Contingut no disponible en valencià

Us trobeu en

Documento BOE-A-2025-15444

Resolución de 16 de julio de 2025, de la Secretaría General de Servicios Judiciales, de la Consejería de Justicia, Administración Local y Función Pública, por la que se convoca concurso específico para la provisión de puestos de trabajo en oficinas judiciales en los partidos judiciales de Fuengirola, Marbella y Torremolinos.

Publicado en:
«BOE» núm. 178, de 25 de julio de 2025, páginas 100300 a 100312 (13 págs.)
Sección:
II. Autoridades y personal - B. Oposiciones y concursos
Departamento:
Comunidad Autónoma de Andalucía
Referencia:
BOE-A-2025-15444

TEXTO ORIGINAL

La disposición transitoria cuarta de la Ley 19/2003, de la Ley 19/2003, de modificación de la Ley Orgánica 6/1985, de 1 de julio, del Poder Judicial, establece que las Comunidades Autónomas con competencias asumidas aprobarán las relaciones de puestos de trabajo y procederán al acoplamiento del personal funcionario con destino definitivo en el ámbito territorial correspondiente.

En dicha relación de puestos de trabajo de las Oficinas Judiciales del ámbito de la Comunidad Autónoma de Andalucía, se recogen diversos puestos singularizados cuya forma de provisión es el sistema de concurso específico, en los términos recogidos en los artículos 49 y siguientes del Real Decreto 1451/2005, de 7 de diciembre, por el que se aprueba el reglamento de Ingreso, Provisión de Puestos de trabajo y Promoción Profesional del personal funcionario al servicio de la Administración de Justicia.

El concurso específico consta de dos fases. La primera, de comprobación y valoración de los méritos generales. La segunda, de valoración de los méritos específicos, de memoria y posible entrevista.

En virtud de todo lo expuesto, y en el uso de las competencias conferidas por el Decreto 1/2014, de 14 de enero, por el que se regula la organización y estructura de las Oficinas Judicial y Fiscal en Andalucía, así como por el Decreto del Presidente 6/2024, de 29 de julio, sobre reestructuración de Consejerías y el Decreto 164/2022, de 9 de agosto, por el que se establece la estructura orgánica de la Consejería de Justicia, Administración Local y Función Pública, resuelvo:

Primero. Objeto.

1. La presente convocatoria tiene por objeto la provisión por el sistema de concurso específico, de la relación de puestos incluidos en el anexo I, en el que se indica el complemento específico del puesto, el Cuerpo al que está adscrito y el centro de destino.

2. La descripción de los puestos, las especificaciones derivadas de la naturaleza de la función encomendada y la relación de las principales tareas se encuentra descrita en la Orden de 22 de mayo de 2025, por la que se acuerda el diseño y estructura de la Oficina Judicial para los Tribunales Colegiados y Tribunales de Instancia y la Oficina de la Secretaría de Gobierno del Tribunal Superior de Justicia en la Comunidad Autónoma de Andalucía, en la Orden de 12 de junio de 2025, por la que se aprueba la relación de puestos de trabajo de las oficina judiciales incluidas en la segunda fase de implantación, y la Orden de 12 de junio de 2025, por la que se aprueba la relación de puestos de trabajo de los registros civiles incluidos en la segunda fase de implantación.

Segundo. Requisitos y condiciones de participación.

1. Podrán participar en esta convocatoria en exclusiva y por una sola vez:

Los funcionarios y funcionarias de carrera pertenecientes al Cuerpo de Gestión Procesal y Administrativa, Tramitación Procesal y Administrativa y Auxilio Judicial, destinados en los municipios de Fuengirola, Marbella y Torremolinos, para los puestos que se convocan en sus respectivos partidos judiciales, que se encuentren en situación de servicio activo o en cualesquiera otra que comporte reserva de puesto de trabajo, y que reúna las condiciones generales exigidas y los requisitos determinados en esta convocatoria en la fecha en que termine el plazo de presentación de las solicitudes de participación y las mantenga hasta la resolución definitiva del concurso.

2. No podrán participar en esta convocatoria:

a) Quienes se encuentren en situación de excedencia voluntaria sin reserva de plaza.

b) Los suspensos en firme, mientras dure la suspensión.

c) Los sancionados con traslado forzoso, para destino en la misma localidad en la que se les impuso la sanción, mientras no hayan transcurrido uno o tres años, si se trata de falta grave o muy grave, respectivamente.

3. De conformidad con lo previsto en el artículo 49.7 del Reglamento de Ingreso, Provisión de Puestos de Trabajo y Promoción Profesional del Personal Funcionario al Servicio de la Administración de Justicia aprobado por el Real Decreto 1451/2005, de 7 de diciembre, no regirá la limitación referente al tiempo para concursar establecida en el artículo 46.1 del mismo.

 Tercero. Bases y baremos de valoración.

1. El concurso específico constará de dos fases:

a) Méritos generales: Se valorarán los servicios efectivos en el cuerpo en el que participa otorgándose 2 puntos por cada año completo de servicios. Los meses computarán 0,166 puntos. La puntuación máxima por antigüedad será de 60 puntos.

La Secretaría General de Servicios Judiciales aportará de oficio la certificación de la antigüedad en el Cuerpo, así como la puntuación correspondiente, del personal funcionario.

b) Méritos específicos: Se valorarán los méritos referidos a las características y contenido de los puestos de trabajo ofertados, de conformidad con el baremo que consta en el anexo II de esta convocatoria, incluida la memoria que se presente. La puntuación máxima será de 40 puntos.

Los méritos específicos recogidos en el anexo IV del personal funcionario se acreditarán con la Hoja de Acreditación de Datos de SIRHUS salvo los méritos del concepto 122 Y 127 (Experiencia en registro civil y gestión de aplicaciones informáticas del registro civil) que se acreditarán mediante certificación de los responsables técnicos procesales correspondientes de los centros de destino donde las personas aspirantes hayan realizado las funciones.

La alegación de los méritos específicos no incluidos en la hoja de acreditación de datos deberá realizarse en el modelo que figura como anexo III, que acompañará a la solicitud. Dichos méritos deberán ser acreditados de manera documental mediante las correspondientes certificaciones, títulos, justificantes o cualquier otro medio documental.

Los aspirantes a los puestos convocados, deberán presentar junto con su solicitud una memoria-proyecto relativa al desempeño de las funciones propias del puesto, que incluya:

– Análisis de la situación actual.

– Propuesta de organización, planificación y coordinación del equipo.

– Medidas de mejora y objetivos a corto y medio plazo.

– Metodología de liderazgo y supervisión del equipo de trabajo.

La memoria tendrá una extensión máxima de cinco páginas, a interlineado sencillo y con letra Arial 11 o similar.

La memoria será valorada por comisión de valoración.

La presentación de la memoria es requisito indispensable para la participación en el proceso selectivo.

2. La Comisión de Valoración, una vez examinada la documentación aportada por los concursantes, podrá recabar del candidato las aclaraciones o, en su caso, la documentación adicional que se estime necesaria para la comprobación de los méritos, requisitos o datos alegados, así como aquellos otros que se consideren precisos para una ajustada inclusión o valoración. Asimismo, se podrá acodar la celebración de una entrevista con los candidatos sobre su historial profesional.

Cuarto. Solicitudes.

1. Las solicitudes para tomar parte en el concurso irán dirigidas a la Secretaría General de Servicios Judiciales y se ajustarán a los modelos publicados como anexo II.

2. El plazo de presentación de solicitudes será de diez días hábiles a partir del día siguiente al de la publicación de la convocatoria en el «Boletín Oficial de la Junta de Andalucía» y en el «Boletín Oficial del Estado». Si no se lograra la simultaneidad de publicaciones, los plazos se computarán desde el día siguiente al de la publicación en el «Boletín Oficial de la Junta de Andalucía».

3. Las solicitudes se presentarán exclusivamente a través del siguiente enlace electrónico:

https://juntadeandalucia.es/organismos/justiciaadministracionlocalyfuncionpublica/servicios/procedimientos/detalle/10596.html?tax=justiciaadministracionlocalyfuncionpublica

4. Las personas participantes podrán solicitar los puestos singularizados descritos en el anexo I, siempre que reúnan los requisitos exigidos para esos puestos de trabajo.

5. Los participantes no podrán anular o modificar su instancia una vez terminado el plazo de presentación.

6. La solicitud formulada será vinculante para la persona peticionaria una vez transcurrido el período de presentación de instancias.

Quinto. Comisión de Valoración.

Los méritos serán valorados por una Comisión de Valoración. De conformidad con el artículo 50 del Reglamento de Ingreso, Provisión de Puestos de Trabajo y Promoción Profesional del Personal Funcionario al Servicio de la Administración de Justicia, la comisión de valoración estará constituida por cuatro miembros en representación de la Administración convocante y designados por ella, de los que al menos uno será funcionario al servicio de la Administración de Justicia, y por tres miembros de las organizaciones sindicales más representativas, CSIF, STAJ y SPJ-USO:

Presidente:

Titular: don Ángel L. Sánchez Del Junco.

Suplente: doña Maria Leria Peñafuerte.

Vocales:

Titulares:

Doña (Secretaria). Montserrat Hernández Lanot.

Doña Gemma María Pérez Sánchez.

Doña Dolores González Sánchez.

Don Diego Díaz Benítez.

Don Aníbal Fernando Jiménez de Piñar.

Don Manuel Domínguez Bernal.

Doña Carmen García Cordero.

Suplentes:

Doña (Secretaria). Laura Fernández Laguna.

Don Antonio Enrique Miranda Rodríguez.

Doña M.ª Paz de la Cruz Cruz.

Don José Luis Fernández Alaya.

Doña Guadalupe Nogales Flores.

Doña Verónica Gómez Teba.

La Secretaría de la Comisión se ejercerá por una de las Vocales, funcionarias de la Secretaría General de Servicios Judiciales.

Asistirán a la Comisión de valoración con voz y sin voto un representante de UGT y de CCOO.

La Comisión de Valoración podrá solicitar de la autoridad convocante la designación de personal experto que, en calidad de asesores, actuarán con voz pero sin voto. Fuera de este supuesto, no podrán participar en la Comisión de Valoración más representantes que los indicados en los párrafos anteriores, sin perjuicio de que a dicha Comisión pueda asistir el personal de apoyo administrativo necesario.

Los miembros titulares de la Comisión, así como los suplentes deberán pertenecer a Cuerpos para cuyo ingreso se exija una titulación igual o superior a la requerida para los puestos convocados.

Las personas que formen parte de la Comisión de Valoración deberán abstenerse de intervenir, notificándolo a la Secretaría General de Servicios Judiciales, cuando concurra en ellas alguna de las circunstancias previstas en el artículo 23 de la Ley 40/2015, de 1 de octubre, de Régimen Jurídico del Sector Público. La persona que ejerza la presidencia de la Comisión de Valoración deberá exigir a quienes compongan la misma declaración expresa de no hallarse incurso en las circunstancias previstas en el artículo 23 de la Ley 40/2015, de 1 de octubre, de Régimen Jurídico del Sector Público.

Asimismo, cualquier persona que participe en el proceso de provisión podrá recusar a los miembros de la Comisión de valoración cuando concurran las circunstancias previstas en el párrafo anterior.

La Comisión de Valoración resolverá cuantas dudas o cuestiones puedan plantearse en la interpretación y aplicación de estas normas.

La Comisión de Valoración propondrá, para cada puesto de trabajo ofertado en el presente concurso, a la persona candidata que haya obtenido mayor puntuación, sumados los resultados finales de ambas fases y, en caso de empate, a aquel o aquella que cuente con mayor antigüedad en el Cuerpo.

 Sexto. Adjudicación de puesto de trabajo.

Los puestos de trabajo incluidos en la convocatoria no podrán declarase desiertos cuando existan concursantes que los hubieren solicitado, salvo en los supuestos en que, como consecuencia de una reestructuración o modificación de las correspondientes relaciones de puestos de trabajo, se hayan amortizado o modificado en sus características funcionales, orgánicas o retributivas.

Séptimo. Destinos.

1. Los destinos adjudicados serán irrenunciables. Nos obstante, aquellos funcionarios o funcionarias que hubieran obtenido un puesto de trabajo por concurso específico podrán renunciar a este si antes de la fecha de toma de posesión hubieren obtenido otro destino mediante convocatoria pública, quedando obligado el interesado, en este caso, a comunicarlo al órgano convocante. De incumplir este deber de comunicación, deberá el funcionario o funcionaria tomar posesión en el primero de los destinos adjudicados.

2. Si en la fecha de entrada en funcionamiento de la Oficina Judicial, no se hubiera adjudicado el concurso genérico ordinario, el personal funcionario afectado deberá tomar posesión del destino obtenido en el concurso específico.

 Octavo. Resolución.

1. Los nombramientos deberán efectuarse en el plazo máximo de seis meses contados desde el día siguiente al de finalización de la presentación de solicitudes, de conformidad con el artículo 51.3 del Real Decreto 1451/2005, de 7 de diciembre, Reglamento de Ingreso, Provisión de Puestos de Trabajo y Promoción Profesional del personal funcionario al servicio de la Administración de Justicia.

2. Una vez ultimada baremación de candidatos se publicará lista provisional de adjudicación. Tras publicación se podrá solicitar rectificación de errores materiales en el plazo de tres días y se dictará la resolución definitiva de adjudicación.

3. La toma de posesión efectiva no se producirá hasta la puesta en funcionamiento de la Oficina Judicial en los partidos judiciales a los que correspondan los centros de destino, que vendrá determinada en la correspondiente resolución dictada por la Secretaría General de Servicios Judiciales.

Noveno. Recursos.

Contra la presente resolución, que pone fin a la vía administrativa, cabe interponer recurso contencioso-administrativo ante los Juzgados de este Orden, de conformidad con lo establecido en la Ley 29/1998, de 13 de julio, reguladora de la Jurisdicción Contencioso-administrativa, en el plazo de dos meses contados a partir del día siguiente a la publicación de la presente resolución en el «Boletín Oficial de la Junta de Andalucía». Todo ello sin perjuicio de la interposición del recurso potestativo de reposición, ante la Secretaría General de Servicios Judiciales, en el plazo de un mes contado a partir del día siguiente a su publicación, conforme lo dispuesto en el artículo 123 y 124 de la Ley 39/2015, de 1 de octubre, del Procedimiento Administrativo Común de las Administraciones Publicas.

Sevilla, 16 de julio de 2025.–La Secretaria General de Servicios Judiciales, Rosalía de los Ángeles Espinosa López.

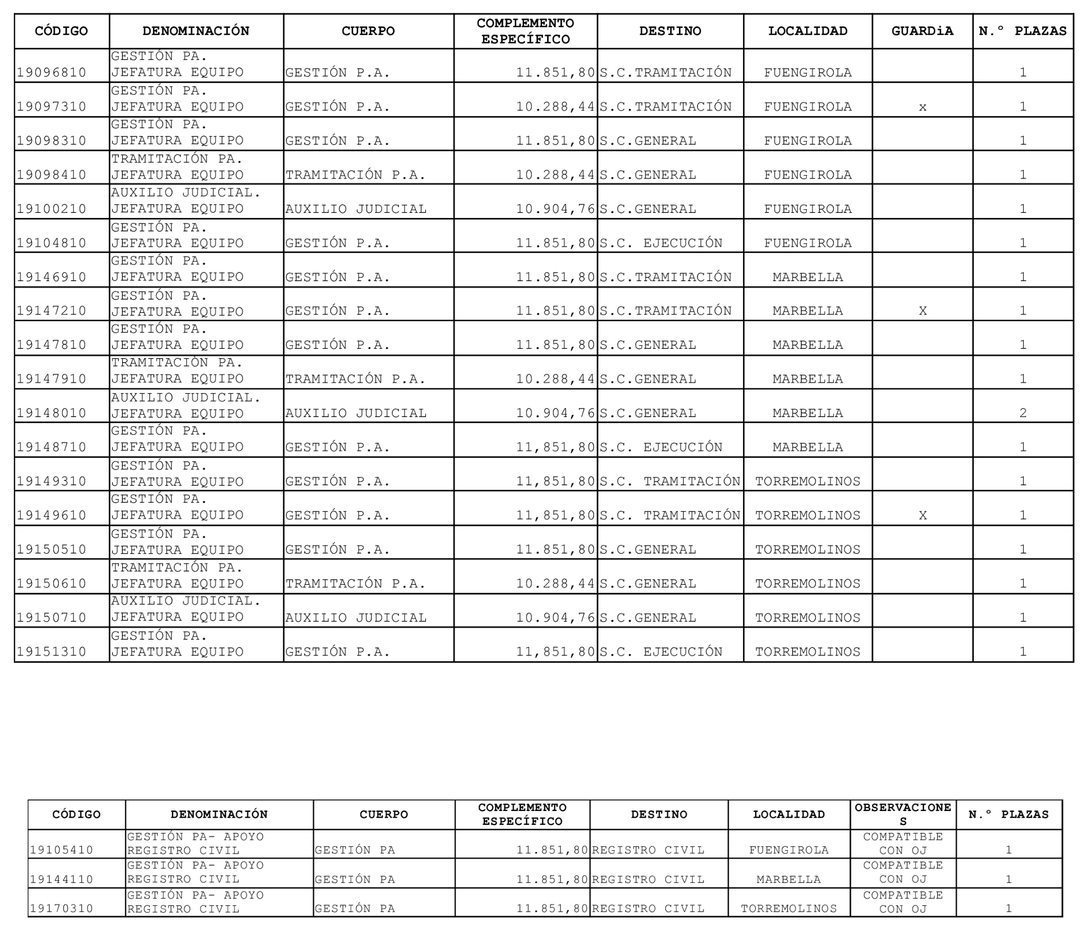
ANEXO I
Descripción de los puestos de trabajo

Imagen: /datos/imagenes/disp/2025/178/15444_15921861_1.png

ANEXO II

Imagen: /datos/imagenes/disp/2025/178/15444_15921862_1.png

Imagen: /datos/imagenes/disp/2025/178/15444_15921862_2.png

ANEXO III

Imagen: /datos/imagenes/disp/2025/178/15444_15921863_1.png

Imagen: /datos/imagenes/disp/2025/178/15444_15921863_2.png

ANEXO IV
Méritos específicos a valorar. Concurso específico oficina judicial

Servicio Común de Tramitación

Méritos específicos a valorar:

Jefatura de Equipo Gestión Procesal y Administrativa

Tipo Código
Experiencia. Orden jurisdiccional civil. 121
Orden jurisdiccional penal. 122
Conciliaciones civiles. 128
Gestión de aplicaciones informáticas judiciales. 161
Orden jurisdiccional civil. 121
Conocimientos. Derecho procesal civil. 111
Derecho procesal penal. 112
Mercantil. 116
Familia. 117
Gestión de aplicaciones informáticas judiciales. 151

Servicio Común General

Méritos específicos a valorar:

Jefatura de Equipo Gestión Procesal y Administrativa

Tipo Código
Experiencia. Oficina de Registro y Reparto. 125
Oficina de Atención al Público. 133
Servicios Comunes de Notificaciones y embargos/Servicios Comunes de Partidos Judiciales. 135
Gestión de aplicaciones informáticas judiciales. 161
Conocimientos. Conocimientos en mediación. 196
Informática general. 141
Gestión de aplicaciones informáticas judiciales. 151

Jefatura de Equipo Tramitación Procesal y Administrativa

Tipo Código
Experiencia. Oficina de Registro y Reparto. 125
Oficina de Atención al Público. 133
Servicios Comunes de Notificaciones y embargos/Servicios Comunes de Partidos Judiciales. 135
Gestión de aplicaciones informáticas judiciales. 161
Conocimientos. Conocimientos en mediación. 196
Informática general. 141
Gestión de aplicaciones informáticas judiciales. 151

Jefatura de Equipo de Auxilio Judicial

Tipo Código
Experiencia. Oficina de Registro y Reparto. 125
Oficina de Atención al Público. 133
Servicios Comunes de Notificaciones y embargos/Servicios Comunes de Partidos Judiciales. 135
Gestión de aplicaciones informáticas judiciales. 161
Oficinas de Depósito. 130
Oficina de Archivo. 131
Conocimientos. Informática general. 141
Gestión de aplicaciones informáticas judiciales. 151

Servicio Común de ejecución

Méritos específicos a valorar:

Jefatura de Equipo Gestión Procesal y Administrativa

Tipo Código
Experiencia. Orden jurisdiccional civil. 121
Orden jurisdiccional penal. 122
Juzgados de familia. 127
Gestión de aplicaciones informáticas judiciales. 161
Conocimiento. Derecho procesal civil. 111
Derecho procesal penal. 112
Familia. 117
Informáticas general. 141
Gestión de Aplicaciones informáticas judiciales. 151

Registro Civil

Gestión PA- Apoyo Registro Civil

TIPO CÓDIGO
Experiencia. Oficina de atención al público. 121
Registro civiles. 122
Gestión de aplicaciones informática registro civil. 127
Conocimiento. Registro civil. 110
Gestión Aplicaciones informática judiciales. 151
Gestión Aplicaciones informática registro civil. 152

Puntuación de méritos

1. Experiencia profesional. Hasta 20 puntos.

Se valorará la experiencia profesional obtenida en los últimos 15 años en el desempeño de puestos de contenido igual a las funciones del puesto solicitado, conforme a la siguiente distribución:

a) Experiencia en gestión de aplicaciones informáticas Judiciales (concepto 161). Hasta 5 puntos:

Por experiencia en gestión de la aplicación informática «Adriano», a razón de 0,667 puntos por año y 0,055 puntos por mes completo.

b) Resto de experiencia en función del puesto concreto al que se opte. Hasta 15 puntos, a razón de 1,333 puntos por año y 0,111 puntos por mes completo. Hasta 20 puntos, a razón de 1,333 puntos por año y 0,111 puntos por mes completo.

2. Conocimientos. Hasta 10 puntos.

Se valorarán los títulos, diplomas y certificaciones de cursos, realizados en los 10 últimos años, cuyos contenidos estén relacionados con las funciones de los cuerpos convocados, y que sean impartidos u homologados por organismos públicos competentes en formación de personal empleado público, las organizaciones sindicales dentro de los Acuerdos de Formación Continua en las Administraciones Públicas, así como los organizados por las Universidades. Los cursos de similar contenido, se valorarán una sola vez.

a) Cursos de duración entre 10 y 15 horas: 0,50 puntos.

b) Cursos de 16 horas hasta 30 horas: 1 punto.

c) Cursos de más de 30 horas: 2 puntos.

Si los Cursos son con aprovechamiento o superación de pruebas, la puntuación se verá incrementada en un 10 %.

3. Memoria. Hasta 10 puntos.

La valoración de la memoria se realizará atendiendo a los siguientes criterios:

a) Claridad y coherencia expositiva (hasta 1 puntos).

b) Adecuación de los objetivos a las funciones del puesto (hasta 2 puntos).

c) Fundamentación técnica y conocimiento de las materias específicas (hasta 4 puntos).

d) Viabilidad y pertinencia de la metodología propuesta (hasta 2 puntos).

e) Originalidad y valor añadido de la propuesta (hasta 1 punto).

ANÁLISIS

  • Rango: Resolución
  • Fecha de disposición: 16/07/2025
  • Fecha de publicación: 25/07/2025
  • Convocatoria.

subir

Agència Estatal Butlletí Oficial de l'Estat

Avda. de Manoteras, 54 - 28050 Madrid