Edukia ez dago euskaraz

Zu hemen zaude

Documento BOE-A-2025-13121

Resolución de 17 de junio de 2025, de la Universidad de Valladolid, por la que se convoca proceso selectivo para la provisión, para personas que acrediten discapacidad intelectual, de plazas de personal laboral fijo de la categoría de Auxiliar de Servicios.

Publicado en:
«BOE» núm. 154, de 27 de junio de 2025, páginas 85047 a 85065 (19 págs.)
Sección:
II. Autoridades y personal - B. Oposiciones y concursos
Departamento:
Universidades
Referencia:
BOE-A-2025-13121

TEXTO ORIGINAL

De conformidad con lo dispuesto en el artículo 59 del texto refundido de la Ley del Estatuto Básico del Empleado Público, aprobado por Real Decreto Legislativo 5/2015, de 30 de octubre –en adelante, TREBEP–, y según lo contenido en la oferta de empleo público del año 2022, hecha pública mediante resolución de este Rectorado de 2 de diciembre de 2022 (BOCyL de 13 de diciembre de 2022) y en la del año 2023, hecha pública mediante resolución de este Rectorado de 21 de noviembre de 2023 (BOCyL de 28 de noviembre de 2023), se establecen para personal de nuevo ingreso una reserva de un 10 por ciento de las plazas ofertadas para ser cubiertas por personas con discapacidad, considerando como tales las definidas en el apartado 2 del artículo 4 del texto refundido de la Ley General de derechos de las personas con discapacidad y de su inclusión social, aprobado por el Real Decreto Legislativo 1/2013, de 29 de noviembre. Asimismo, dentro de este cupo, se establece que, de dicha reserva, el 2 por ciento de las plazas ofertadas sean cubiertas por personas que acrediten discapacidad intelectual.

La presente convocatoria tiene por objeto convocar todas las plazas reservadas para personas con discapacidad intelectual previstas en las mencionadas ofertas de empleo público para los años 2022 y 2023.

La convocatoria tendrá en cuenta el principio de igualdad jurídica, establecido en el artículo 14 de la Constitución Española, por lo que se refiere al acceso al empleo, a tenor de lo establecido en la Ley 15/2022, de 12 de julio, integral para la igualdad de trato y la no discriminación, y en cuanto a la igualdad de trato entre mujeres y hombres, conforme con la Ley Orgánica 3/2007, de 22 de marzo, para la igualdad efectiva de mujeres y hombres.

En su virtud, este Rectorado, a fin de atender las necesidades de personal y en ejecución de las ofertas de empleo público de los años 2022 y 2023, según lo dispuesto en el artículo 70 del TREBEP, en uso de las atribuciones que tiene conferidas por el artículo 88.g) de los Estatutos de la Universidad de Valladolid –en adelante, EEUVA– aprobados por Acuerdo 111/2020, de 30 de diciembre, de la Junta de Castilla y León, en relación con el artículo 3.2.j) de la Ley Orgánica 2/2023, de 22 de marzo, del Sistema Universitario –en adelante, LOSU–, en cumplimiento de lo dispuesto en el artículo 16.1.b) del vigente II Convenio colectivo del Personal Laboral de las Universidades Públicas de Castilla y León (Resoluciones de 2 de enero de 2007 y 4 de junio de 2013 de la Dirección General de Trabajo y Prevención de Riesgos Laborales, BOCyL de 18 de enero de 2007 y 25 de junio de 2013) –en adelante, «Convenio Colectivo»–, y de forma supletoria por lo establecido en el Decreto 24/2022, de 16 de junio, por el que se regula el acceso de las personas con discapacidad al empleo público, a la provisión de puestos de trabajo y a la formación en la administración de Castilla y León, resuelve convocar concurso-oposición libre para ingreso como personal laboral fijo en plazas reservadas para personas que acrediten discapacidad intelectual, de la categoría de Auxiliar de Servicios, grupo de clasificación laboral «IVB», dotadas presupuestariamente y que se hallan vacantes en la plantilla de esta Universidad, con sujeción a las bases que a continuación se reproducen y que han sido elaboradas por la Gerencia de la Universidad de Valladolid previa negociación con los Comités de Empresa de Valladolid y Palencia y delegados de personal de los campus de Segovia y Soria.

Bases de la convocatoria

1. Normas generales

1.1 Se convoca Concurso-oposición libre a fin de cubrir dos plazas de personal laboral de la categoría de Auxiliar de Servicios para personas con discapacidad intelectual, dotadas presupuestariamente y que en la actualidad se hallan vacantes.

1.2 El presente proceso selectivo se regirá por lo dispuesto en la LOSU; el TREBEP; la Ley 30/1984, de 2 de agosto, de Medidas para la Reforma de la Función Pública; la Ley 7/2005, de 24 de mayo, de la Función Pública de Castilla y León; los EEUVA; el Convenio colectivo; el Decreto 67/1999, de 15 de abril, por el que se aprueba el Reglamento General de Ingreso del Personal y de Provisión de puestos de trabajo de los Funcionarios al servicio de la Administración de la Comunidad de Castilla y León; así como lo dispuesto en las presentes bases. Igualmente, y con carácter supletorio, resultará de aplicación el Real Decreto 364/1995, de 10 de marzo, por el que se aprueba el Reglamento General de Ingreso del Personal al Servicio de la Administración General del Estado y de Provisión de Puestos de trabajo y Promoción Profesional de los Funcionarios civiles de la Administración General del Estado.

1.3 En el ámbito de este procedimiento el concepto de Administración Pública será el establecido en el artículo 2.1 del TREBEP.

1.4 Todas las publicaciones que se deriven de esta convocatoria cumplirán con lo establecido en la ley Orgánica 3/2018, de 5 de diciembre, de Protección de Datos Personales y garantía de los derechos digitales –en adelante, LOPDP–.

1.5 La categoría de las plazas convocadas se encuentra encuadrada según figura en el anexo I del actual Convenio colectivo, correspondiendo su clasificación al del grupo IV-B.

1.6 Las personas que obtengan los puestos de trabajo correspondientes a las plazas convocadas deberán cumplir las obligaciones inherentes al puesto de trabajo al que han accedido, con especial referencia al régimen de jornada y horario. La jornada de trabajo será la fijada con carácter general para la Universidad de Valladolid, y el horario en que ésta se desarrollará será el establecido en el Centro, Departamento o Servicio en el que se ubica cada puesto de trabajo, con sujeción a lo establecido en el Convenio colectivo y en la Relación de Puestos de Trabajo.

1.7 El desempeño de los puestos correspondientes a las plazas convocadas quedará sometido a la Ley 53/1984, de 26 de diciembre, de Incompatibilidades del Personal al Servicio de las Administraciones Públicas, y su normativa de desarrollo.

1.8 Con carácter previo a la realización de las pruebas, las personas aspirantes que no posean la nacionalidad española deberán acreditar el conocimiento del castellano mediante la realización de una prueba, en la que se comprobará que poseen el nivel adecuado de comprensión y expresión oral y escrita en esta lengua exigido para la obtención del Diploma de Español como Lengua Extranjera, nivel B2 o C2, establecido en el Real Decreto 1137/2002, de 31 de octubre, actualmente vigente, que regula los Diplomas de Español como Lengua Extranjera. La prueba se calificará de apto/a o no apto/a, siendo necesaria la valoración de apto/a para pasar a realizar los ejercicios del proceso selectivo.

Están eximidos/as de la realización de esta prueba quienes presenten con la solicitud copia electrónica del Diploma de Español como Lengua Extranjera, nivel B2 o C2, establecido por el Real Decreto 1137/2002, de 31 de octubre, actualmente vigente, o del Certificado de aptitud de español para extranjeros expedido por las Escuelas Oficiales de Idiomas o título de Licenciado en Filología Hispánica o Románica u otros títulos homologados, así como los/as aspirantes de nacionalidad distinta a la española en cuyos países sea el castellano lengua oficial o co-oficial, o que hayan obtenido en España un título universitario. Asimismo, estarán eximidas de realizar la citada prueba aquellas personas aspirantes que acrediten haber superado dicha prueba en los últimos cinco años al amparo de otras convocatorias para el ingreso en la Administración Pública.

2. Requisitos de las personas candidatas

Para ser admitidas al presente proceso selectivo, las personas aspirantes deberán poseer en el día de finalización del plazo de presentación de solicitudes y mantener hasta el momento de la toma de posesión como funcionario/a de carrera, los siguientes requisitos de participación:

2.1 Poseer una discapacidad intelectual con un grado de discapacidad reconocido igual o superior al 33 por ciento.

Los aspirantes deberán comunicar al Servicio de Gestión de Personal Técnico, de Gestión y de Administración y Servicios cualquier modificación que se produzca en su grado de discapacidad durante el desarrollo del proceso selectivo. La imposibilidad de acreditar la condición de discapacidad por pérdida de la misma durante el proceso selectivo supone la pérdida del requisito exigido para participar en esta convocatoria y la imposibilidad de adquirir en este proceso la condición de personal laboral fijo, quedando sin efecto las actuaciones realizadas.

El reconocimiento de una discapacidad con posterioridad a la finalización del plazo de presentación de solicitudes, aun cuando se hiciese con efectos retroactivos, no conllevará en ningún caso la admisión del aspirante.

2.2 Nacionalidad: Podrán participar quienes cumplan alguno de los siguientes requisitos:

a) Tener la nacionalidad española.

b) Los/as nacionales de los Estados Miembros de la Unión Europea.

c) El/la cónyuge de los/as españoles/as y de los/as nacionales de otros Estados miembros de la Unión Europea, cualquiera que sea su nacionalidad, siempre que no estén separados/as de derecho, y sus descendientes y los/as de su cónyuge siempre que no estén separados/as de derecho, sean menores de veintiún años o mayores de dicha edad dependientes.

d) Las personas incluidas en el ámbito de aplicación de los Tratados Internacionales celebrados por la Unión Europea y ratificados por España en los que sea de aplicación la libre circulación de trabajadores/as.

e) Las personas extranjeras que, no estando incluidas en los párrafos anteriores, se encuentren con residencia legal en España.

2.3 Edad: Tener cumplidos los dieciséis años y no exceder de la edad máxima de jubilación forzosa.

2.4 Titulación: Estar en posesión, o tener cumplidas las condiciones para obtenerlo en la fecha de finalización del plazo de presentación de solicitudes, de un nivel de formación equivalente a Educación Primaria, Certificado de escolaridad o acreditación de los años cursados y de las calificaciones obtenidas en la Educación Secundaria Obligatoria.

A efectos laborales se considerarán equivalente a las titulaciones anteriores las certificaciones o acreditaciones emitidas por los Centros de Educación Especial.

Los aspirantes con titulaciones obtenidas en el extranjero deberán acreditar que están en posesión de la correspondiente credencial de homologación o, en su caso, del correspondiente certificado de equivalencia. Este requisito no será de aplicación a los aspirantes que hubieran obtenido el reconocimiento de su cualificación profesional, en el ámbito de las profesiones reguladas, al amparo de las Disposiciones de Derecho Comunitario.

2.5 Capacidad: Poseer la capacidad funcional para el desempeño de las tareas propias de las plazas convocadas y no padecer enfermedad ni defecto físico que impida el ejercicio de éstas. Quienes tengan la condición de personas con discapacidad reconocida por el órgano competente deberán acreditar la compatibilidad de sus limitaciones en la actividad con las funciones de las plazas a las que aspiran.

2.6 Habilitación: No haber sido separado/a mediante expediente disciplinario del servicio de cualquiera de las Administraciones Públicas o de los órganos constitucionales o estatutarios de las Comunidades Autónomas, ni hallarse en inhabilitación absoluta o especial para empleos o cargos públicos por resolución judicial, para el acceso al cuerpo o escala de personal funcionario, o para ejercer funciones similares a las que desempeñaban en el caso del personal laboral, en el que hubiese sido dictada su separación o inhabilitación. En el caso de ser nacional de otro Estado, no hallarse inhabilitado/a o en situación equivalente ni haber sido sometido/a a sanción disciplinaria o equivalente que impida, en su Estado, en los mismos términos el acceso al empleo público.

2.7 No poseer la condición de personal laboral fijo de la Universidad de Valladolid con la misma categoría y especialidad de las plazas convocadas.

2.8 Las personas candidatas deberán poseer los requisitos exigidos en el día de finalización del plazo de presentación de solicitudes y mantenerlos hasta el momento de la formalización del contrato como trabajador/a laboral fijo.

3. Solicitud y plazo de presentación

3.1 La solicitud de participación se dirigirá al Sr. Rector de la Universidad de Valladolid, y podrá ser presentada en el plazo de veinte días hábiles contados a partir del día siguiente a aquel en que aparezca publicada la convocatoria en el «Boletín Oficial del Estado».

A estos efectos deberá tenerse en cuenta la Resolución Rectoral de la Universidad de Valladolid, que pueda declarar periodos inhábiles a efectos del cómputo de plazos para las convocatorias y resoluciones de los procesos selectivos y de provisión de puestos de trabajo del personal técnico, de gestión y de administración y servicios, convocadas por esta Universidad.

La presentación de la solicitud con incumplimiento de los requisitos de tiempo y forma supondrá la exclusión de la persona solicitante.

3.2 La solicitud estará disponible en la sede electrónica de la UVa (https://sede.uva.es) accediendo a ella según lo indicado en el siguiente apartado.

3.3 De conformidad con el artículo 2 del Reglamento del sistema de registro de la UVa, hecho público mediante Resolución del Rectorado de 28 de mayo de 2020 (BOCYL de 8 de junio), las solicitudes de participación serán registradas por el Registro Electrónico General de la UVa.

Obligatoriamente, la presentación de estas solicitudes se efectuará electrónicamente a través de la sede electrónica de la UVa (https://sede.uva.es), siguiendo los siguientes pasos:

1. Elegir la sección «Carpeta Ciudadana».

2. Desde esta sección elegir una de las cuatro formas de acceso para llegar a la solicitud:

– Certificado digital o DNI electrónico.

– Certificado de empleado público.

– Sistema cl@ve.

– Usuario y contraseña de la UVa (solo miembros de la comunidad universitaria).

– RUS (Registro Unificado de Solicitantes).

Además, para firmar electrónicamente, se deberá tener instalada la aplicación «Autofirma».

3. Una vez se haya accedido, se continuará pulsando en «Iniciar Trámite».

4. Iniciar el procedimiento pulsando en «Pruebas selectivas de personal técnico de gestión y de administración y servicios funcionario y laboral».

Una vez iniciado un expediente de solicitud por cualesquiera de los medios indicados anteriormente sin haber finalizado su tramitación, podrá continuar en él accediendo a la Sede Electrónica de la Universidad de Valladolid-Carpeta ciudadana-Trámites pendientes.

Este procedimiento conlleva el registro electrónico de la solicitud, y además le permite:

– Cumplimentar en línea el modelo oficial de solicitud.

– Anexar la documentación requerida a la solicitud.

3.4 Deberán tenerse en cuenta las siguientes instrucciones generales para la cumplimentación de la solicitud:

1. Convocatoria.

– Discapacidad: marcar la casilla correspondiente.

– En caso de solicitar adaptación, indicarla en el campo siguiente.

– Título académico del aspirante: señale la titulación o acreditación que posee y que es necesaria para acceder a la categoría laboral de las plazas que se convocan.

– Datos a consignar según la convocatoria.

– Recuadro A: Indicar Comunidad Autónoma responsable del reconocimiento de la discapacidad intelectual.

4. Casilla de «Observaciones».

– En la casilla «Observaciones», las personas con discapacidad reconocida, deberán indicar el organismo y provincia correspondiente que le otorga la acreditación de su condición de persona con discapacidad, de conformidad con la normativa vigente.

3.5 El Servicio de Gestión de Personal Técnico, de Gestión y de Administración y Servicios solicitará la verificación de la condición de discapacidad intelectual de los aspirantes presentados al proceso selectivo, así como del requisito de capacidad que acredite la compatibilidad funcional para el desempeño de las funciones de las plazas a las que aspiran, dirigiéndose para ello a los órganos competentes en materia de servicios sociales a fin de que emitan el correspondiente dictamen. A tal efecto, cuando la persona aspirante marca en su solicitud la casilla de «Discapacidad», da su autorización para recabar el referido dictamen de su aptitud funcional.

3.6 Los errores de hecho que pudieran advertirse podrán subsanarse en cualquier momento, de oficio o a petición del/de la interesado/a.

3.7 Las personas aspirantes quedan vinculadas a los datos que hayan hecho constar en sus solicitudes, pudiendo únicamente demandar su modificación mediante escrito motivado, dentro del plazo establecido en la base 3.1 para la presentación de solicitudes. Transcurrido dicho plazo, no se admitirá ninguna petición de esta naturaleza.

3.8 De la presentación de las solicitudes de participación en el presente proceso de selección que efectúen los aspirantes, se deducirá que estos reúnen los requisitos de participación establecidos en la base 2. Al final del proceso, las personas aspirantes seleccionadas aportarán la documentación acreditativa de estos requisitos, tal y como se señala en la base 10.

3.9 Aquellas personas aspirantes que deseen pertenecer a la Bolsa de Empleo para la selección de personal con carácter temporal, a fin de cubrir aquellas ofertas de trabajo destinadas a personas con discapacidad intelectual, con tareas relacionadas con las funciones de las plazas que se convocan de la categoría laboral de Auxiliar de Servicios y que, en su caso puedan ser incluidas en ellas una vez finalizado el proceso selectivo, deberán hacer constar expresamente en los recuadros de la solicitud habilitados para ello los Campus universitarios a los que se opta, correspondientes a los destinos de los puestos de trabajo que con carácter temporal pudiesen serles ofertados. En el caso de no cumplimentar estas casillas se entenderá que la persona aspirante opta a la Bolsa de Empleo de todos los Campus. Estas bolsas se constituirán y tendrán efectos de conformidad con la regulación vigente que establezca el Reglamento de Creación y Gestión de Bolsas de Empleo para la contratación de personal laboral temporal de determinados grupos, categorías y especialidades de la Universidad de Valladolid.

Códigos a cumplimentar en la solicitud, correspondientes a los campus de las ofertas de empleo a las que se opta:

Campus Código
Valladolid. VA
Palencia. PA
Segovia. SG
Soria. SO
No pertenecer a la Bolsa de Empleo. NB

La relación de personas aspirantes incluidas en la correspondiente Bolsa de Empleo se hará pública una vez finalizado el proceso selectivo. Las personas aspirantes figurarán relacionadas por orden de prelación, identificadas según lo previsto por la LOPDP y con la referencia de los campus seleccionados que son de su interés.

3.10 A la solicitud se acompañará la siguiente documentación:

a) Las personas aspirantes extranjeras a que hace referencia la base 2.2, en sus apartados c), d) y e), deberán presentar declaración jurada o promesa con el siguiente contenido:

– Las personas referidas en el apartado c), declaración del vínculo de parentesco y, en su caso, dependencia. Asimismo, en el supuesto de aquellas personas aspirantes que participen por su condición de cónyuge, deberán presentar declaración jurada o promesa de éste de que no está separada de derecho de su cónyuge y, en su caso, del hecho de que la persona aspirante vive a sus expensas o está a su cargo.

– Las personas referidas en el apartado d), declaración de poseer el derecho de libre circulación de trabajadores en virtud de aplicación del correspondiente Tratado Internacional celebrados por la Unión Europea y ratificado por España (indicándose la fecha de su publicación en el diario oficial de la Unión Europea –DOUE–).

– Las personas referidas en el apartado c), declaración de poseer la residencia legal en España, indicando la fecha de expedición del permiso y fecha de validez del mismo.

Una vez finalizado el proceso selectivo, el contenido de esta declaración deberá ser acreditada mediante los correspondientes documentos oficiales, bajo copia auténtica, conforme con lo establecido en la base 10.1.

b) Sin perjuicio de la documentación que se presente conforme a lo establecido en la base 10.1.e), las personas aspirantes podrán presentar copia de la acreditación de personas con discapacidad intelectual, a los efectos de facilitar la tramitación de su solicitud y, en su caso, de las posibles adaptaciones a tener en cuenta.

c) A fin de cumplir con el requisito de titulación, se deberá anexar mediante el correspondiente documento oficial aquellas acreditaciones que sean distintas a la posesión de un título académico oficial.

3.11 Para el caso de presentación de subsanaciones o mejora de la solicitud, dentro del plazo establecido en la base 3.1, deberá formalizarse mediante modelo de «Solicitud General» accesible desde la sede electrónica de la UVa (https://sede.uva.es, sección «Registro electrónico»).

4. Admisión de Aspirantes

4.1 Finalizado el plazo de presentación de instancias, en el plazo máximo de tres meses, el Sr. Rector de la Universidad dictará resolución en virtud de la cual se declararán aprobadas las listas provisionales de personas aspirantes admitidas y excluidas al proceso selectivo. En esta resolución, que será publicada en el BOCYL, figurarán las personas aspirantes excluidas con indicación expresa de la causa de exclusión. Las listas certificadas completas de las personas aspirantes admitidas y excluidas serán publicadas en el Tablón Electrónico de Anuncios de la Sede Electrónica de la Universidad de Valladolid. En todo caso, al objeto de evitar errores y, en el supuesto de producirse, de posibilitar su subsanación en tiempo y forma, las personas aspirantes deberán comprobar fehacientemente no sólo que no figuran recogidas en la relación de excluidos/as sino, además, que sus nombres figuran en la pertinente relación de admitidos/as.

4.2 Las personas aspirantes excluidas dispondrán de un plazo de quince días hábiles, contados a partir del siguiente al de la publicación de la mencionada resolución en el BOCYL, para poder subsanar el defecto que haya motivado la exclusión o su omisión de las relaciones de admitidos/as y excluidos/as. Las personas aspirantes que, dentro del plazo señalado, no subsanen la exclusión o aleguen la omisión, justificando su derecho a ser incluidas en la relación de admitidos/as, serán definitivamente excluidas del proceso selectivo.

La presentación de estas solicitudes de subsanación se efectuará del modo previsto en la base 3.3, teniéndose en cuenta que habrá de cumplimentarse el modelo de «Solicitud General» accesible desde la sede electrónica de la UVa (https://sede.uva.es, sección «Registro electrónico»).

4.3 Finalizado el plazo para la presentación de las solicitudes de subsanación, el Sr. Rector dictará resolución que eleve a definitivas las listas de personas aspirantes admitidas y excluidas. En dicha resolución figurará la fecha y lugar de celebración del ejercicio del proceso selectivo. Este acto pondrá fin a la vía administrativa y, consiguientemente, las personas aspirantes definitivamente excluidas podrán interponer demanda ante los Juzgados de lo Social de Valladolid en el plazo de dos meses contados desde el día siguiente a la publicación en el BOCYL de la citada resolución.

4.4 En las listas de personas aspirantes admitidas y excluidas, a las que se hace mención en la presente base, figurarán las personas aspirantes identificadas según lo previsto por la LOPDP. En el caso de las personas aspirantes excluidas, además, se indicará la causa o motivo de exclusión.

4.5 En todo caso, tanto las resoluciones que se dicten relativas a este proceso selectivo, así como los acuerdos del Tribunal, de conformidad con el Reglamento de la Universidad de Valladolid por el que se implantan los medios electrónicos que facilitan el acceso de los ciudadanos/as a los servicios públicos de la Universidad y se crean la Sede Electrónica y el Registro Electrónico en la Universidad de Valladolid, se publicarán en el Tablón Electrónico de Anuncios de la Sede Electrónica de la Universidad de Valladolid (Tablón de anuncios/PTGAS). No obstante, cuando estas resoluciones sean publicadas en el BOCYL, tendrán efectividad en función de la publicación en este medio.

Asimismo, a efectos informativos y, con el objeto de ampliar la difusión del presente proceso selectivo, la convocatoria, las resoluciones por las que se aprueban las listas de personas admitidas y excluidas, los acuerdos públicos del Tribunal y las resoluciones de los distintos órganos de la Universidad en relación con el proceso selectivo, se incluirán dentro de la página Web de la Universidad de Valladolid: www.uva.es (en sección «LA UVA», «Empleo (Trabaja en la UVa)»).

5. Procedimiento de selección

El sistema de selección de las personas aspirantes será el de concurso-oposición.

La fase de oposición y la fase de concurso se valorarán con un máximo de 80 y 20 puntos, respectivamente.

5.1 Fase de oposición: consistirá en la realización de dos ejercicios (primero y segundo) de carácter eliminatorio, de tal modo que la no superación de cada uno de ellos supondrá para las personas aspirantes la imposibilidad de continuar en el proceso selectivo. La puntuación final vendrá determinada por la suma de las puntuaciones obtenidas por las personas aspirantes que han superado cada uno de los ejercicios. Las características de estos ejercicios y su valoración están reflejadas en el anexo I de la presente resolución.

En el anexo II de esta convocatoria se establece el programa con los contenidos temáticos que serán objeto de las pruebas que se desarrollen en esta fase. Para facilitar su preparación, los aspirantes dispondrán del desarrollo de estos contenidos en la página Web de la Universidad de Valladolid: www.uva.es [en sección «LA UVA», «Empleo (Trabaja en la UVa)»].

5.2 Fase de concurso:

5.2.1 Finalizada la fase de oposición tendrá lugar la fase de concurso. Tan solo participarán en esta Fase aquellos aspirantes que hayan superado la fase de oposición. En ningún caso, los puntos obtenidos en esta fase podrán ser computados para superar la prueba que se haya realizado en la fase de oposición. La valoración de los méritos a esta fase que figuran en el anexo I de la presente convocatoria, no podrá superar el 20 % de la puntuación máxima total del concurso-oposición.

5.2.2 Para que el Tribunal pueda valorar estos méritos, salvo en los supuestos establecidos en la Ley 39/2015, de 1 de octubre, del Procedimiento Administrativo Común de las Administraciones Públicas, en adelante –LPACAP–, será requisito necesario e imprescindible que los aspirantes aporten justificación documental acreditativa de todos y cada uno de estos méritos, salvo aquellos que obren en poder de la UVa, los cuales deberán ser, en todo caso, alegados por el aspirante.

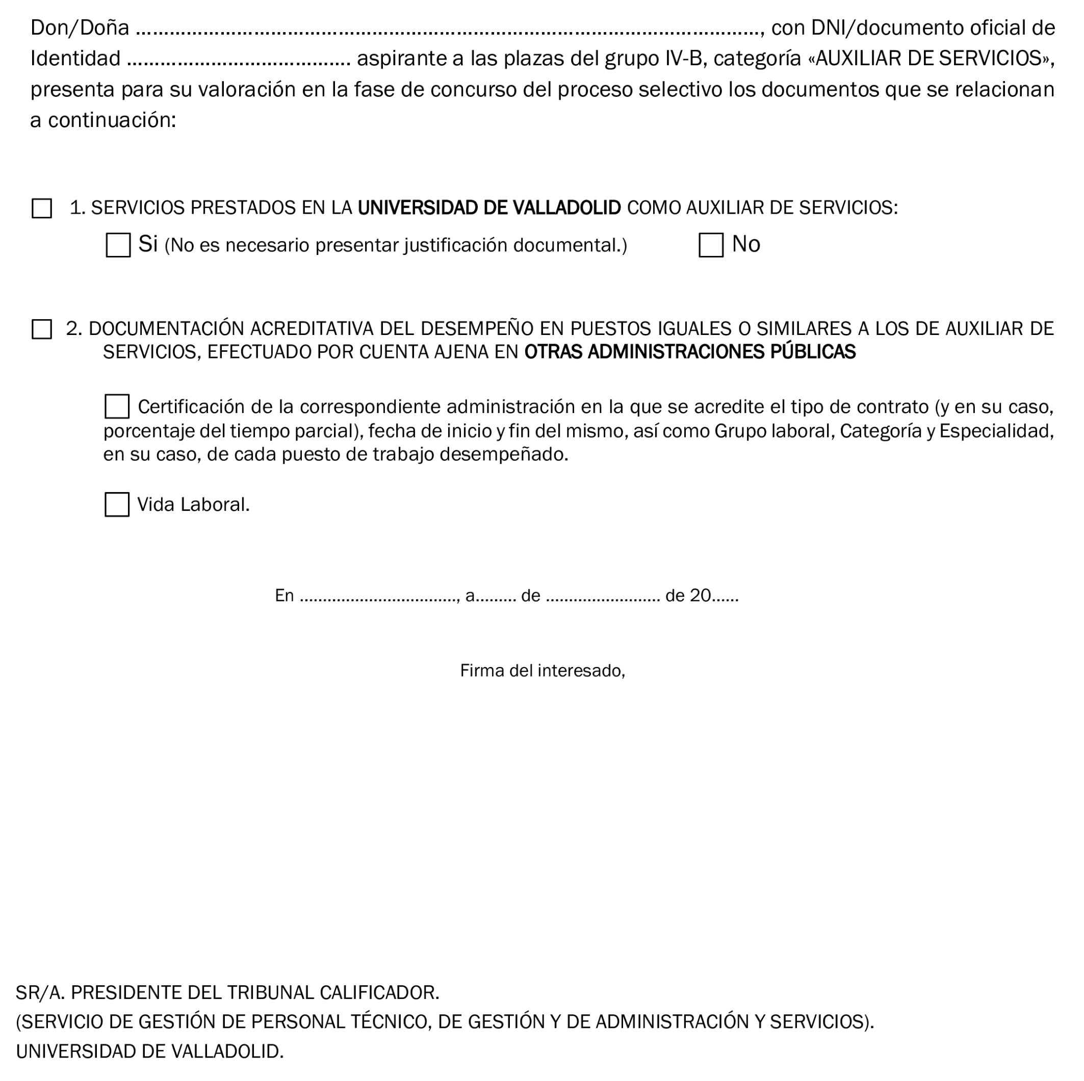
Su presentación tendrá lugar en las oficinas de asistencia en materia de registro de la UVa o en los lugares establecidos en el artículo 16,4 de la LPACAP. Estos documentos justificativos deberán ser aportados en el plazo improrrogable de diez días hábiles contados a partir del siguiente al de la publicación de la lista de aprobados de la fase de oposición a que hace referencia la base 9.2 y se adjuntarán precedidos de la carátula que aparece como anexo IV de esta convocatoria y que sirve como identificativo de la documentación que cada aspirante entrega.

5.2.3 La posesión de los méritos alegados se justificará con aquellos documentos que estén establecidos oficialmente a tal fin (certificaciones, títulos, diplomas, etc.).

A estos efectos, de conformidad en el artículo 28.5 de la LPACAP, y en aras a una mayor garantía del procedimiento en esta fase de concurso, para los méritos que no hayan de ser acreditados con documentos originales, la documentación justificativa deberá ser aportada mediante copia cotejada con el original o copia auténtica electrónica.

Experiencia profesional:

1. Para los servicios prestados en la Universidad de Valladolid será suficiente alegar esta circunstancia en el anexo IV, no siendo necesario presentar justificación documental. Asimismo, deberá alegarse en este anexo los servicios prestados en otras administraciones públicas, acreditándose mediante Certificación de la Unidad de Personal correspondiente, en el que se indicarán los extremos referentes a tipo de contrato (y en su caso, porcentaje del tiempo parcial), fecha de inicio y fin de cada uno de ellos, así como el grupo laboral y las categorías profesionales de los puestos desempeñados.

Asimismo, deberá presentarse vida «Informe de vida laboral» expedido por la Tesorería General de la Seguridad Social en el que se acrediten los períodos de cotización y el grupo de cotización.

5.2.4 Aquellos aspirantes que en el plazo antes citado de diez días hábiles no presenten los documentos acreditativos no podrán ser objeto de valoración alguna en la fase de concurso.

5.2.5 Para la valoración de los méritos alegados, el Tribunal tomará para su cómputo como fecha límite la de finalización del plazo de presentación de las solicitudes de participación en el presente proceso de selección. El Órgano Calificador hará público en el Acuerdo por el que declare aprobados a los aspirantes que superen la fase de oposición, los criterios para la aplicación del baremo de valoración de los méritos en la fase de concurso.

5.3 Criterios generales de discriminación positiva:

Si alguna de las aspirantes no pudiera completar el proceso selectivo a causa de embarazo de riesgo o parto debidamente acreditados, su situación quedará condicionada a la finalización del mismo y a la superación de los ejercicios que hubieran quedado aplazados, no pudiendo demorarse éstos de manera que se menoscabe el derecho del resto de las personas aspirantes a una resolución del proceso ajustada a tiempos razonables, lo que deberá ser valorado por el órgano de selección, y en todo caso la realización de los mismos tendrá lugar antes de la publicación de la lista de personas aspirantes que han superado el proceso selectivo.

6. Hojas de respuestas y corrección

En los impresos para la realización de pruebas escritas del proceso selectivo que no hayan de ser leídos ante Tribunales, sino corregidos directamente por éstos, no podrá constar ningún dato de identificación personal de las personas aspirantes en la parte de la hoja normalizada de examen que haya de ser corregida por los mismos. En el caso de advertirse algún dato identificativo durante el proceso de corrección de los ejercicios, quedará invalidado el ejercicio realizado por la persona aspirante.

7. Tribunales calificadores

7.1 El Tribunal Calificador de las presentes pruebas selectivas estará formado por los miembros que figuran en el anexo III de estas bases y los mismos son nombrados en virtud de lo dispuesto en el artículo 194.1 y 4 de los EEUVA en relación con el artículo 19 del Convenio colectivo y con sujeción a lo establecido en el artículo 60 del TREBEP.

7.2 En caso de empate, el voto del/de la Presidente/a tendrá carácter dirimente. El Sr. Rector, a propuesta del Tribunal efectuada por su Presidente/a, podrá designar, en su caso, asesores/as especialistas. Dichos/as asesores/as se limitarán a informar respecto de las pruebas. Igualmente, y cuando así lo aconsejen las circunstancias del proceso selectivo, podrá ser nombrado personal colaborador para el desarrollo de las pruebas que actuará bajo la dirección del Tribunal Calificador.

7.3 El Tribunal podrá contar en la confección de las pruebas con la colaboración de empresas especializadas o Técnicos/as cualificados/as, cuando por razón del número de personas aspirantes presentadas a las pruebas o por otras circunstancias resulte aconsejable.

7.4 De conformidad con el artículo 14.d) del TREBEP los miembros del Tribunal y, en su caso, el personal colaborador o los/as asesores/as especialistas, tendrán derecho a la percepción de las indemnizaciones por razón del servicio. Los importes por asistencias serán los regulados por las normas de ejecución presupuestaria del Presupuesto de la Universidad de Valladolid para el ejercicio económico 2025, hecho público por Resolución del Rectorado de 18 de diciembre de 2024 (BOCyL de 26 de diciembre). A estos efectos, y conforme con las citadas normas, el tribunal encargado de juzgar el proceso selectivo pertenecerá a la categoría 2.ª

7.5 Los miembros del Tribunal deberán abstenerse de intervenir, notificándolo al Sr. Rector de la Universidad de Valladolid, cuando concurra en ellos alguna de las circunstancias previstas en el artículo 23 de la Ley 40/2015, de 1 de octubre, de Régimen Jurídico del Sector Público, o si hubieren realizado tareas de preparación de aspirantes a pruebas selectivas de acceso, relacionadas con la categoría de referencia, en los cinco años anteriores a la publicación de esta convocatoria. El/la Presidente/a solicitará de los miembros del Tribunal declaración expresa de no hallarse incursos en las circunstancias de abstención o recusación, así como de no haber realizado tareas de preparación de aspirantes en los cinco años anteriores.

Asimismo, las personas aspirantes podrán recusar a los miembros del Tribunal cuando concurra alguna de las circunstancias previstas en el párrafo anterior.

7.6 El Tribunal se constituirá previa convocatoria efectuada por el/la presidente/a los miembros titulares y, en caso de ausencia, suplentes.

7.7 A partir de su constitución, el Tribunal, para actuar válidamente, requerirá la presencia de la mitad, al menos, de sus miembros, titulares o suplentes y, en todo caso, la del Secretario/a y Presidente/a (titulares o suplentes).

7.8 El Tribunal titular y el Tribunal suplente podrán actuar de forma conjunta si las circunstancias lo requieran, debido al número de opositores/as o a la extensión o tipo de las pruebas.

7.9 En relación con las personas que mediante la instancia de participación soliciten alguna adaptación para la realización de la prueba, el Tribunal realizará las adaptaciones posibles en tiempo y medios que sean consideradas necesarias. A tal efecto, se podrá requerir informe y, en su caso, colaboración de los órganos técnicos de los órganos competentes en materia de Servicios Sociales.

Si en cualquier momento del presente proceso selectivo, se suscitaran dudas respecto de la capacidad de una persona aspirante con necesidad de adaptación para el desempeño de las actividades atribuidas a la categoría laboral objeto de esta convocatoria, el Tribunal Calificador podrá recabar el correspondiente dictamen de los órganos competentes. En este supuesto, hasta tanto no se emita el dictamen, la persona aspirante podrá participar condicionalmente en el proceso selectivo, quedando en suspenso la resolución definitiva sobre la admisión o exclusión del proceso, hasta la recepción del dictamen.

7.10 A efectos de comunicaciones y demás incidencias, el Tribunal tendrá su sede en la Gerencia de la Universidad de Valladolid (Casa del Estudiante, calle Real de Burgos, s/n, 47011-Valladolid, Tlf. 983-184708, correo electrónico: consultaspas@uva.es). El Tribunal dispondrá que en esa sede, al menos una persona, miembro o no del Tribunal, atienda cuantas cuestiones sean planteadas en relación con estas pruebas selectivas.

7.11 El Tribunal no podrá proponer para su contratación como personal laboral fijo un número superior de aprobados/as al de plazas convocadas.

7.12 Durante todo el proceso selectivo, el Tribunal resolverá las dudas que pudieran surgir en la aplicación de estas normas, así como la actuación que proceda en los casos no previstos. En todo momento, su actuación se ajustará a lo dispuesto en la Ley 39/2015, de 1 de octubre, del Procedimiento Administrativo Común de las Administraciones Públicas –en adelante, LPACAP–, y la Ley 40/2015, de 1 de octubre, de Régimen Jurídico del Sector Público.

7.13 Contra las resoluciones y actos de trámite del Tribunal que decidan directa o indirectamente el fondo del asunto, determinen la imposibilidad de continuar el procedimiento, produzcan indefensión o perjuicio irreparable a derechos e intereses legítimos, las personas interesadas podrán interponer recurso de alzada ante el Rectorado de la Universidad en el plazo de un mes desde el día siguiente a su notificación o, en su caso, publicación, de acuerdo con lo establecido en la LPACAP.

7.14 El Tribunal, de acuerdo con el artículo 14 de la Constitución Española, velará por el estricto cumplimiento del principio de igualdad de oportunidades entre ambos sexos.

7.15 En cualquier momento del proceso selectivo, si el Tribunal tuviere conocimiento de que alguna de las personas aspirantes no posee la totalidad de los requisitos de participación exigidos en la presente convocatoria, previa audiencia, propondrá su exclusión al Sr. Rector dando traslado, asimismo, de las inexactitudes o falsedades formuladas por la persona aspirante en la solicitud de admisión a las pruebas selectivas a los efectos procedentes.

La resolución de exclusión de la persona aspirante, que en su caso proceda, pondrá fin a la vía administrativa, y, consiguientemente, la persona interesada podrá formular demanda ante los Juzgados de lo Social de Valladolid, en el plazo de dos meses a contar desde el día siguiente a la publicación de la citada resolución.

8. Calendario y Desarrollo de los ejercicios

8.1 El orden de actuación de las personas aspirantes se iniciará por el primero cuyo apellido comience por la letra «T», y se continuará sucesivamente por orden alfabético, de conformidad con lo establecido en la Resolución de 3 de marzo de 2025, de la Viceconsejería de Administraciones Públicas y Atención al Ciudadano, por la que se hace público el resultado del sorteo para determinar el orden de actuación de las personas aspirantes en los procesos selectivos de la Administración de la Comunidad de Castilla y León y de sus Organismos Autónomos (BOCYL de 11).

8.2 En cualquier momento las personas aspirantes podrán ser requeridas por los miembros del Tribunal para que acrediten su personalidad.

8.3 Las personas aspirantes serán convocadas para la realización de cada uno de los ejercicios en un único llamamiento, debiendo ir provistas del DNI o acreditación equivalente, siendo excluidas de la Oposición quienes no comparezcan.

8.4 La convocatoria para la realización del primer ejercicio de la fase de oposición será publicada en el BOCYL, en la misma resolución por la que se elevan a definitivas las listas provisionales de personas aspirantes admitidas y excluidas a la que se refiere la base 4.3, donde figurará el lugar, fecha y hora de su celebración. Desde la total conclusión de un ejercicio hasta el comienzo del siguiente deberá transcurrir un plazo mínimo de setenta y dos horas y máximo de cuarenta y cinco días naturales.

8.5 Los anuncios de celebración de los siguientes ejercicios de la fase de oposición no serán objeto de publicación en el BOCYL y se efectuarán, cada uno de ellos, a través del correspondiente Acuerdo del Tribunal al hacer pública la relación de aprobados/as del ejercicio anterior, con un plazo mínimo de setenta y dos horas al inicio de los mismos. La publicación se efectuará en los lugares señalados en la base 4.4 y por cualesquiera otros medios, si se juzga conveniente para facilitar su máxima divulgación.

Las fechas de celebración de alguno de los ejercicios pueden coincidir con las fechas de celebración de ejercicios de otros procesos selectivos.

8.6 Las personas aspirantes dispondrán de un plazo de tres días hábiles, desde el siguiente a la publicación de las soluciones a las preguntas del primer ejercicio de la fase de oposición, para presentar reclamaciones contra su contenido. Dichas reclamaciones deberán dirigirse, debidamente documentadas, a la sede del Tribunal.

Examinadas las posibles reclamaciones, el Tribunal iniciará el proceso de corrección. Asimismo, el Tribunal indicará, en su caso, en la correspondiente relación de aprobados que se indican en la base 9.1, las preguntas o contenidos anulados o modificados en base a las reclamaciones planteadas.

La publicación referida en el párrafo anterior se efectuará en los lugares establecidos en la base 4.5.

La presentación de estas solicitudes de reclamación se efectuará a través de la sede electrónica de la UVa (https://sede.uva.es, sección «Registro electrónico»), mediante el modelo de «Solicitud General».

8.7 El procedimiento selectivo deberá resolverse en el plazo máximo de ocho meses a partir del día siguiente de la fecha de publicación la presente resolución en el BOE. Los solicitantes podrán entender desestimadas sus peticiones transcurrido el tiempo máximo establecido sin que recaiga resolución expresa.

9. Listas de aprobados y valoración final

9.1 La relación de aspirantes que hayan superado el primer y segundo ejercicio de la fase de oposición se hará pública mediante Acuerdo del Tribunal en los lugares señalados en la base 4.4. Las personas aspirantes que no se hallen incluidas en la relación correspondiente tendrán la consideración de no aptas a todos los efectos, siendo eliminadas del proceso selectivo.

9.2 Finalizada la fase de oposición, el Tribunal hará pública en los lugares señalados en la base 4.4, el Acuerdo con la lista de los aspirantes que han superado esta fase, por el orden de puntuación total obtenida en la misma (suma de los diferentes ejercicios). En este Acuerdo, de conformidad con la base 5.2.2, se recordará a las personas aspirantes que hayan superado esta fase que, en el plazo improrrogable de diez días que, en el plazo improrrogable de diez días hábiles, deberán presentar en la forma prevista en la base 3.4 los documentos acreditativos de los méritos que presenten para su valoración por parte del Tribunal, precedidos por la carátula, debidamente cumplimentada, que figura como anexo IV a esta resolución.

9.3 Igualmente, una vez finalizada la fase de concurso, el Tribunal hará pública en los lugares indicados en la base 4.4, la relación con la valoración provisional de méritos obtenida en esta fase por los aspirantes que superaron la fase de oposición, con indicación expresa de la calificación total y la obtenida en cada uno de los méritos objeto de valoración. Las personas aspirantes dispondrán de un plazo de tres días hábiles a partir del siguiente al de la publicación de dicha relación, para efectuar las alegaciones pertinentes, sin perjuicio de los recursos administrativos que procedan contra la valoración definitiva. Finalizado dicho plazo el Órgano de Selección publicará la relación con la valoración definitiva de la fase de concurso.

La presentación de estas alegaciones se efectuará a través de la sede electrónica de la UVa (https://sede.uva.es, sección «Registro electrónico»), mediante el modelo de «Solicitud General».

9.4 El Tribunal hará pública en los lugares señalados en la base 4.4 una única lista con las personas aspirantes que han superado el proceso selectivo para el acceso a las plazas convocadas de la categoría de Auxiliar de Servicios. En esta lista, las personas aspirantes aparecerán ordenados por la puntuación total obtenida en el proceso selectivo (fase de oposición más fase de concurso) y, asimismo, figurarán las puntuaciones totales obtenidas en cada fase. En esta lista no podrá figurar un número mayor de personas que el de plazas ofertadas, siendo de aplicación lo previsto en la base 7.11.

La motivación de la mencionada lista con las personas aspirantes que han superado el proceso selectivo, en cuanto acto administrativo emanado de la discrecionalidad técnica del Tribunal, y que pone fin al proceso selectivo, estará referida al cumplimiento de las normas reglamentarias y de las bases de la convocatoria.

9.5 En caso de igualdad en la puntuación total, una vez sumadas la fase de concurso y Oposición, se dará prioridad al aspirante que mayor puntuación hubiera obtenido en el primer ejercicio de la fase de oposición y así, en el caso de que persista el empate, sucesivamente por número de orden ascendente de ejercicio. Si tras aplicar este criterio no se hubiera dirimido el empate, se dará prioridad a aquel aspirante con mayor puntuación en el mérito de la fase de concurso que aparece enunciado en primer lugar (anexo I), y así sucesivamente de persistir la igualdad. Agotadas todas estas reglas, el empate se resolverá, finalmente, mediante la realización de una nueva prueba objetiva de características análogas a la del primer ejercicio y sobre las mismas materias, en la que habrán de participar los aspirantes entre los que existan empates.

9.6 Finalmente, el Presidente del Tribunal elevará al Sr. Rector la correspondiente propuesta de contratación como personal laboral fijo a favor de las personas aspirantes que hayan superado el proceso selectivo. El Rectorado hará pública en el BOCyL estas relaciones de aspirantes aprobados con el orden obtenido en el proceso selectivo.

9.7 En todas estas listas de aspirantes aprobados/as a las que se hace mención en la presente base, figurarán las personas aspirantes identificadas según lo previsto en la LOPDP.

10. Presentación de documentos y formalización de los contratos laborales

10.1 Las personas aspirantes que superen el proceso selectivo, para su contratación como personal laboral fijo, presentarán en las oficinas de asistencia en materia de registro de la UVa o en los lugares establecidos en el artículo 16.4 de la LPACAP, dentro de los veinte días hábiles desde el siguiente al que se haga pública en el BOCYL, la resolución a que hace referencia la base 9.6 de la presente convocatoria, copia auténtica de los siguientes documentos, salvo que estos ya se encuentren en poder de la UVa:

a) DNI de la persona aspirante o documento que acredite la nacionalidad. Están exentos/as los/as españoles/as y los/as nacionales de los Estados miembros de la Unión Europea que autoricen en su solicitud la comprobación de los datos de identificación personal en el sistema de verificación de datos de identidad. Para los/as nacionales de otros Estados que, de conformidad con la base 2.1.1, puedan acceder a las plazas convocadas, deberán aportar original o copia auténtica que acredite el contenido de la declaración jurada o promesa que presentaron con su instancia de participación según se señalaba en la base 3.11.

b) Titulación: para el caso de no haber autorizado en la instancia de participación la consulta de sus datos con otras administraciones y para aquellos casos en los que se haya de acreditar el requisito de titulación mediante un documento distinto a un título oficial, se deberá presentar copia auténtica del documento acreditativo, título académico o certificación del pago de los derechos de expedición del título, según el caso. En el caso de presentar certificado oficial de estudios obligatorios, este deberá ajustarse al modelo recogido en la Orden del Ministerio de Educación, Cultura y Deporte ECD/2000/2012, de 13 de septiembre. Asimismo, y, en el caso de titulaciones obtenidas en el extranjero, se deberá aportar la documentación que acredite su homologación o reconocimiento de su cualificación profesional, en el ámbito de las profesiones reguladas, al amparo de las disposiciones de Derecho Comunitario.

c) Declaración jurada o promesa de no hallarse en ninguna de las circunstancias establecidas en la base 2.6, según modelo que figura como anexo V a la presente resolución.

d) Certificado acreditativo de no padecer enfermedad que le imposibilite el ejercicio de las funciones como empleado público. Este certificado habrá de ser expedido por el Facultativo de Medicina General que oficialmente corresponda al interesado. En caso de que no esté acogido a ningún régimen de la Seguridad Social, será expedido por los Servicios Provinciales del Ministerio u organismos correspondientes de las comunidades autónomas.

e) Certificación de los órganos competentes en materia de servicios sociales, que acredite la condición de personas con discapacidad intelectual y su compatibilidad para el desempeño de las tareas y funciones de las plazas a las que han sido seleccionados.

La presentación de esta documentación tendrá lugar mediante escrito dirigido al Sr. Rector de la Universidad de Valladolid, al que habrá de adjuntarse la documentación correspondiente referida anteriormente justificativa del cumplimiento de los requisitos para su contratación como personal laboral fijo mediante copia auténtica de la misma.

10.2 Quienes, dentro del plazo fijado, y salvo los casos de fuerza mayor, no presentasen la documentación o del examen de la misma se dedujera que carecen de alguno de los requisitos señalados en la base 2, no podrán ser contratados, sin perjuicio de la responsabilidad en que hubieren incurrido por falsedad en la solicitud inicial.

10.3 La adjudicación de destinos se realizará por el orden de puntuación obtenida en la lista señalada en la base 9.6 y a la vista de las peticiones efectuadas por las personas aspirantes. Esta petición de destinos será realizada por los aspirantes aprobados previa oferta de plazas vacantes por la Gerencia de la Universidad.

10.4 Una vez cumplidos los requisitos establecidos en la presente base y efectuada la elección de destino por parte de las personas aspirantes, el Rectorado de la Universidad de Valladolid dictará resolución, vista la propuesta del Tribunal, en virtud de la cual se adjudican a las personas aspirantes aprobadas las plazas convocadas con indicación expresa de sus correspondientes destinos. Esta resolución será objeto de publicación en los lugares indicados en la base 4.4.

10.5 En la resolución mencionada en el apartado anterior, se establecerá para cada aspirante la fecha de incorporación al puesto de trabajo obtenido. A estos efectos, y con anterioridad a la fecha de incorporación fijada, los aspirantes se personarán en el Servicio de Gestión de Personal Técnico, de Gestión y de Administración y Servicios de esta Universidad (Edificio de la Casa del Estudiante, calle Real de Burgos, s/n, Valladolid) a fin de formalizar los correspondientes contratos laborales. Una vez formalizado el contrato de trabajo y hecha efectiva la incorporación al puesto de trabajo en la fecha fijada, tendrá lugar el inicio de la percepción económica.

La persona aspirante aprobada que sin causa justificada no formalice el contrato de trabajo o el que, habiendo firmado el contrato, no se incorpore al puesto de trabajo asignado en la fecha establecida para ello, se entenderá que renuncia a la condición de trabajador fijo de la categoría obtenida, causando baja en ésta, excepto que en la formalización del contrato solicite la declaración de excedencia voluntaria por cuidado de hijo o familiar, la excedencia voluntaria por incompatibilidad o la excedencia forzosa.

10.6 Sin perjuicio de lo anterior, en previsión de los casos de renuncia de la persona candidata propuesta o cualquier otra causa que impida definitivamente su contratación como personal laboral fijo, previa comunicación del Rectorado en este sentido, el Tribunal elevará nueva propuesta de selección, cuando así proceda, a favor de la siguiente persona aspirante en el orden de puntuación del proceso selectivo.

10.7 Tras la incorporación, el trabajador deberá realizar un período de prueba de 1 mes, de conformidad con el artículo 17 del convenio colectivo.

Superado satisfactoriamente el período de prueba, las personas interesadas adquirirán la condición de personal laboral fijo. No será exigible el período de prueba cuando la persona trabajadora ya haya desempeñado las mismas funciones en la Universidad de Valladolid por un período igual o superior al establecido bajo cualquier modalidad contractual.

10.8 Durante el período de prueba, las personas aspirantes contratadas recibirán la formación necesaria que facilite su integración en el puesto de trabajo.

10.9 Todos los documentos que no estén redactados en lengua castellana, deberán acompañarse, necesariamente, de la correspondiente traducción oficial que podrá realizarse en cualquiera de los siguientes organismos:

a) En la representación diplomática o consular de España en el extranjero.

b) En la representación diplomática o consular del país del que proceden los documentos en España.

c) Por traductor jurado debidamente inscrito y autorizado en España.

11. Norma final

11.1 Las personas aspirantes, por el hecho de participar en el proceso selectivo, se someten a las bases de esta convocatoria y su desarrollo y a las decisiones que adopte el Tribunal, sin perjuicio de las reclamaciones pertinentes. El Tribunal se halla facultado para resolver las dudas que se presenten en todo lo no previsto en las bases, así como para la adopción de los acuerdos necesarios para el buen orden del proceso selectivo.

11.2 Contra la presente resolución, que agota la vía administrativa, cabe interponer demanda ante los Juzgados de lo Social de Valladolid, en el plazo de dos meses a contar desde el día siguiente a la publicación de la presente resolución.

Asimismo, cuantos actos administrativos, que no pongan fin a la vía administrativa, se deriven de esta convocatoria y de las actuaciones del Tribunal, podrán ser impugnados por los/as interesados/as en los casos y en las formas establecidas en la Ley 39/2015, de 1 de octubre, del Procedimiento Administrativo Común de las Administraciones Públicas.

Valladolid, 17 de junio de 2025.–El Rector, Antonio Largo Cabrerizo.

ANEXO I

Fase de oposición

– Primer ejercicio: De carácter teórico-práctico, consistirá en contestar por escrito un cuestionario integrado por 35 preguntas de tipo test (con opción a tres respuestas, siendo solo una de ellas correcta), relacionadas con el temario establecido en el anexo II de la presente resolución.

Al final del cuestionario de examen figurarán 4 preguntas de reserva a fin de sustituir sucesivamente, según el orden en el que se presenten en el cuestionario, aquellas que pudieran ser objeto de anulación por el Tribunal.

Las personas aspirantes dispondrán para la realización del ejercicio de un tiempo de setenta y cinco minutos. Las respuestas erróneas y las preguntas no contestadas no penalizarán.

El ejercicio se calificará sobre un máximo de 35 puntos, correspondiendo el valor de un punto a un acierto.

Serán consideradas aptas las personas aspirantes que hubiesen obtenido las mejores puntuaciones directas hasta un número máximo de 30, siempre y cuando su puntuación directa alcanzada sea igual o superior al 30 % de la puntuación directa máxima obtenible del ejercicio.

En el supuesto de que en la última puntuación directa se produzca un empate en un grupo de aspirantes y que en número supere el máximo de aspirantes señalados en el apartado anterior, se incluirán, hasta alcanzar dicho máximo, a aquellas personas aspirantes que tengan menor número de preguntas erróneas.

– Segundo ejercicio: Consistirá en desarrollar, un máximo de dos supuestos prácticos que consistirán en realizar tareas relacionadas con las funciones de la categoría laboral de Auxiliar de Servicios.

Para el correcto desarrollo de este ejercicio se deberán tener en cuenta las siguientes funciones de esta categoría laboral:

● Ejecución de encargos, recados y traslado de material.

● Recepción, clasificación, distribución y entrega de paquetería y documentación.

● Traslado de material y equipamiento necesario dentro de las instalaciones.

● Control de llaves, apertura y cierre de puertas.

● Recibir al público y facilitarle información de carácter general, incluida la atención telefónica.

● Revisión y reposición de los materiales y equipamiento. Aviso para la subsanación de las posibles anomalías y desperfectos.

● Vigilancia y cuidado del inmueble durante las horas de servicio, controlando el acceso al mismo.

El tiempo máximo que podrá concederse para la realización del ejercicio será de treinta minutos. El ejercicio se calificará sobre un máximo de 45 puntos.

Serán consideradas aptas las personas aspirantes que hubiesen obtenido las mejores puntuaciones directas hasta un número máximo de 8, siempre y cuando su puntuación directa alcanzada sea igual o superior al 30 % de la puntuación directa máxima obtenible del ejercicio.

En el supuesto de que en la última puntuación directa se produzca un empate en un grupo de aspirantes y que en número supere el máximo de aspirantes señalados en el apartado anterior, se incluirán, hasta alcanzar dicho máximo, a aquellas personas aspirantes que tengan menor número de preguntas erróneas.

Fase de concurso

Méritos profesionales

Por experiencia profesional en puestos de trabajo, bajo contrato o nombramiento, en Administraciones Públicas, de contenido funcional idéntico o similar a los correspondientes de la categoría laboral de las plazas convocadas, a razón de 0,003 puntos por cada día trabajado a tiempo completo, hasta un máximo de 20 puntos.

Los servicios prestados inferiores al 100 % del tiempo completo computarán proporcionalmente, conforme al porcentaje de la jornada del correspondiente contrato o nombramiento.

Para Administraciones Públicas distintas de la Universidad de Valladolid, se considerarán similares aquellos puestos relacionados con el área funcional de clasificación, de las indicadas en el vigente Convenio colectivo. Asimismo, respecto a la similitud alegada en relación con puestos incluidos en el ámbito de aplicación de la Ley 70/1978, de 26 de diciembre, de reconocimiento de servicios previos en la Administración pública, será exigible, en todo caso, que su índice de proporcionalidad sea 3.

ANEXO II
Temario

Bloque I. Normativa Básica y Organización Institucional

Tema 1. La Constitución Española de 1978.

– ¿Qué es la Constitución?

– Artículos: 1, 2, 3, 6, 9, 14, 16, 17, 20 y 23.

– Derechos que protege la Constitución.

Tema 2. Derechos y deberes de los empleados públicos según el TREBEP.

– Derechos de los empleados públicos (título III, capítulo I).

– Deberes de los empleados públicos. Código de Conducta (título III, capítulo VI).

Tema 3. La Universidad de Valladolid.

– Fines de la Universidad de Valladolid.

– Estructura de la Universidad de Valladolid y los servicios de apoyo a la comunidad universitaria.

– Órganos de gobierno, representación y administración de la Universidad.

– La Comunidad Universitaria.

Tema 4. La prevención de los riesgos laborales.

– La prevención de riesgos laborales en la Universidad de Valladolid.

– Derecho a la protección frente a los riesgos laborales.

Tema 5. La igualdad efectiva de mujeres y hombres. Objeto y ámbito de aplicación de la Ley Orgánica 3/2007 para la igualdad efectiva de hombres y mujeres. El principio de igualdad y la tutela contra la discriminación.

Bloque II. Contenidos funcionales

Tema 6. Control de acceso, identificación, información, atención y recepción de personal visitante.

Tema 7. Recepción, distribución y entrega de paquetería y documentación.

Tema 8. Franqueo, depósito, entrega, recogida y distribución de correspondencia.

Tema 9. Realización de recados oficiales fuera y dentro del centro.

Tema 10. Información de anomalías o incidencias en el centro de trabajo.

Tema 11. Seguridad y salud.

ANEXO III
Tribunal

Miembros del tribunal

Titulares

Presidente: Don Mariano Gredilla Fontaneda.

Vocal: Don Félix Rafael de la Puente Llorente.

Vocal: Doña María Jesús Lorenzo Fernández.

Vocal: Don Francisco Miguel Prieto García.

Vocal: Don Fernando Rico Berruguete.

Secretaria: Doña Cristina Sastre Blanco.

Suplentes

Presidente: Don Manuel Pérez Belver.

Vocal: Don César Vega García.

Vocal: Doña Áurea Paloma Modroño Vázquez.

Vocal: Don Casto Antonio Esteban Cabrero.

Vocal: Doña Mónica Martín Cardeñosa.

Secretaria: Doña María Belén Treviño Gómez.

ANEXO IV

Imagen: /datos/imagenes/disp/2025/154/13121_15821490_1.png

ANEXO V

Imagen: /datos/imagenes/disp/2025/154/13121_15821490_2.png

ANÁLISIS

  • Rango: Resolución
  • Fecha de disposición: 17/06/2025
  • Fecha de publicación: 27/06/2025
  • Convocatoria. Turno discapacidad intelectual: Auxiliar de servicios 2 plazas.

subir

Estatuko Aldizkari Ofiziala Estatu Agentzia

Manoteras Etorb., 54 - 28050 Madril