Contingut no disponible en català

Us trobeu en

Documento BOE-A-2025-11693

Resolución de 23 de mayo de 2025, de la Universitat de València, por la que se convocan pruebas selectivas de acceso, por el sistema general de acceso libre, a la Escala Técnica Superior de Prevención.

Publicado en:
«BOE» núm. 139, de 10 de junio de 2025, páginas 76323 a 76340 (18 págs.)
Sección:
II. Autoridades y personal - B. Oposiciones y concursos
Departamento:
Universidades
Referencia:
BOE-A-2025-11693

TEXTO ORIGINAL

Este Rectorado, haciendo uso de las competencias que le atribuye el artículo 50, en relación con el artículo 3.2 de la Ley Orgánica 2/2023, de 22 de marzo, del Sistema Universitario, el Real Decreto Legislativo 5/2015, de 30 de octubre, por el que se aprueba el texto refundido de la Ley del Estatuto Básico del Empleado Público, de acuerdo con lo que establece el artículo 190 de los Estatutos de la Universitat de València, la Ley 4/2021, de 16 de abril, de la Función Pública Valenciana y el Decreto 3/2017, de 13 de enero, del Consell, por el que se aprueba el Reglamento de Selección, Provisión de Puestos de Trabajo y Movilidad del Personal de la Función Pública Valenciana; y de acuerdo con la normativa propia de la Universitat de València, acuerda convocar pruebas selectivas de acceso al grupo A (subgrupo A1), por el turno libre, sector de administración especial, escala técnica superior de prevención, subescala de seguridad, de la Universitat de València, de conformidad con las bases de la convocatoria desarrolladas en el anexo I.

València, 23 de mayo de 2025.–La Rectora, P. D. (Resolución de 20 de mayo de 2022), el Gerente, Juan Vicente Climent Espí.

ANEXO I
Bases de la convocatoria
Primera. Normas generales.

1.1 Esta convocatoria tiene por objeto la selección de personal para cubrir 2 puestos vacantes del grupo A (subgrupo A1), por el turno libre, sector de administración especial, escala técnica superior de prevención, subescala de seguridad, 1 mediante el sistema de oposición y 1 mediante el sistema de concurso-oposición. (Oferta de empleo público UVEG: 2022).

1.2 El proceso selectivo por el sistema de oposición consistirá, solamente, en la realización de los ejercicios establecidos en el anexo II de esta convocatoria.

El proceso selectivo por el sistema de concurso-oposición estará integrado por los ejercicios mencionados, las valoraciones y las puntuaciones que figuran en el anexo II, en el apartado de la fase de concurso.

Los ejercicios serán únicos y simultáneos para los dos sistemas (oposición y concurso-oposición).

El temario que tiene que regir este proceso (tanto para el sistema de oposición, como para el sistema de concurso-oposición) figura en los anexos III y IV.

1.3 La adjudicación de los puestos a las personas aspirantes que superen este proceso selectivo se efectuará de acuerdo con el siguiente orden (siempre que reúnan los requisitos determinados para cada puesto en la relación de puestos de trabajo):

En primer lugar, se ordenará a las personas aprobadas en la fase de oposición por orden de puntuación y se adjudicará el primer puesto.

A continuación, se desarrollará la fase de concurso con aquellas personas que, habiendo superado la fase de oposición, no hayan obtenido puesto por el sistema de oposición. En este caso, la adjudicación del puesto se efectuará de acuerdo con el orden de puntuación obtenido en el concurso-oposición (fase de oposición, más fase de concurso) hasta cubrir el puesto restante.

1.4 De acuerdo con lo que prevé el artículo 91 de la Ley Orgánica 2/2023, de 22 de marzo, del Sistema Universitario, esta convocatoria se publicará en el «Diari Oficial de la Generalitat Valenciana» (DOGV) y en el «Boletín Oficial del Estado» (BOE). Esta última publicación es la que se tomará como referencia a efectos del cómputo de plazos para la presentación de solicitudes de participación. El resto de las resoluciones administrativas derivadas de esta convocatoria se publicarán únicamente en el «Diari Oficial de la Generalitat Valenciana» (DOGV).

1.5 De conformidad con lo dispuesto en el apartado f) del artículo 61.2 de la Ley 4/2021, de 16 de abril, de la Generalitat, de la Función Pública Valenciana, la distribución porcentual de los dos sexos en la escala técnica superior de prevención es de un 75 % de mujeres y de un 25 % de hombres.

Segunda. Requisitos de las personas aspirantes.

2.1 Para ser admitidas en estas pruebas selectivas, las personas aspirantes deberán reunir los requisitos siguientes:

2.1.1 Tener la nacionalidad española o la de algún Estado miembro de la Unión Europea, o ser nacional de algún Estado en el que se aplique la libre circulación de trabajadores o trabajadoras en virtud de tratados internacionales establecidos por la Unión Europea y ratificados por España.

Igualmente, pueden participar los cónyuges de los españoles y de los nacionales de otros Estados miembros de la Unión Europea, cualquiera que sea su nacionalidad, siempre que no estén separados de derecho y sus descendientes, y los de su cónyuge, siempre que no estén separados de derecho, sean menores de veintiuno años o mayores de esa edad dependientes.

2.1.2 Haber cumplido dieciséis años y no exceder, en su caso, de la edad máxima de jubilación forzosa o de aquella otra que pueda establecerse por ley.

2.1.3 Estar en posesión del título universitario de grado o bien licenciatura, ingeniería superior o arquitectura, o titulación equivalente, o cumplir las condiciones para obtenerlo antes de la finalización del plazo de presentación de solicitudes de participación y disponer del certificado que lo acredite.

Poseer el título de máster universitario en prevención de riesgos laborales, o titulación equivalente, o cumplir las condiciones para obtenerlo antes de la finalización del plazo de presentación de solicitudes de participación y disponer del certificado que lo acredite, o bien haber superado, con anterioridad a 2010, una formación acreditada conforme al Real Decreto 39/1997, de 17 de enero, por el que se aprueba el Reglamento de los Servicios de Prevención, que habilite para ejercer como técnico superior en prevención de riesgos laborales.

En el caso de titulaciones obtenidas en el extranjero, la persona aspirante deberá estar en posesión de la credencial que certifica su homologación.

2.1.4 Poseer el certificado acreditativo de conocimientos de valenciano del nivel C1, expedido por la Junta Qualificadora de Coneixements del Valencià (JQCV) de la Generalitat Valenciana o por el Servei de Llengües i Política Lingüística de la Universitat de València, o poseer los certificados, títulos o diplomas, convalidados según lo que establece el ACGUV 66/2018, por el que se establecen los certificados de conocimientos de valenciano que expide el Servei de Llengües i Política Lingüística de la Universitat de València y las equivalencias de otros títulos, diplomas y certificados.

Se puede consultar el Acuerdo (ACGUV 66/2018) en este enlace:

https://www.uv.es/sgeneral/Reglamentacio/Doc/Estudis/C80.pdf

2.1.5 Poseer las capacidades y aptitudes físicas y psíquicas que sean necesarias para el desempeño de las funciones o tareas correspondientes a los puestos convocados.

2.1.6 No haber sido separado del servicio como personal funcionario de carrera ni haberse revocado su nombramiento como personal funcionario interino, con carácter firme, mediante procedimiento disciplinario de ninguna administración pública, organismo público, consorcio, universidad pública u órgano constitucional o estatutario, ni hallarse inhabilitado por sentencia firme para el ejercicio de cualesquiera funciones públicas o de aquellas propias de los puestos de trabajo de la escala objeto de la convocatoria.

Tratándose de personas nacionales de otros Estados, no hallarse inhabilitado o en situación equivalente, ni haber sido sometido a sanción disciplinaria o equivalente que impida en los mismos términos en su Estado el acceso al empleo público.

2.2 Los requisitos para la admisión en este proceso, recogidos en el apartado 2.1, deberán poseerse en el momento de la finalización del plazo de presentación de solicitudes de participación y mantenerse durante todo el proceso selectivo hasta el momento de la toma de posesión.

2.3 En el momento de presentar la solicitud de participación, sólo se exigirá una declaración expresa y formal de que se reúnen los requisitos establecidos en los subapartados 2.1.1 al 2.1.6 de esta convocatoria, estos se deberán acreditar posteriormente en caso de aprobar el proceso selectivo.

2.4 No podrá participar en este procedimiento selectivo el personal que ya forme parte de la escala objeto de esta convocatoria en la Universitat de València.

Tercera. Presentación de solicitudes de participación.

3.1 Las personas que deseen tomar parte en este proceso selectivo deberán rellenar el formulario electrónico de participación que estará operativo, a partir del día siguiente a la publicación de la convocatoria en el «Boletín Oficial del Estado» (BOE), en la sede electrónica de la Universitat de València (sede electrónica):

https://www.uv.es/sede-electronica/es/sede-electronica-uv.html

A continuación, en el listado de «Trámites» se ha de clicar en el apartado de «Personal de administración y servicios». Seguidamente, se ha de clicar en el apartado «Convocatorias de personal», elegir la convocatoria correspondiente y clicar en «Acceder al procedimiento». A partir de aquí se abre el proceso de inscripción.

En este entorno se realizarán todos los trámites de presentación de la solicitud de participación y la aportación de documentos.

Para rellenar las solicitudes, la Universitat tiene disponible una guía con instrucciones para cumplimentar el formulario electrónico y adjuntar debidamente la documentación requerida en el siguiente enlace:

https://www.uv.es/pas/nuevaWEB/manual_usuarioPAS_GENERADOR_cas.pdf

Las solicitudes deberán cumplimentarse siguiendo las instrucciones que se indican, siendo necesario identificarse por cualquiera de los sistemas de identificación o firma electrónica admitidos en esta sede electrónica.

La presentación por esta vía permitirá:

– La inscripción telemática en el modelo oficial.

– Anexar documentos a la solicitud de participación, cuando sea necesario.

– El pago electrónico de las tasas.

– El registro electrónico de la solicitud de participación.

La solicitud se considerará presentada y registrada en la Universitat en el momento en que sea completado todo el proceso telemático. Las personas aspirantes deberán guardar el justificante generado de registro y pago, en su caso, como confirmación de la presentación telemática.

En caso de que, en el momento de la inscripción para la participación en las pruebas selectivas, la persona participante presente varias solicitudes y la correspondiente documentación adjunta, se tendrá en consideración únicamente la última solicitud y documentación asociada presentada.

Aquellas solicitudes rellenadas o registradas por otros medios diferentes a la vía telemática indicada en la base 3.1 de esta convocatoria se tendrán por no presentadas en plazo.

La falta de pago de las tasas por la vía indicada en esta convocatoria o la realización de este fuera de plazo determinará la exclusión de la persona aspirante, que perderá el derecho a participar en el procedimiento selectivo objeto de esta convocatoria.

3.2 Para cualquier incidencia o duda de carácter técnico al rellenar la solicitud de participación, se puede contactar con la Universitat de València:

– Si es una incidencia técnica, relacionada con la tramitación electrónica de la solicitud de participación, se puede solicitar ayuda técnica en el siguiente enlace:

https://www.uv.es/sede-electronica/es/incidencies-comunicacions/incidencies-comunicacions.html

– Si es una duda respecto de las bases de la convocatoria, tiene que dirigirse al Servei de Recursos Humans (PTGAS-PI), Sección Convocatorias y Concursos mediante el correo electrónico: convocatories@uv.es.

3.3 El plazo de presentación de solicitudes de participación será de diez días hábiles, contados a partir del día siguiente a la publicación de esta convocatoria en el «Boletín Oficial del Estado» (BOE). La publicación de la convocatoria en el «Diari Oficial de la Generalitat Valenciana» (DOGV) tendrá sólo carácter informativo.

3.4 Deberán adjuntarse al formulario electrónico al que se hace referencia en la base 3.1 de esta convocatoria los siguientes documentos:

3.4.1 Una copia –por ambas caras– del documento nacional de identidad. Las personas aspirantes que no posean la nacionalidad española, pero sí el derecho a participar en este proceso selectivo, según lo indicado en la base 2.1.1, deberán de adjuntar el NIE y una copia del documento que acredite su nacionalidad y, en su caso, los documentos que acrediten el vínculo de parentesco y dependencia del nacional de otro Estado cuando esta circunstancia habilite para su participación en el proceso selectivo.

Si las personas aspirantes participan por su condición de cónyuges, tendrán que presentar declaración jurada de no estar separadas de derecho de su cónyuge. Y si la participación es por su condición de descendientes de personas que no tienen la nacionalidad española ni de ningún otro Estado de la Unión Europea, tendrán que presentar declaración jurada de la no separación de derecho de su progenitor, así como, en su caso, el hecho de que la persona aspirante está a su cargo.

Los documentos que no estén redactados en castellano o en valenciano deberán presentarse con la correspondiente traducción jurada.

Será causa de exclusión, además de las que se indican en otros apartados de estas bases:

– No haber adjuntado la copia completa del DNI, NIE y una copia del documento que acredite su nacionalidad, o que este resulte ilegible.

3.4.2 En el supuesto de acogerse a la exención o bonificación de tasas, se deberá adjuntar la justificación por la que se acogen a la exención o bonificación (apartado 3.6 de esta convocatoria).

3.4.3 Aquellas personas aspirantes que soliciten medidas de adaptación deberán adjuntar, además del certificado de discapacidad, el dictamen técnico facultativo correspondiente, conforme a la base 3.7 de esta convocatoria.

3.5 El ingreso del importe de los derechos de examen (27 euros) se realizará mediante tarjeta bancaria dentro del plazo de presentación de solicitudes de participación y siguiendo las instrucciones del formulario de presentación de solicitudes.

A dicho importe ya se le ha aplicado la bonificación del 10 % por presentación telemática de la solicitud de participación establecida en el artículo 18.1-6 de la Ley 20/2017, de 28 de diciembre, de la Generalitat, de Tasas.

3.6 De acuerdo con lo que dispone el texto refundido de la Ley de Tasas de la Generalitat Valenciana, se aplicarán las siguientes exenciones o bonificaciones en el pago de los derechos de examen:

3.6.1 Estarán exentas del pago de los derechos de examen:

– Las personas aspirantes con discapacidad igual o superior al 33 %. Estas personas deberán adjuntar al formulario electrónico los certificados correspondientes que acrediten la condición de personas con discapacidad (certificado de la Conselleria de Servicios Sociales, Igualdad y Vivienda u órgano competente).

– Los miembros de familias numerosas y de familias monoparentales de categoría especial. Estas personas deberán adjuntar al formulario electrónico la documentación oficial en vigor que acredite dicha condición.

– Las víctimas de actos de violencia sobre la mujer que acrediten esta condición mediante cualquiera de los medios de prueba previstos en los artículos 9.1 y 9.2 de la Ley 7/2012, de 23 de noviembre, de la Generalitat, integral contra la violencia sobre la mujer en el ámbito de la Comunitat Valenciana.

– Las personas aspirantes que estén en situación de exclusión social. Estas personas deberán adjuntar al formulario electrónico la documentación oficial en vigor que acredite dicha condición, expedido por el órgano competente en materia de bienestar social del ayuntamiento de residencia.

3.6.2 Disfrutarán de una bonificación del 50 % en el pago de los derechos de examen:

Los miembros de familias numerosas y familias monoparentales de categoría general. Estas personas deberán adjuntar al formulario electrónico la documentación oficial en vigor que acredite la citada condición.

La falta de justificación del abono de los derechos de examen o de encontrarse exento/a del pago determinará la exclusión de la persona aspirante.

3.7 Las personas aspirantes con discapacidad que deseen solicitar medidas de adaptación deberán indicarlo expresamente en el apartado correspondiente de la solicitud de participación. Asimismo, deberán señalar también la medida o las medidas de adaptación requeridas.

En el anexo VI figura la lista de medidas de adaptación posibles. Para que les sea aplicada la medida de adaptación correspondiente deberán adjuntar a la solicitud de participación los certificados del grado de discapacidad y el dictamen técnico facultativo expedido por el órgano competente.

Sin adjuntar este último documento no será posible la concesión de la adaptación solicitada.

3.8 Los errores materiales que se puedan advertir en la solicitud de participación se podrán corregir en cualquier momento, de oficio o a instancia de la persona interesada.

A estos efectos, las personas aspirantes que hubieran iniciado el procedimiento acreditando su identidad con un NIE y hubieran obtenido con posterioridad el DNI, deberán aportar el nuevo documento de identidad al Servei de Recursos Humans (PTGAS-PI) a través de la Sede Electrónica, junto con el certificado de concordancia entre ambos documentos, emitido por la Oficina de Extranjeros, para la modificación de los datos correspondientes.

Cuarta. Admisión de las personas aspirantes.

4.1 Una vez finalizado el plazo de presentación de solicitudes de participación y después de la comprobación del cumplimiento de todos los requisitos señalados en esta convocatoria, así como el pago de los derechos de examen y/o la justificación de la exención del abono de estos, la rectora dictará una resolución, que se publicará en el «Diari Oficial de la Generalitat Valenciana»(DOGV) y que contendrá la lista provisional de personas admitidas y excluidas a la realización de las pruebas.

4.2 A partir del día siguiente a la publicación de la lista provisional de personas admitidas y excluidas, se iniciará un plazo de diez días hábiles para que se puedan formular alegaciones o subsanar los defectos que hayan motivado la exclusión, de acuerdo con lo que establece el artículo 68 de la Ley 39/2015, de 1 de octubre, del Procedimiento Administrativo Común de las Administraciones Públicas.

La presentación de alegaciones o la subsanación de defectos que hayan motivado la exclusión deberá realizarse en el entorno de tramitación electrónica de la Universitat de València (Sede electrónica) en la dirección electrónica señalada en la base 3.1 de esta convocatoria.

En cualquier caso, para evitar equivocaciones y posibilitar la enmienda de posibles errores dentro del plazo y en la forma oportuna, las personas aspirantes comprobarán fehacientemente, no sólo que no figuran en la relación de personas excluidas, sino que, además, su nombre, apellidos y datos del DNI o NIE constan correctamente en la relación de personas admitidas.

Las personas aspirantes que no subsanen los defectos detectados o no aleguen las omisiones dentro del plazo señalado serán definitivamente excluidas de la participación en estas pruebas.

4.3 Una vez finalizado el plazo de reclamaciones y de alegaciones, y subsanados los defectos, se dictará una nueva resolución que contendrá la lista definitiva de personas admitidas y excluidas, la fecha, el lugar y la hora de la realización del primer ejercicio. Esta resolución se publicará en el «Diari Oficial de la Generalitat Valenciana» (DOGV).

4.4 Devolución de los derechos de examen.

De conformidad con lo que establece el artículo 1.2.6 de la Ley 20/2017, de 28 de diciembre, de la Generalitat, de Tasas, no se procederá a la devolución de las tasas por derechos de examen en los supuestos de exclusión de las personas aspirantes de los procedimientos selectivos o por causas que son imputables exclusivamente a ellas.

Quinta. Desarrollo de las pruebas selectivas.

5.1 Los ejercicios se realizarán en las dependencias de la Universitat de València. El primer ejercicio se realizará en el lugar, la fecha y la hora que se establezca en la resolución del Rectorado de esta Universitat, mediante la que se apruebe la lista definitiva de personas admitidas y excluidas de las pruebas objeto de esta convocatoria.

5.2 Con el anuncio de la fecha de realización de cada uno de los ejercicios que componen el sistema selectivo, el órgano técnico de selección publicará, con la suficiente antelación, una nota informativa en la página web del Servei de Recursos Humans (PTGAS-PI), cuya dirección es: http://www.uv.es/pas, con las características, forma de realización y valoración de los ejercicios.

5.3 En caso de realizarse alguno de los ejercicios en diversas sesiones, el orden de actuación de las personas opositoras se establecerá por sorteo.

5.4 En cada ejercicio, las personas aspirantes deberán acreditar su identidad exclusivamente mediante la presentación del DNI, pasaporte, permiso de conducir o NIE acompañado de documento con fotografía, que acredite su identidad.

El incumplimiento de este requisito por alguna persona aspirante determinará su exclusión de la realización de las pruebas.

Las copias o fotocopias de estos documentos no serán válidas en ningún caso. Ni tampoco las fotos, PDFs o capturas de pantalla guardadas en dispositivos electrónicos de cualquier tipo.

5.5 Las personas aspirantes serán convocadas para cada ejercicio y serán excluidas aquellas que no comparezcan. Si la persona aspirante llega al lugar de realización de las pruebas cuando se hayan iniciado o no se presenta, aunque sea por causa justificada, perderá su derecho.

Las personas que integran el órgano técnico de selección y el personal colaborador no permitirán el acceso a las salas donde se realicen los ejercicios a aquellas personas aspirantes que no cumplan los requisitos anteriores, ni a aquellas que comparezcan después de que hayan empezado los respectivos ejercicios.

No obstante, cuando se trate de pruebas orales u otras de carácter individual y sucesivo, el órgano técnico de selección podrá considerar las causas alegadas y admitir a la persona aspirante, siempre que estas pruebas no hayan finalizado y esta admisión no menoscabe el principio de igualdad con el resto de las personas aspirantes.

5.6 Después de cada prueba, el órgano técnico de selección deberá anunciar, en un plazo mínimo de dos días, la realización de la siguiente en el tablón oficial de anuncios de la Universitat de València (https://webges.uv.es/uvTaeWeb/) y, con carácter meramente informativo, en la página web del Servei de Recursos Humans (PTGAS-PI), cuya dirección es: https://www.uv.es/pas/

5.7 Si en cualquier momento del proceso selectivo llega a conocimiento del órgano técnico de selección que alguna de las personas aspirantes no posee la totalidad de los requisitos exigidos en esta convocatoria, previa audiencia de la persona interesada, se le requerirá que acredite dichos requisitos. Si la persona aspirante no los acredita en el plazo de diez días hábiles siguientes a la notificación del requerimiento, el órgano técnico de selección propondrá su exclusión de las pruebas selectivas, indicando las inexactitudes o falsedades formuladas por la persona aspirante al órgano convocante, el cual, tras las verificaciones oportunas, dictará resolución motivada de exclusión de la citada persona en las pruebas selectivas.

5.8 La Universitat implementará todas las medidas necesarias para facilitar la realización de las pruebas selectivas a aquellas aspirantes embarazadas o en situación de parto inminente o reciente. Si por causas de fuerza mayor, debidamente justificadas, no pudiera completar el proceso selectivo a causa de embarazo de riesgo o parto, su situación quedará condicionada a la finalización de este y a la superación de las fases que hayan quedado aplazadas. Estas fases no se podrán demorar de manera que se menoscabe el derecho del resto de las personas aspirantes a una resolución del proceso ajustada a tiempos razonables, lo que deberá ser valorado por el órgano técnico de selección. En todo caso, la realización de las pruebas tendrá lugar antes de la publicación de la lista de personas aspirantes que han superado el proceso selectivo. Idéntica previsión resulta de aplicación a las víctimas de violencia de género cuando acrediten debidamente que no pueden asistir por motivos de seguridad.

Sexta. Órgano técnico de selección.

6.1 De acuerdo con el artículo 14 de la Constitución Española, el órgano técnico de selección velará por el cumplimiento del principio de igualdad de oportunidades entre ambos sexos.

La composición del órgano técnico de selección de estas pruebas se ajustará a lo dispuesto en la sección quinta del Reglamento de selección del personal técnico, de gestión, y de administración y servicios de la Universitat de València, aprobado por Acuerdo del Consell de Govern de esta Universitat, de 17 de diciembre de 2024 (ACGUV 371/2024). Se puede consultar este documento a través de este enlace:

https://webges.uv.es/uvTaeWeb/MuestraInformacionEdictoPublicoFrontAction.do?idEdictoSeleccionado=76050

La relación nominal de las personas que lo integran se hará pública en la misma resolución en que se publique la lista definitiva de personas admitidas y excluidas.

6.2 La composición del órgano técnico de selección deberá ajustarse al principio de imparcialidad y profesionalidad de sus miembros y tenderá, en su composición, a la paridad entre hombres y mujeres, en cumplimiento de lo que establece el artículo 53 de la Ley Orgánica 3/2007, de 22 de marzo, para la Igualdad Efectiva de Mujeres y Hombres, el artículo 60.1 del Real Decreto Legislativo 5/2015, de 30 de octubre, por el que se aprueba el texto refundido de la Ley del Estatuto Básico del Empleado Público y la Ley 4/2021, de 16 de abril, de la Generalitat, de la Función Pública Valenciana.

6.3 La presidencia del tribunal puede nombrar, cuando lo considere necesario, personal asesor por sus conocimientos técnicos, con voz y sin voto.

6.4 Será de aplicación a los miembros del órgano técnico de selección y al personal asesor, si lo hubiese, lo dispuesto en el Acuerdo del Consell de Govern de la Universitat de València (ACGUV 303/2021) que aprueba la Hoja de ruta sobre las medidas de integridad pública, la prevención y la lucha contra el fraude, la corrupción y los conflictos de interés.

A tal efecto, deberán rellenar la correspondiente declaración de ausencia de conflicto de interés (DACI), que será adjuntada al acta de constitución del tribunal, estas declaraciones formarán parte del expediente administrativo. Se dispondrá de un modelo normalizado por la Universitat en la siguiente página web:

https://www.uv.es/uvweb/servei-recursos-humans-pas/ca/personal-tecnic-administracio/mesures-prevencio-conflicte-interessos-1286242272765.html

6.5 Las personas que componen el órgano técnico de selección, así como el personal colaborador, especialista y ayudante, deberán abstenerse de intervenir en las actividades del tribunal cuando se encuentren en alguna de las circunstancias previstas en los artículos 23 y 24 de la Ley 40/2015, de 1 de octubre, de Régimen Jurídico del Sector Público, o si han realizado tareas de preparación de personas opositoras a pruebas selectivas para el mismo cuerpo o escala en los cinco años anteriores a la publicación de esta convocatoria.

6.6 Previa convocatoria de la presidencia, se constituirá el órgano técnico de selección, que exige la presencia de la totalidad de las personas que lo componen. Las personas titulares que no concurran al acto de constitución cesarán y serán sustituidas por sus suplentes.

Durante el proceso selectivo, el órgano técnico de selección resolverá todas las dudas que puedan surgir sobre la aplicación de estas normas, así como lo que se deba hacer en los casos no previstos.

El procedimiento de actuación del órgano técnico de selección se ajustará en todo momento a lo que dispone la Ley 40/2015, de 1 de octubre, de Régimen Jurídico del Sector Público.

6.7 El órgano técnico de selección adoptará las medidas necesarias para que las personas aspirantes con discapacidad tengan las mismas condiciones para la realización de los ejercicios que el resto de las personas participantes. En este sentido, se establecerán las adaptaciones posibles de tiempo y medios para las personas aspirantes que lo soliciten de acuerdo con la base 3.7.

6.8 Para las comunicaciones y el resto de las incidencias que puedan surgir, el órgano técnico de selección tendrá su sede en el Rectorado de la Universitat de València (Avenida Blasco Ibáñez, 13, 46010 València).

6.9 Las personas que formen parte del órgano técnico de selección que actúe en estas pruebas tendrán la categoría que para estos casos determine la legislación vigente.

6.10 En ningún caso el órgano técnico de selección podrá aprobar ni declarar que ha superado las pruebas selectivas un número de personas superior al de los puestos convocados. Cualquier propuesta que contravenga lo que se ha establecido será nula de pleno derecho.

6.11 La presidencia del órgano técnico de selección adoptará las medidas oportunas para garantizar que los ejercicios de la fase de oposición sean corregidos sin conocimiento de la identidad de las personas aspirantes, en aquellos ejercicios que sea procedente.

Séptima. Información y actuaciones del órgano técnico de selección.

7.1 Toda la información que se deba comunicar a las personas aspirantes, la lista de personas aprobadas en cada ejercicio, la valoración de los méritos y cualquier otro anuncio que el órgano técnico de selección estime pertinente, se publicará en el tablón oficial de anuncios de la UVEG (https://webges.uv.es/uvTaeWeb/), en el apartado de personal de administración y servicios y, con carácter meramente informativo, en la página web del Servei de Recursos Humans (PTGAS-PI), cuya dirección es: https://www.uv.es/pas

7.2 De acuerdo con el método establecido en la base 1.3 de esta convocatoria, se procederá a obtener la lista de personas aspirantes que hayan superado la fase de oposición.

Posteriormente, se elaborará la lista definitiva de personas aprobadas por el tribunal. Esta lista se elaborará siguiendo el siguiente procedimiento:

En primer lugar, se incorporarán las personas aprobadas por el sistema de oposición y, seguidamente, se incorporarán las personas aprobadas por el sistema de concurso-oposición. Esta lista se interrumpirá cuando el número de personas aprobadas por cada sistema coincida con el número de puestos convocados para cada sistema.

Para aquellas personas que hayan superado el proceso selectivo y hayan obtenido puesto vacante según las normas establecidas en esta convocatoria, la elección de puesto seguirá el mismo orden que el indicado para la lista de personas aprobadas; es decir, primero elegirán las personas que hayan obtenido puesto por el sistema de oposición y después los que lo hayan hecho por el sistema de concurso-oposición.

7.3 Si en la elaboración de la citada lista –respetando los criterios de cada sistema– se produjese un empate entre la puntuación de las personas aprobadas, el orden se establecerá de la manera siguiente:

a) En caso de empate entre las personas aprobadas por el sistema de oposición:

1.º La puntuación obtenida en el ejercicio práctico.

2.º Si continua el empate, la puntuación obtenida en el primer ejercicio.

3.º Si continua el empate, el nivel de conocimiento de valenciano.

4.º Si continua el empate, el nivel de conocimiento de inglés.

5.º Si continua el empate, el nivel de conocimiento de otros idiomas comunitarios, según el baremo de la fase de concurso-oposición correspondiente a la escala y sin limitación de la puntuación máxima.

6.º Si continua el empate, la antigüedad al servicio de las administraciones públicas.

b) En caso de empate entre las personas aprobadas por el sistema de concurso-oposición:

1.º La puntuación más alta en la fase de oposición.

2.º Si continua el empate, la puntuación obtenida en el ejercicio práctico.

3.º Si continua el empate, la puntuación obtenida en el primer ejercicio.

4.º Si continua el empate, el nivel de conocimiento de valenciano.

5.º Si continua el empate, el nivel de conocimiento de inglés.

6.º Si continua el empate, el nivel de conocimiento de otros idiomas comunitarios, según el baremo de la fase de concurso y sin limitación de la puntuación máxima.

7.º Si continua el empate, la antigüedad al servicio de las administraciones públicas.

En caso de que, con ocasión del desempate que es pudiese producir, tanto por el sistema de oposición, como por el sistema de concurso-oposición, se hubiese de presentar la correspondiente documentación, se abriría plazo para que las personas afectadas presenten ésta a través del Registro Electrónico de la Sede electrónica (Sede electrónica) de la Universitat de València. La instancia se dirigirá al Servei Recursos Humans (PTGAS-PI), sección convocatorias y concursos.

Octava. Conocimientos de valenciano.

Las personas que superen las pruebas selectivas deberán acreditar los conocimientos de valenciano de nivel C1 con certificados, diplomas o títulos expedidos por la Junta Qualificadora de Coneixements del Valencià o por el Servei de Llengües i Política Lingüística de la Universitat de València o bien el certificado de homologación emitido por este Servicio.

Novena. Relación de personas aprobadas y presentación de documentos.

9.1 Una vez finalizado el proceso selectivo se publicará en el «Diari Oficial de la Generalitat Valenciana» (DOGV), por resolución del Rectorado, la lista definitiva con el nombre de las personas aprobadas por orden de puntuación, primero con las personas aprobadas por el sistema de oposición y, seguidamente, con las personas aprobadas por el sistema de concurso-oposición.

9.2 En el plazo de diez días hábiles, contados desde el día siguiente de la publicación en el «Diari Oficial de la Generalitat Valenciana» (DOGV) de la lista con el nombre de las personas seleccionadas, éstas deberán presentar en el Registro General de la Universitat de València o en cualquier registro establecido en el apartado 4, del artículo 16, de la Ley 39/2015, de 1 de octubre, del Procedimiento Administrativo Común de las Administraciones Públicas, la documentación siguiente, presentando original y copia:

9.2.1 Certificado de nacimiento expedido por el registro civil correspondiente o fotocopia del DNI en caso de ser español/a, o el documento nacional de identidad de su Estado y el NIE en caso de ser nacional de un Estado miembro de la Unión Europea o ser nacional de un país en el que se aplique la libre circulación de personas, o el NIE y el pasaporte en caso de ser nacional de otro Estado y encontrarse en situación de poder participar según la base 2.1 de esta convocatoria.

9.2.2 Fotocopia cotejada con el original de los títulos académicos exigidos en esta convocatoria.

9.2.3 Fotocopia cotejada del certificado acreditativo de los conocimientos de valenciano nivel C1.

9.2.4 Declaración de no haber sido separado/a, mediante expediente disciplinario, de alguna administración o cargo público; así como de no encontrarse inhabilitado/a penalmente para el ejercicio de las funciones públicas. Si alguna persona seleccionada fuera nacional de otro Estado comunitario, deberá presentar una declaración de no encontrarse sometida a ninguna sanción disciplinaria o condena penal que le impida el acceso a la función pública en su Estado.

9.2.5 Certificado médico acreditativo de poseer la capacidad física y psíquica necesarias para el ejercicio de las funciones de los puestos de trabajo ofertados. A tal efecto, los reconocimientos se realizarán a través de los servicios médicos concertados por la Universitat de València.

9.2.6 Las personas seleccionadas que tengan alguna discapacidad deberán aportar un certificado del órgano competente de la comunidad autónoma sobre la capacidad para llevar a cabo las tareas que correspondan a los puestos de trabajo objeto de esta convocatoria.

9.2.7 Las personas seleccionadas que hayan disfrutado de la exención o bonificación de las tasas deberán presentar fotocopia cotejada con el original de la documentación que justifique el motivo de esta.

9.3 Si alguna de las personas seleccionadas no presenta la documentación dentro del plazo indicado (excepto en los casos de fuerza mayor) o si hay falsedad en los documentos presentados, esto comportará la invalidez de las actuaciones de esta persona y la nulidad subsiguiente de los actos del órgano técnico de selección respecto de ella, sin perjuicio de las responsabilidades en que haya podido incurrir.

9.4 Aquellas personas que tuviesen la condición de funcionarias o de personal laboral al servicio de la Universitat de València están exentas de presentar la documentación relativa a los apartados 9.2.1, 9.2.2 y 9.2.3, si ya la tuvieran anteriormente acreditada ante la misma. No obstante lo anterior, el órgano convocante podrá solicitar que se vuelva a exigir una nueva acreditación de aquellos requisitos que considere conveniente, ya sea por el tiempo transcurrido desde su obtención o porque guarden relación directa con las funciones o tareas del puesto a desempeñar.

Décima. Nombramiento de funcionarios o funcionarias.

Una vez transcurrido el plazo de presentación de la documentación especificada en la base novena de esta convocatoria y después de haberse verificado el cumplimiento de los requisitos exigidos, la rectora dictará una resolución, que se publicará en el «Diari Oficial de la Generalitat Valenciana» (DOGV), mediante la cual las personas que hayan superado estas pruebas selectivas serán nombradas funcionarias de carrera.

Undécima. Información respecto de los datos recogidos.

11.1 La Universitat de València Estudi General es la entidad responsable de los datos facilitados por las personas aspirantes en este proceso. Se tratará la información facilitada por las personas aspirantes, exclusivamente, con los fines objeto de la convocatoria, así como, en su caso, la posterior gestión de personal, de conformidad con lo dispuesto en la Ley Orgánica 2/2023, de 22 de marzo, del Sistema Universitario. Parte de los datos facilitados serán publicados en el «Diari Oficial de la Generalitat Valenciana» (DOGV). Asimismo, dichos datos se publicarán en el tablón oficial de anuncios de la Universitat de València y se cederán a los miembros del tribunal para la resolución de las reclamaciones planteadas, en su caso, por las personas aspirantes.

11.2 Los datos de las personas aspirantes se conservarán indefinidamente para el cumplimiento de las finalidades señaladas, conforme a lo dispuesto en la Ley 3/2005, de 15 de junio, de Archivos de la Generalitat Valenciana.

11.3 Las personas aspirantes tienen derecho a solicitar al responsable del tratamiento el acceso a sus datos personales y a su rectificación o supresión, o a la limitación de su tratamiento, o a oponerse al tratamiento, así como el derecho a la portabilidad de los datos, mediante escrito acompañado de copia de un documento de identidad y, en su caso, documentación acreditativa de la solicitud, dirigido al Delegado de Protección de Datos en la Universitat de València.

11.4 La Universitat de València tiene habilitada una dirección (lopd@uv.es) para cualquier información, sugerencia, petición de ejercicio de derechos y resolución amistosa de controversias en materia de protección de datos de carácter personal, sin perjuicio del derecho a presentar una reclamación ante la autoridad de control competente.

Las políticas de privacidad de la Universitat de València pueden ser consultadas en la dirección:

https://www.uv.es/uvweb/universitat/ca/politica-privacitat/responsable-identificacio-titular-web-funcions-1285919116693.html

Duodécima. Recursos.

Contra esta resolución, que agota la vía administrativa, se puede interponer, conforme al artículo 123 de la Ley 39/2015, recurso potestativo de reposición en el plazo de un mes contado desde el día siguiente a su publicación, ante el mismo órgano que dictó la resolución, o bien directamente interponer el recurso contencioso-administrativo en el plazo de dos meses contados desde el día siguiente a su publicación ante los órganos de la Jurisdicción Contencioso-administrativa de la Comunitat Valenciana.

Contra los actos del órgano técnico de selección se podrá interponer el recurso de alzada, previsto en la Ley 39/2015, de 1 de octubre, del Procedimiento Administrativo Común de las Administraciones Públicas.

Los recursos contencioso-administrativos que se interpongan contra esta resolución se anunciarán en el «Diari Oficial de la Generalitat Valenciana» (DOGV), a los efectos de emplazamiento a las posibles personas interesadas.

ANEXO II
Sistema selectivo

En el caso del sistema de oposición, el procedimiento de selección se realizará en una única fase: oposición.

En el caso del sistema de concurso-oposición, el procedimiento de selección se realizará en dos fases: oposición y concurso.

1. Fase de oposición

Constará de tres ejercicios eliminatorios, cada uno de ellos se valorará con 20 puntos y será necesario obtener como mínimo 10 puntos para aprobar cada uno de ellos. Las puntuaciones se otorgarán con tres decimales.

Los tres ejercicios serán únicos y simultáneos para los dos sistemas.

Primer ejercicio (Duración 1h-1,5h, a determinar por el órgano técnico de selección):

Consistirá en un test de 100 preguntas con cuatro respuestas alternativas, de las cuales sólo una será correcta. Las materias a evaluar en este ejercicio se compondrán en un 20-25 % del temario que figura en el anexo III y en un 75-80 % del temario que figura en el anexo IV.

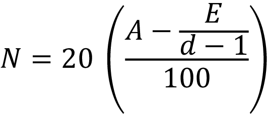
Los errores penalizarán de acuerdo con la siguiente fórmula:

Imagen: /datos/imagenes/disp/2025/139/11693_15757565_1.png

N= Nota resultante.

A= Número de aciertos.

E= Número de errores.

d= Número de opciones para cada pregunta.

En caso de que alguna pregunta se anulara como consecuencia de la estimación de alguna impugnación, el ejercicio se continuará valorando sobre 20 puntos, ajustando proporcionalmente el valor de las preguntas válidas.

Segundo ejercicio (duración 4 horas).

Consistirá en el desarrollo por escrito de dos temas, elegidos por la persona aspirante de entre cuatro, extraídos al azar por el órgano técnico de selección entre el temario que figura en el anexo IV de la convocatoria.

Una vez finalizada la prueba, cada opositor/a introducirá el ejercicio en un sobre que, una vez cerrado, quedará bajo la custodia del tribunal, el cual citará a las personas opositoras para la lectura pública de los temas que hayan desarrollado. El tribunal anunciará con suficiente antelación la fecha, la hora y el lugar de la lectura.

Tercer ejercicio (duración 3,5 horas).

Consistirá en la resolución de dos casos prácticos, de entre tres propuestos por el órgano técnico de selección, relacionados con el contenido del temario que figura en el anexo IV de la convocatoria.

2. Fase de concurso

Solo accederán a la fase de concurso las personas aspirantes que hayan superado la fase de oposición y no hayan obtenido puesto por el sistema de oposición. Los méritos se deberán reunir a fecha de finalización del plazo de presentación de solicitudes de participación.

Los méritos a valorar serán los siguientes:

a) Experiencia profesional:

Se valorará el tiempo trabajado en universidades públicas y otras administraciones públicas de acuerdo con la siguiente escala:

Hasta un máximo de 23 puntos:

– 0,30 puntos por mes trabajado en la misma escala, o escalas equivalentes a la convocada en universidades públicas.

– 0,22 puntos por mes trabajado en cuerpos o escalas equivalentes a la convocada en otras administraciones públicas.

– 0,08 puntos por mes trabajado en cuerpos o escalas del mismo sector y equivalente itinerario profesional al de la plaza convocada.

b) Titulación académica:

Hasta un máximo de 4 puntos. Se obtendrán puntos por cada uno de estos títulos:

– Doctorado: 3,5 puntos.

– Máster Oficial: 3 puntos.

– Segundas licenciaturas o grados: 2 puntos.

– Títulos universitarios de posgrado no oficiales, hasta 1,125 puntos de acuerdo con la siguiente escala:

• De 30 créditos ECTS o más, o de 300 horas o más en los títulos antiguos: 1,125 puntos.

• De 20 créditos ECTS o más, o de 200 horas o más en los títulos antiguos: 0,75 puntos.

• De 10 créditos ECTS o más, o de 100 horas o más en los títulos antiguos: 0,375 puntos.

c) Conocimientos de Valenciano:

Hasta un máximo de 4 puntos:

– Nivel C2: 4 puntos.

d) Idiomas comunitarios:

Hasta un máximo de 8 puntos:

Inglés:

Nivel C2: 5 puntos.

Nivel C1: 4,37 puntos.

Nivel B2: 3,12 puntos.

Nivel B1: 1,87 puntos.

Nivel A2: 0,62 puntos.

Nivel A1: 0,25 puntos.

Francés, alemán, italiano:

Nivel C2: 4 puntos.

Nivel C1: 3,50 puntos.

Nivel B2: 2,50 puntos.

Nivel B1: 1,50 puntos.

Nivel A2: 0,50 puntos.

Nivel A1: 0,20 puntos.

ANEXO III
Temario (General)

1. La Constitución Española de 1978.

2. El Estatuto de Autonomía de la Comunitat Valenciana.

3. Ley 39/2015, de 1 de octubre, del Procedimiento Administrativo Común de las Administraciones Públicas.

4. Ley 40/2015, de 1 de octubre, de Régimen Jurídico del Sector Público (sólo el título preliminar, excepto la subsección segunda de la sección tercera del capítulo II).

5. El reglamento de ejecución presupuestaria en vigor de la Universitat de València:

https://www.uv.es/uvweb/servei-comptabilitatpressupost/ca/documents/pressupost/pressupost-actual-1285948487074.html

6. Ley Orgánica 2/2023, de 22 de marzo, del Sistema Universitario. La autonomía universitaria y el régimen jurídico de las universidades públicas, los estatutos. Creación y reconocimiento de las universidades y calidad del sistema universitario. La comunidad universitaria: el personal docente e investigador de las universidades públicas; el personal técnico, de gestión y administración y servicios de las universidades públicas; el estudiantado del sistema universitario.

7. Ley Orgánica 2/2023, de 22 de marzo, del Sistema Universitario. Estructura de las universidades públicas. La estructura de la Universitat de València. Gobernanza de las universidades públicas. Régimen económico y financiero de las universidades públicas.

8. Real Decreto Legislativo 5/2015, por el que se aprueba el texto refundido de la Ley del Estatuto Básico del Empleado Público, y Ley 4/2021 de 16 de abril de la Generalitat, de la Función Pública Valenciana (excepto los títulos II y IV).

9. Ley 19/2013, de 9 de diciembre, de Transparencia, Acceso a la Información Pública y Buen Gobierno: título preliminar; título I, Transparencia de la actividad pública. Ley 1/2022, de 13 de abril, de la Generalitat, de Transparencia y Buen Gobierno de la Comunitat Valenciana (título preliminar y título I).

10. Ley Orgánica 3/2007, de 22 de marzo, para la Igualdad Efectiva de Mujeres y Hombres y la Ley Orgánica 1/2004, de 28 de diciembre, de Medidas de Protección Integral Contra la Violencia de Género (sólo título preliminar, capítulo I del título I y capítulos II y III del título II).

Nota: La normativa legal que ampara el contenido de estos temas será la que se encuentre en vigor en el momento de la publicación de esta convocatoria en el «Boletín Oficial del Estado» (BOE).

ANEXO IV
Temario (Específico)

1. El marco jurídico de la prevención de riesgos laborales en España: normativa europea y estatal. La prevención de riesgos laborales en la Comunitat Valenciana.

2. Derechos y deberes de los trabajadores: el derecho de los trabajadores a la protección frente a los riesgos laborales. El deber empresarial de protección. Principios generales de la acción preventiva. Obligaciones de los trabajadores.

3. Consulta y participación de los trabajadores en materia de prevención de riesgos laborales. El deber de consulta del empresario. El derecho de participación. Los instrumentos de participación. Los delegados de Prevención. El Comité de Seguridad y Salud.

4. Los Servicios de Prevención de Riesgos Laborales: normativa. Organización de recursos para el desarrollo de la actividad preventiva. Recursos materiales y humanos. Funciones y niveles de cualificación.

5. La evaluación de riesgos como herramienta básica de la planificación de la actividad preventiva. Definición y objetivos. Tipos de evaluaciones. Clasificación de las actividades de trabajo. Identificación de peligros. Severidad del daño. Probabilidad de que ocurra el daño. Estimación del nivel de riesgo. Valoración del riesgo. Planificación de medidas preventivas.

6. Responsabilidades en materia de prevención en la empresa. Concepto. Tipos de responsabilidad: Responsabilidad civil, administrativa y penal. Responsabilidad del empresario. Responsabilidad de directivos, mandos intermedios y trabajadores.

7. La integración de la actividad preventiva en todos los niveles jerárquicos de la empresa. El plan de prevención. La gestión de riesgos laborales en la empresa: concepto. El sistema de gestión para la prevención.

8. El Plan de Prevención de Riesgos Laborales de la Universitat de València. Disponible en el enlace:

https://www.uv.es/sgeneral/Reglamentacio/Doc/Pas/G17_sp.pdf

9. Coordinación de actividades empresariales: normativa. El deber de cooperación de empresas concurrentes en materia de prevención. Obligaciones de la empresa titular y de la empresa principal.

10. Disposiciones normativas aplicables a los Espectáculos Públicos, Actividades Recreativas y Establecimientos Públicos que puedan organizar las universidades de la Comunitat Valenciana.

11. Condiciones de trabajo y salud. Terminología básica. Factores de riesgo. El riesgo laboral. Daños derivados del trabajo. Los accidentes de trabajo y las enfermedades profesionales. Prevención y Protección. Prevención primaria, secundaria y terciaria.

12. Protección de la maternidad. Riesgos laborales específicos para la mujer trabajadora durante el embarazo, posparto y lactancia. Legislación vigente de protección de la maternidad. Medidas preventivas frente a los riesgos específicos. Protección de trabajadores especialmente sensibles a riesgos de su puesto de trabajo.

13. Señalización de seguridad y salud en el trabajo. Normativa, tipos, conceptos para su utilización.

14. Disposiciones mínimas de seguridad y salud en los lugares de trabajo. Lugares y superficies de trabajo. Espacio de trabajo. Orden y limpieza en los centros de trabajo. Vías y salidas de emergencia. Condiciones ambientales de los locales de trabajo. Normativa de prevención.

15. Código Técnico de la Edificación de España. Documento Básico Seguridad de Utilización y Accesibilidad.

16. Seguridad en el Trabajo como disciplina técnica de actuación. Concepto y definición. Condiciones y Técnicas de Seguridad. Clasificación y formas de actuación. Técnicas analíticas. Técnicas operativas. Importancia preventiva.

17. Higiene Industrial como técnica no médica de prevención de enfermedades profesionales. Concepto. Ramas de la higiene. Criterios de valoración del riesgo higiénico.

18. Medicina del trabajo: conceptos, objetivos y normativa. Vigilancia y control de la salud de los trabajadores. Recursos humanos y materiales. Funciones. Confidencialidad.

19. Ergonomía: conceptos y objetivos. El diseño del puesto de trabajo. El trabajo físico: los esfuerzos, las posturas y los movimientos repetitivos.

20. Psicosociología del trabajo. Factores psicosociales y metodologías de análisis. Estrés, burnout y mobbing.

21. Protección individual. Equipos de Protección Individual (EPI’s). Concepto y Clasificación. Normativa. Comercialización, selección y uso. Implantación del uso de los equipos de protección individual.

22. Diseño de puestos de trabajo equipados con Pantallas de Visualización de Datos. Principios generales. Aspectos relativos a la posición de las pantallas. Otros requisitos. Disposiciones mínimas de seguridad y salud en el trabajo.

23. Evaluación de los riesgos en tareas con manipulación manual de cargas. Esfuerzos. Riesgos dorsolumbares. Manutención mecánica y manual. Tipos de trabajo muscular. Posturas de trabajo. Normativa.

24. Primeros auxilios. Concepto. Normas de actuación ante una emergencia. Reanimación cardiopulmonar. Actuaciones ante situaciones específicas.

25. Costes de los accidentes de trabajo: Coste humano y coste económico de los accidentes de trabajo. Coste para el accidentado. Coste para la empresa. Coste para la sociedad. Análisis coste-beneficio de la prevención. El análisis estadístico de accidentes en la empresa: Concepto y objetivos. Tipos de diagramas que se pueden obtener.

26. Objeto de las estadísticas de prevención. Principales índices y parámetros. La evolución de la siniestralidad en España. La comparabilidad de los datos estadísticos con los de otros Estados. La notificación de los accidentes de trabajo y enfermedades profesionales. Obligaciones establecidas en la Ley general de la seguridad social y su normativa de desarrollo y en la Ley de prevención de riesgos laborales.

27. Investigación de accidentes de trabajo: objetivos de la investigación de los accidentes de trabajo. Accidentes que se deben investigar. Metodología de la investigación de accidentes. El informe resultante de la investigación de un accidente. Características que deben de cumplir las propuestas preventivas emanadas de la investigación de un accidente. La investigación de accidentes por el método del Árbol de Causas.

28. Incendios (I): conceptos básicos sobre causas y propagación de los incendios. Principios generales de prevención y protección. Productos inflamables y explosivos y su almacenamiento.

29. Incendios (II): Código Técnico de la Edificación de España. Documento Básico Seguridad en caso de Incendio.

30. Incendios (III): Seguridad contra incendios en establecimientos industriales. Regulación y posible aplicación a las universidades.

31. Incendios (IV): Reglamento de Instalaciones de Protección contra Incendios.

32. Explosiones: Concepto de explosión y de atmósfera explosiva. Polvos inflamables y combustibles. Límites y valores de referencia. Emplazamientos peligrosos. Clasificación y características de las áreas en las que pueden formarse atmósferas explosivas. Medidas de protección frente a atmósferas explosivas. Aparatos y sistemas de protección para uso en atmósferas potencialmente explosivas. Legislación aplicable a trabajos en atmósferas explosivas.

33. Equipos a presión. Calderas. Recipientes a presión transportables. Disposiciones de seguridad aplicables.

34. Medidas de emergencia y planes de autoprotección. Legislación relacionada de Protección Civil, Norma Básica de Autoprotección, Catálogo de Actividades con Riesgo de la Comunitat Valenciana y Registro Autonómico de Planes de Autoprotección.

35. Disposiciones mínimas de seguridad y salud para la utilización por los trabajadores de los equipos de trabajo.

36. Prevención de riesgos laborales relativa a los equipos de trabajo en laboratorios: autoclaves, vitrinas de gases, cabinas de seguridad, armarios de seguridad, duchas de seguridad, fuentes lavaojos y otros equipos.

37. Máquinas y componentes de seguridad. Normativa. Requisitos esenciales de seguridad y de salud relativos al diseño y fabricación y comercialización de las máquinas y de los componentes de seguridad. Tipos de máquinas y componentes de seguridad desde el punto de vista del procedimiento de certificación de la conformidad. El marcado CE. La declaración CE de conformidad. Examen CE de tipo. Organismos de control notificados.

38. Riesgos debidos a la electricidad (I): Efectos nocivos de la electricidad. Lesiones producidas por la electricidad en el cuerpo humano. Factores que influyen en el efecto eléctrico. Actuación en caso de accidente eléctrico.

39. Riesgos debidos a la electricidad (II): Tipos de contacto eléctricos. Protección contra contactos eléctricos directos. Protección contra contactos eléctricos indirectos. Normativa.

40. Riesgos debidos a la electricidad (III): Disposiciones mínimas para la protección de la salud y seguridad de los trabajadores frente al riesgo eléctrico. Definiciones, trabajos sin tensión, trabajos en tensión, maniobras, mediciones, ensayos y verificaciones, trabajos en proximidad, trabajos en emplazamientos con riesgo de incendio y explosión, electricidad estática. Normativa.

41. Espacios confinados: concepto de espacio confinado. Peligros asociados a un espacio confinado. Actuación ante un espacio confinado. El Permiso de Trabajo: contenido del Permiso de Trabajo. Procedimientos de emergencia y rescate. Entrenamiento y deberes del equipo de trabajo en el espacio confinado. Cancelación del Permiso de Trabajo.

42. Seguridad y salud en las obras de construcción. Normativa aplicable. El estudio y los planes de seguridad y salud en el trabajo. El Coordinador de Seguridad, la dirección facultativa y la propiedad. El libro de incidencias. Disposiciones mínimas de seguridad y salud en las obras de construcción.

43. Requisitos y datos que deben reunir las comunicaciones de apertura o de reanudación de actividades en los centros de trabajo.

44. Regulación de la subcontratación en el Sector de la Construcción. Libro de subcontratación.

45. Protección colectiva e individual contra caídas a distinto nivel. Tipos y características de barandillas, andamios, escaleras, escalas, líneas de vida, puntos de anclaje, arneses, dispositivos, cuerdas y accesorios. Factor de caída. Síndrome del arnés.

46. Agentes Químicos. Clasificación, etiquetado y envasado de sustancias y mezclas. Escenarios de utilización. La Ficha de Datos de Seguridad. Reglamentación europea.

47. Disposiciones generales, de seguridad y de calidad industriales en la legislación española.

48. Almacenamiento de productos químicos en recipientes móviles. Normativa aplicable.

49. Almacenamiento en instalaciones petrolíferas para uso propio. Normativa aplicable.

50. Prevención de Riesgos Laborales aplicada en los laboratorios de docencia e investigación universitaria. Medidas técnicas y organizativas.

51. Protección de la salud y la seguridad de los trabajadores contra los riesgos relacionados con la exposición a radiaciones ópticas artificiales. Clasificación, señalización y etiquetado de láseres.

52. Normativa sobre las condiciones de seguridad de las actividades de buceo. Buceo científico.

Nota: La normativa legal que ampara el contenido de estos temas será la que se encuentre en vigor en el momento de la publicación de esta convocatoria en el «Boletín Oficial del Estado» (BOE).

ANEXO V
Órgano técnico de selección

El órgano técnico de selección para estas pruebas selectivas estará compuesto por 5 miembros, con voz y voto, nombrados por la rectora:

a) La presidencia y el secretario o la secretaria, y su suplencia, que designa la rectora entre el personal funcionario de la comunidad universitaria.

b) Un/una vocal, y su suplencia, que designa la rectora, preferentemente entre el personal de la misma escala o las escalas superiores a la de la convocatoria.

c) Un/una vocal, y su suplencia, que se elige por sorteo, preferentemente entre el personal de la misma escala o las escalas superiores a la de la convocatoria.

d) Un/una vocal, y su suplencia, que designa la rectora, entre personal de otras administraciones públicas de cuerpos funcionariales o escalas del mismo grupo o superior y de funciones análogas a la de la convocatoria.

ANEXO VI
Medidas de adaptación

Las medidas de adaptación que pueden solicitar las personas con discapacidad son las siguientes:

1. Eliminación de barreras arquitectónicas y mesa adaptada a silla de ruedas.

2. Ampliación del tiempo de duración del ejercicio.

3. Aumento de la amplitud de los caracteres del examen, por dificultad de visión.

4. Necesidad de intérprete por causa de sordera.

5. Sistema braille de escritura.

6. Otras. En caso de que la adaptación requerida no sea alguna de las anteriores, deberá indicarse en el espacio correspondiente de la solicitud de participación.

En la solicitud de participación se deberá seleccionar la medida o las medidas de adaptación que se requieren.

ANÁLISIS

  • Rango: Resolución
  • Fecha de disposición: 23/05/2025
  • Fecha de publicación: 10/06/2025
  • Convocatoria. 2 plazas.

subir

Agència Estatal Butlletí Oficial de l'Estat

Avda. de Manoteras, 54 - 28050 Madrid