definidos, estos pesos serán igual a 1/m, siendo m en número de indicadores. De esta forma, cada uno de los 7 indicadores definidos (I1 a I7) tendrá un peso de 1/7 en el cálculo del factor de eficiencia.

Con todo ello, teniendo en cuenta el valor de los indicadores I1 a I7 para el año de gas 2023, el valor del factor de eficiencia para el año 2023 completo será:

Imagen: /datos/imagenes/disp/2024/225/18613_14769949_1.png

subir

Agència Estatal Butlletí Oficial de l'Estat

Avda. de Manoteras, 54 - 28050 Madrid