Está Vd. en

Documento BOE-A-2025-18329

Resolución de 8 de septiembre de 2025, de la Universidad Carlos III de Madrid, por la que se convoca proceso selectivo para ingreso, por el sistema general de acceso libre y promoción interna, en la Escala de Gestión de Sistemas e Informática.

Publicado en:
«BOE» núm. 223, de 16 de septiembre de 2025, páginas 120159 a 120183 (25 págs.)
Sección:
II. Autoridades y personal - B. Oposiciones y concursos
Departamento:
Universidades
Referencia:
BOE-A-2025-18329

TEXTO ORIGINAL

Con el fin de atender las necesidades de Personal Técnico, de Gestión y de Administración y Servicios de esta Universidad, y en cumplimiento de lo dispuesto en los Estatutos de esta Universidad, aprobados por Decreto 1/2003, de 9 de enero, de la Comunidad de Madrid (BOCM de 20 de enero), y modificados por Decreto 95/2009, de 12 de noviembre (BOCM de 4 de diciembre de 2009),

Esta Gerencia, en uso de las atribuciones que, en materia de Personal Técnico, de Gestión y de Administración y Servicios, tiene delegadas por Resolución del Rector de fecha 3 de julio de 2022 (BOCM de 15 de julio) garantizando el respeto a los principios de publicidad, mérito, capacidad, igualdad, libre concurrencia y transparencia, y una vez cumplidas las formalidades contenidas en el artículo 125 de los citados Estatutos, ha resuelto convocar proceso selectivo por el sistema general de acceso libre y por el turno de promoción interna, por concurso oposición, para el ingreso en la Escala de Gestión de Sistemas e Informática de la Universidad Carlos III de Madrid (Subgrupo A2).

Bases de convocatoria

Primera. Normas generales.

1.1 Se convocan pruebas selectivas para la cobertura de 19 plazas de la Escala de Gestión de Sistemas e Informática, Grupo A, Subgrupo A2, de la Universidad Carlos III de Madrid, para su provisión por los turnos de acceso de promoción interna y libre.

1.1.1 El número total de vacantes reservadas al turno de promoción interna asciende a seis plazas, cinco en la especialidad Informática y una en la especialidad Audiovisual.

1.1.2 El número total de vacantes reservadas al turno libre asciende a 13 plazas, 12 en la especialidad Informática y una en la especialidad Audiovisual.

1.2 Las plazas reservadas al turno de promoción interna que no sean cubiertas por los aspirantes de dicho turno por no haber obtenido la puntuación mínima exigida para la superación de las pruebas no se acumularán a las que se ofrezcan a los aspirantes de turno libre, sino que se reservarán para futuras convocatorias.

1.3 Las personas que deseen tomar parte en este proceso selectivo sólo podrán participar por uno de los turnos de acceso y dentro de cada turno, por una única especialidad.

1.4 En virtud de lo dispuesto en el artículo 78.1 del Real Decreto 364/1995, de 10 de marzo, por el que se aprueba el Reglamento General de Ingreso del Personal al Servicio de la Administración General del Estado y de Provisión de Puestos de Trabajo y Promoción Profesional de los Funcionarios Civiles de la Administración General del Estado, los aspirantes que accedan por el turno de promoción interna tendrán preferencia, en todo caso, sobre los aspirantes provenientes del turno libre para cubrir las vacantes correspondientes.

De las plazas indicadas reservadas al turno libre, dos corresponden a la tasa de reposición vinculada a la Oferta de Empleo Público de la Universidad para el año 2022 (BOCM núm. 169, de 18 de julio de 2022), cuatro corresponden a la tasa de reposición vinculada a la Oferta de Empleo Público para 2023 (BOCM núm. 178, de 28 de julio de 2023), una corresponde a la tasa de reposición vinculada a la Oferta de Empleo Público para 2024 (BOCM núm. 180, de 30 de julio de 2024) y seis corresponden a la tasa de reposición de la Oferta de Empleo Público para el ejercicio 2023, vinculada a la tasa específica recogida en el apartado dos.4 del artículo 20 de la Ley 31/2022, de 23 de diciembre, de Presupuestos Generales del Estado para el año 2023 (BOCM núm. 271, de 13 de noviembre de 2024).

1.5 De conformidad con el Real Decreto 2271/2004, de 3 de diciembre, por el que se regula el acceso al empleo público y la provisión de puestos de trabajo de las personas con discapacidad y el Decreto 54/2006, de 22 de junio, del Consejo de Gobierno, por el que se regula el acceso de las personas con discapacidad a la Administración de la Comunidad de Madrid del total de plazas convocadas por turno libre se reserva una plaza para quienes tengan la condición legal de personas con discapacidad igual o superior al 33 por 100 y cumplan los requisitos que, a tal efecto, se establecen en dichas normas.

Con arreglo al artículo 10.2 del mencionado Decreto 54/2006, en el supuesto de no cubrirse esta plaza, por no alcanzar los aspirantes que concurran a las mismas el nivel mínimo establecido, se acumulará a las del turno en el que se incluyó dicho cupo.

1.6 A las presentes pruebas selectivas les serán de aplicación la Ley Orgánica 2/2023, de 22 de marzo, del Sistema Universitario; el Real Decreto Legislativo 5/2015, de 30 de octubre, por el que se aprueba el texto refundido de la Ley del Estatuto Básico del Empleado Público; la Ley 30/1984, de 2 de agosto, de Medidas para la Reforma de la Función Pública; el Real Decreto 364/1995, de 10 de marzo, por el que se aprueba el Reglamento General de Ingreso del Personal al Servicio de la Administración General del Estado y de Provisión de los Puestos de Trabajo y Promoción Profesional de los Funcionarios Civiles de la Administración General del Estado; el Real Decreto 543/2001, de 18 de mayo, sobre acceso al empleo público de la Administración General del Estado y sus organismos públicos de nacionales de otros Estados a los que es de aplicación el derecho a la libre circulación de trabajadores; el Real Decreto Legislativo 1/2013, de 29 de noviembre, por el que se aprueba el texto refundido de la Ley General de derechos de las personas con discapacidad y de su inclusión social; el Real Decreto 2271/2004, de 3 de diciembre, por el que se regula el acceso al empleo público y la provisión de puestos de trabajo de las personas con discapacidad y los Estatutos de la Universidad Carlos III de Madrid, aprobados por Decreto 1/2003, de 9 de enero, de la Comunidad de Madrid (BOCM de 20 de enero), y modificados por Decreto 95/2009, de 12 de noviembre (BOCM de 4 de diciembre), y las presentes bases de convocatoria.

1.7 El programa que ha de regir las pruebas es el que figura en el anexo I de la presente convocatoria.

1.8 Sistema de Selección. El sistema de selección de aspirantes será el de concurso-oposición para ambos turnos. El desarrollo del proceso se detalla en la base Quinta y en el anexo II de esta convocatoria.

1.9 Celebración del ejercicio. El primer ejercicio de la fase de oposición se podrá celebrar a partir del 15 de noviembre de 2025.

1.10 Medio de publicación. Todas las resoluciones que se adopten en referencia a este proceso selectivo se harán públicas en la página web www.uc3m.es/empleo/pas. La presente convocatoria será objeto de publicación en el «Boletín Oficial del Estado». En el «Boletín Oficial de la Comunidad de Madrid» se publicará un anuncio indicando el lugar en el que se encuentran publicadas las bases completas de la convocatoria, publicándose los nombramientos asimismo en el «Boletín Oficial de la Comunidad de Madrid».

1.11 La adjudicación de las plazas a quienes superen el proceso selectivo se efectuará de acuerdo con la puntuación total obtenida a lo largo del mismo y, en ningún caso, se podrá declarar superado el proceso selectivo a un número de aspirantes superior al de plazas convocadas.

Segunda. Requisitos de participación.

2.1 Para la admisión a este proceso selectivo, las personas que deseen participar deberán reunir los requisitos generales de acceso a la función pública y en particular, los siguientes:

a) Nacionalidad: Tener la nacionalidad española o ser nacional de un Estado miembro de la Unión Europea, o nacional de aquellos Estados a los que, en virtud de los Tratados Internacionales celebrados por la Unión Europea y ratificados por España, sea de aplicación la libre circulación de los trabajadores. También podrán participar, cualquiera que sea su nacionalidad, el cónyuge de los españoles y de los nacionales de otros Estados miembros de la Unión Europea, siempre que no estén separados de derecho, y sus descendientes y los de su cónyuge, siempre que no estén separados de derecho, menores de veintiún años o mayores de dicha edad que sean dependientes. Se deberá acreditar la relación familiar con un certificado de matrimonio actualizado en el caso de los cónyuges o un certificado de familia para los descendientes.

b) Capacidad: Poseer la capacidad funcional para el desempeño de las tareas habituales propias de la Escala a la que se opta.

c) Edad: Tener cumplidos dieciséis años y no exceder, en su caso, de la edad máxima de jubilación forzosa.

d) Habilitación: No haber sido objeto de separación del servicio de cualquiera de las Administraciones Públicas mediante expediente disciplinario, ni hallarse en situación de inhabilitación absoluta o especial para empleos o cargos públicos por sentencia judicial firme, ni pertenecer al mismo Cuerpo o Escala al cual se opta por esta convocatoria. En el caso de ser nacional de otro Estado, no hallarse en situación de inhabilitación o equivalente ni haber sido sometido a sanción disciplinaria o equivalente que impida, en su Estado, en los mismos términos, el acceso al empleo público.

e) Titulación: Estar en posesión del título universitario de Diplomado, Ingeniero Técnico, Arquitecto Técnico, Grado o equivalente, o en condiciones de obtenerlo en la fecha en que finalice el plazo de presentación de solicitudes. En el caso de titulaciones obtenidas en el extranjero se deberá estar en posesión de la credencial que acredite su homologación o declaración de equivalencia en España. Los títulos de Grado expedidos por universidades de los Estados miembros de la Unión Europea serán equivalentes, a todos los efectos, a aquellos expedidos por universidades españolas, de conformidad con el artículo 10 de la Ley Orgánica 2/2023, de 22 de marzo, del Sistema Universitario.

2.2 Quienes concurran a las plazas por el turno de promoción interna deberán estar en situación de servicio activo o encontrarse en situación de excedencia para el cuidado de hijos o encontrarse en situación de servicios especiales o en cualquier otra que conlleve reserva del puesto de trabajo y pertenecer a Cuerpos o Escalas Técnicas Auxiliar de informática (Subgrupo C1, antiguo Grupo C) del área de actividad o funcional objeto de la convocatoria, tener destino actual definitivo en la Universidad Carlos III de Madrid (o bien, encontrarse en el supuesto de ocupar un puesto con carácter provisional, siempre que el último destino definitivo haya sido en la Universidad Carlos III de Madrid), poseer una antigüedad de al menos dos años como funcionario/a de carrera en el Cuerpo o Escala Técnica Auxiliar de Informática (Subgrupo C1, antiguo Grupo C), y reunir todos los demás requisitos exigidos en la presente convocatoria.

2.3 Todos los requisitos y méritos alegados deberán poseerse en el día de la finalización del plazo de presentación de solicitudes y mantenerse, en su caso, hasta el día de la incorporación o toma de posesión como funcionario/a de carrera en la Escala convocada.

Tercera. Solicitudes.

3.1 Quienes deseen tomar parte en esta convocatoria deberán presentar su solicitud exclusivamente de forma telemática a través del enlace que se habilitará en la página web de la Universidad Carlos III de Madrid https://www.uc3m.es/empleo/pas

3.2 El plazo para acceder a la aplicación habilitada al efecto y formular la solicitud será de veinte días hábiles contados a partir del siguiente al de la publicación del anuncio de esta convocatoria en el «Boletín Oficial Electrónico de la Universidad Carlos III de Madrid», sin perjuicio de la previa publicación del anuncio o convocatoria en el «Boletín Oficial del Estado» y de la correspondiente reseña en el «Boletín Oficial de la Comunidad de Madrid».

3.3 Los derechos de examen serán de 40,37 euros para los aspirantes de turno libre, en aplicación de la reducción prevista en el artículo 12.2.4 de las Normas Básicas de Gestión del Presupuesto de la Universidad Carlos III de Madrid para 2025, y de 20,18 euros, para los aspirantes de promoción interna, y se ingresarán en la cuenta corriente de la Universidad Carlos III de Madrid con código IBAN ES22 0182 2370 4200 0031 0297, en el justificante deberá constar la fecha, el NIF del solicitante y el concepto de «NIF-A2-INF» (donde pone NIF incluir el número NIF del solicitante: ejemplo: «09009009Z-A2-INF»). El ingreso podrá efectuarse directamente en cualquier oficina del Banco BBVA, o bien mediante transferencia bancaria a la citada cuenta desde otra entidad.

La falta de abono de estos derechos de participación en el proceso selectivo durante el plazo de presentación de solicitudes no es subsanable y determinará la exclusión del solicitante.

En ningún caso el pago de los derechos o la justificación de la concurrencia de las causas de exención total o parcial de los mismos supondrán la sustitución del trámite de presentación, en tiempo y forma, de la solicitud de participación en este proceso selectivo.

Tanto el abono de los derechos de examen como la circunstancia de exención, en su caso, deberán acreditarse documentalmente por los aspirantes en la presentación de la solicitud.

Estarán exentas del pago de la tasa:

1. Las personas desempleadas que figuren inscritas en los Servicios Públicos de Empleo, como demandantes de empleo con una antigüedad mínima de 6 meses, referida a la fecha de la publicación del correspondiente anuncio de convocatoria de pruebas selectivas en el «Boletín Oficial de la Comunidad de Madrid».

Estas personas deberán acompañar a la solicitud uno de los siguientes documentos:

a) Informe de período ininterrumpido inscrito en situación de desempleo expedido por los Servicios Públicos de Empleo en el que conste expresamente una antigüedad mínima de seis meses inmediatamente anteriores a la fecha de publicación del anuncio al que se hace referencia en el párrafo anterior. Dicho informe se solicitará en la Oficina de Empleo que corresponda, debiendo figurar clara y expresamente todos y cada uno de los requisitos señalados anteriormente.

b) Documento de Alta y renovación de la Demanda de Empleo (DARDE), como certificado que acredita la situación de un demandante de empleo junto con un informe de vida laboral actualizado.

c) Informe negativo de rechazos que se solicitará en las oficinas de los Servicios Públicos de Empleo.

2. Las personas con discapacidad de grado igual o superior al 33 por 100, debiendo acompañar a la solicitud certificado vigente acreditativo de dicha discapacidad, certificado de reconocimiento de grado de discapacidad o tarjeta acreditativa del grado de discapacidad.

3. Las víctimas del terrorismo, esto es, personas que hayan sufrido daños físicos o psíquicos como consecuencia de la actividad terrorista y que así lo acrediten mediante sentencia judicial firme o en virtud de resolución administrativa o certificado acreditativo expedido por el órgano competente del Ministerio del Interior por el que se reconozca tal condición, su cónyuge o persona que haya convivido con análoga relación de afectividad, el cónyuge del fallecido y los hijos de heridos y fallecidos.

4. Las víctimas de violencia de género a las que hace referencia la Ley Orgánica 1/2004, de 28 de diciembre, de Medidas de Protección Integral contra la Violencia de Género, podrán acogerse a la exención de tasas. Para ello, deberán aportar acreditación administrativa de la situación de violencia de género.

Excepcionalmente, podrá acreditarse esta situación con el informe del Ministerio Fiscal que indique la existencia de indicios de que la persona solicitante es víctima de violencia de género hasta tanto no se dicte la orden de protección o resolución judicial equivalente.

5. Las familias numerosas, en los siguientes términos:

– 100 por 100 de exención a los miembros de familias de categoría especial.

– 50 por 100 de exención a los miembros de familias de categoría general.

Se deberá acreditar la condición de familia numerosa y su categoría mediante el correspondiente título actualizado.

3.4 De conformidad con lo establecido en el Decreto Legislativo 1/2002, de 24 de octubre, por la que se aprueba el texto refundido de la Ley de Tasas y Precios Públicos de la Comunidad de Madrid, procederá, previa solicitud de la persona interesada, la devolución de los derechos de examen únicamente en los supuestos de exclusión por causas no imputables a la misma. La devolución se solicitará en el plazo de diez días hábiles desde la publicación de las listas definitivas de aspirantes admitidos/as y excluidos/as en el correspondiente proceso selectivo. El titular de la tasa cuya devolución se solicita deberá ser titular o cotitular de la cuenta bancaria en la que se va a realizar la devolución.

3.5 A la instancia se acompañará la siguiente documentación:

a) Documentación acreditativa de la nacionalidad, en virtud de la base 2.1.a).

b) Documento acreditativo de la realización del abono de los derechos de examen, mediante la aportación de una copia del resguardo del ingreso o transferencia realizada, o bien del documento acreditativo que determina la causa de exención de su abono, en su caso. La falta de justificación del abono de los derechos de examen o de su exención determinará la exclusión del aspirante.

c) Los aspirantes con discapacidad de grado igual o superior al 33 por 100 que soliciten adaptación de tiempo y/o medios deberán hacerlo según el modelo que figura como anexo IV, adjuntando, además, dictamen técnico facultativo emitido por el Órgano Técnico de Valoración que dictaminó el grado de discapacidad. La falta de indicación detallada de la adaptación que precisa determinará el desistimiento del aspirante en su solicitud de adaptación.

3.6 Son causas de exclusión del aspirante:

a) El incumplimiento de los requisitos de participación establecidos en la presente convocatoria.

b) La no presentación de la solicitud, así como de la documentación relacionada en la base 3.5, en tiempo y forma.

c) La falta de pago de la tasa correspondiente por derechos de examen o la falta de justificación de su abono o de encontrarse exento, total o parcialmente, de este pago; todo ello en tiempo y forma.

Cuarta. Admisión de aspirantes.

4.1 Finalizado el plazo de presentación de solicitudes, la Gerencia de la Universidad Carlos III de Madrid dictará resolución en virtud de la cual se declararán aprobadas las listas provisionales de aspirantes admitidos/as y excluidos/as a las plazas convocadas, con indicación expresa de la causa de exclusión. Dicha resolución, que se publicará en la página web de la Universidad https://www.uc3m.es/empleo/pas, contendrá la designación de las personas que integrarán el Tribunal Calificador.

4.2 Quienes resulten excluidos expresamente, así como quienes no figuren en las listas provisionales publicadas, dispondrán de un plazo de diez días hábiles, contados a partir del siguiente al de la publicación de la mencionada resolución para poder subsanar el defecto que haya motivado su exclusión o su omisión de las relaciones de personas admitidas y excluidas. Quienes, dentro del plazo señalado, no subsanen la exclusión o la omisión, justificando su derecho a estar incluidos en la relación de admitidos, serán definitivamente excluidos de la realización de las pruebas.

4.3 Finalizado el plazo de subsanación se publicará, en la página web de la Universidad Carlos III de Madrid, la resolución por la que se aprueban las listas definitivas de personas aspirantes admitidas y excluidas, entendiéndose desestimadas las reclamaciones no recogidas en la misma. En dicha resolución se hará constar, a propuesta del Tribunal Calificador, la fecha, lugar y hora de realización del primer ejercicio de la fase de oposición, con una antelación mínima de diez días hábiles.

4.4 La resolución que apruebe con carácter definitivo las listas de personas aspirantes admitidas y excluidas pondrá fin a la vía administrativa y, contra la misma, se podrá interponer recurso contencioso-administrativo ante el Juzgado de lo Contencioso-Administrativo de Madrid en el plazo de dos meses desde su publicación o, potestativamente, el recurso de reposición ante este Rectorado en el plazo de un mes, en los términos previstos en la Ley 29/1998, de 13 de julio, reguladora de la Jurisdicción Contencioso-administrativa, y en la Ley 39/2015, de 1 de octubre, del Procedimiento Administrativo Común de las Administraciones Públicas, respectivamente.

Quinta. Procedimiento de selección.

5.1 El procedimiento de selección constará de dos fases: fase de oposición y fase de concurso.

La fase de oposición constituirá el 70 por 100 del proceso selectivo y tendrá carácter eliminatorio. A su vez, la fase de concurso constituirá el 30 por 100 del proceso selectivo y no tendrá carácter eliminatorio.

5.2 Los ejercicios a realizar en la fase de oposición se especifican en el anexo II de la presente convocatoria en función del turno de acceso.

5.3 Finalizada la fase de oposición tendrá lugar la fase de concurso. Tan sólo participarán en esta fase aquellos aspirantes que hayan superado la fase de oposición. En esta fase se valorarán los méritos acreditados por los aspirantes de conformidad con el baremo fijado en el anexo II. En ningún caso los puntos obtenidos en esta fase podrán ser computados para superar el ejercicio realizado en la fase de oposición.

El Tribunal requerirá, mediante anuncio publicado en la página web de la Universidad, a quienes hayan superado la fase de oposición para que, en el plazo de diez días hábiles, presenten la documentación acreditativa de los méritos que aleguen para su valoración en esta fase del proceso selectivo. Las personas que participen por el turno de promoción interna no tendrán que acreditar los méritos relativos a la antigüedad, el grado personal consolidado y el trabajo desarrollado, certificándose tales extremos de oficio por la Dirección de Recursos Humanos y Organización.

Para la valoración de los méritos alegados, el Tribunal tomará como fecha límite para su cómputo la de finalización del plazo de presentación de las solicitudes de participación en las presentes pruebas selectivas.

5.4 La valoración final del proceso selectivo vendrá dada por la suma de las puntuaciones obtenidas en ambas fases (concurso y oposición), no pudiendo resultar aprobados, tras la suma de ellas, un número mayor de personas que el de las plazas convocadas.

Corresponderá al Tribunal fijar el nivel mínimo exigible para superar los ejercicios de la fase de oposición, todo ello a la vista del grado de dificultad del mismo y del conocimiento demostrado por los aspirantes para el acceso a esta Escala.

Para aprobar las presentes pruebas selectivas y obtener una de las plazas convocadas será necesario superar los ejercicios de la fase de oposición y encontrarse, una vez sumadas las puntuaciones de la fase de concurso, en un número de orden no superior al número de plazas convocadas.

En caso de igualdad en la puntuación total, en el acceso por el turno de promoción interna, se dará prioridad a quien haya obtenido:

a) Mayor puntuación obtenida en la fase de oposición.

b) Mayor puntuación obtenida en la fase de concurso.

c) Mayor puntuación obtenida en la valoración del mérito de la antigüedad.

d) Mayor puntuación obtenida en la valoración del mérito del grado personal consolidado y formalizado.

A su vez, en el acceso por el turno libre, se dará prioridad a quien haya obtenido:

a) Mayor puntuación obtenida en el segundo ejercicio de la oposición.

b) Mayor puntuación obtenida en el primer ejercicio de la oposición.

De persistir el empate, en ambos casos, se dirimirá atendiendo al orden alfabético conforme a la letra del primer apellido que resulte del sorteo público celebrado a estos efectos por la Comunidad de Madrid que, para esta convocatoria, será la letra «U», de conformidad con lo establecido en la Resolución de 13 de marzo de 2025, de la Dirección General de la Función Pública de la Comunidad de Madrid.

Sexta. Tribunal Calificador.

6.1 El Tribunal Calificador de las presentes pruebas selectivas se ajustará a lo establecido en el Real Decreto 364/1995, de 10 de marzo, por el que se aprueba el Reglamento General de Ingreso del Personal al Servicio de la Administración General del Estado y de Provisión de los Puestos de Trabajo y Promoción Profesional de los Funcionarios Civiles de la Administración del Estado, así como a lo especificado en el Real Decreto Legislativo 5/2015, de 30 de octubre, por el que se aprueba el texto refundido de la Ley del Estatuto Básico del Empleado Público, y en la Ley 40/2015, de 1 de octubre, de Régimen Jurídico del Sector Público.

El Tribunal estará compuesto por la Presidencia y cuatro vocales designados por el Rector, entre personal funcionario de carrera perteneciente a cuerpos o escalas con nivel de titulación igual o superior al exigido para el acceso a esta escala y otro funcionario/a con iguales requisitos que actuará como secretario/a, con voz, pero sin voto. Se designará un número igual de miembros suplentes, procurando la presencia equilibrada de hombres y mujeres conforme a lo establecido en el artículo 60 del Real Decreto Legislativo 5/2015, de 30 de octubre, por el que se aprueba el texto refundido del Estatuto Básico del Empleado Público, y el II Plan de Igualdad de la Universidad Carlos III de Madrid, aprobado en Consejo de Gobierno de 30 de octubre de 2017.

6.2 De conformidad con lo dispuesto en el Real Decreto 462/2002, de 24 de mayo, sobre indemnizaciones por razón del servicio, el Tribunal tendrá la categoría segunda.

6.3 Los miembros del Tribunal deberán abstenerse de intervenir, notificándolo al Servicio de Recursos Humanos, cuando concurra en ellos alguna circunstancia de las previstas en el artículo 23.2 de la Ley 40/2015, de 1 de octubre, de Régimen Jurídico del Sector Público, o si hubiesen realizado tareas de preparación de aspirantes a pruebas selectivas de acceso a Cuerpos y Escalas análogos al que corresponden las plazas convocadas en los cinco años anteriores a la publicación de esta convocatoria.

Quien desempeñe la presidencia podrá solicitar de los miembros del Tribunal declaración expresa de no hallarse incursos en alguna de las circunstancias señaladas en el mencionado artículo 23 de la Ley 40/2015.

Asimismo, los aspirantes podrán recusar a los miembros del Tribunal cuando, a su juicio, concurra en ellos algunas de las circunstancias referidas con anterioridad, conforme a lo establecido en el artículo 24 de la precitada Ley 40/2015.

En caso de que se produzca la pérdida de las condiciones en virtud de las cuales se hubiera efectuado el nombramiento de los miembros del Tribunal, con posterioridad al mismo, la Universidad Carlos III de Madrid procederá a la consiguiente sustitución del miembro de que se trate, la cual será publicada en la página web del proceso.

6.4 Con anterioridad al inicio de las pruebas selectivas, la Gerencia publicará, en la página web del proceso, resolución por la que se nombre a los nuevos miembros del Tribunal que hayan de sustituir a los que hayan perdido su condición por alguna de las causas previstas en la base 6.3.

6.5 Previa convocatoria de quien ostente la Presidencia, se constituirá el Tribunal con la asistencia del Presidente/a y Secretario/a o, en su caso, de quienes los sustituyan y la de la mitad, al menos, de sus miembros. El Tribunal celebrará su sesión de constitución con un mínimo de diez días de antelación a la fecha prevista para la celebración del ejercicio de la fase de oposición. En dicha sesión, el Tribunal acordará todas las decisiones que le correspondan en orden al correcto desarrollo de las pruebas selectivas.

6.6 A partir de su constitución, el Tribunal, para actuar válidamente, requerirá de la presencia del Presidente/a y Secretario/a o, en su caso, de quienes les sustituyan y de la mitad, al menos, de sus miembros, sean titulares o suplentes.

6.7 Durante todo el proceso selectivo, el Tribunal resolverá las dudas que puedan surgir en la aplicación de estas normas, así como la actuación que proceda en los casos no previstos. En todo momento su actuación se ajustará a lo dispuesto en las mencionadas Ley 39/2015 y Ley 40/2015.

Corresponde al Tribunal:

a) La verificación de la identidad de los aspirantes.

b) La valoración de los méritos alegados por los aspirantes.

c) La adopción de medidas precisas en orden al correcto desarrollo de la convocatoria.

d) La facultad de interpretación de las presentes bases.

El Tribunal podrá solicitar de la autoridad convocante la designación de expertos que, en calidad de asesores, actuarán con voz, pero sin voto.

6.8 El Tribunal adoptará discrecionalmente las medidas necesarias precisas en aquellos casos en que resulte necesario, de forma que las personas con discapacidad gocen de similares condiciones para la realización de los ejercicios que el resto de participantes. En este sentido, se establecerán, para las personas con discapacidad que lo soliciten, las adaptaciones posibles en tiempos y medios, debiendo cumplimentarse para ello el anexo IV de esta convocatoria.

6.9 A efectos de comunicaciones y demás incidencias, el Tribunal tendrá su sede en el Rectorado de la Universidad Carlos III de Madrid, calle Madrid, número 126, de Getafe (Madrid), Dirección de Recursos Humanos y Organización, correo electrónico: selecpas@pa.uc3m.es

6.10 En ningún caso, el Tribunal podrá aprobar ni declarar que han superado las pruebas selectivas un número superior de aspirantes al de las plazas convocadas. Cualquier propuesta de personas aprobadas que contravenga lo anterior será nula de pleno derecho. Con el fin de asegurar la cobertura de las plazas convocadas, cuando se produzcan renuncias de los aspirantes seleccionados, antes de su nombramiento o toma de posesión, el órgano convocante podrá requerir del órgano de selección relación complementaria de los aspirantes que sigan al propuesto/a para su posible nombramiento como personal funcionario de carrera.

Séptima. Calendario y desarrollo de los ejercicios.

7.1 El orden de actuación de quienes participen en este proceso selectivo, en aquellos ejercicios en que sea necesario, se iniciará alfabéticamente por el primero de la letra «U», de conformidad con lo establecido en la Resolución de 13 de marzo de 2025, de la Dirección General de la Función Pública de la Comunidad de Madrid, por la que se hace público el resultado del sorteo efectuado con objeto de determinar el orden de actuación de los aspirantes en los procesos selectivos.

7.2 En cualquier momento las personas participantes podrán ser requeridas por los miembros del Tribunal para que acrediten su identidad.

7.3 Serán convocadas para la realización de los ejercicios en único llamamiento, siendo excluidas de la oposición quienes no comparezcan, salvo en los casos de fuerza mayor debidamente justificados y libremente apreciados por el Tribunal.

7.4 De conformidad con lo establecido en la base 1.8, el primer ejercicio de la fase de oposición comenzará a partir del 15 de noviembre de 2025, publicándose la fecha concreta en la resolución a la que se refiere la base 4.3.

7.5 La publicación de los sucesivos anuncios, si los hubiera, se efectuará por el Tribunal en la página web de la Universidad Carlos III de Madrid https://www.uc3m.es/empleo/pas y por cualquier otro medio si se juzga conveniente para facilitar su máxima divulgación.

7.6 En cualquier momento del proceso selectivo, si el Tribunal tuviere conocimiento de que alguno de los aspirantes no posee la totalidad de los requisitos de participación exigidos en la presente convocatoria, previa audiencia del interesado/a, propondrá su exclusión a la Gerencia, dando traslado, asimismo, de las inexactitudes o falsedades formuladas en la solicitud de admisión a las pruebas selectivas a los efectos procedentes. La resolución de exclusión pondrá fin a la vía administrativa y contra la misma, quienes resulten definitivamente excluidos, podrán interponer recurso contencioso-administrativo ante el Juzgado de lo Contencioso-Administrativo de Madrid en el plazo de dos meses desde su publicación o, potestativamente, recurso de reposición ante este Rectorado en el plazo de un mes, en los términos previstos en la Ley 29/1998, de 13 de julio, reguladora de la Jurisdicción Contencioso-administrativa, y en la Ley 39/2015, de 1 de octubre, del Procedimiento Administrativo Común, respectivamente.

Octava. Lista de aspirantes aprobados.

8.1 Finalizadas las pruebas selectivas, el Tribunal hará pública en la página web de la Universidad Carlos III de Madrid las relaciones de aspirantes aprobados en cada turno y en cada especialidad, por orden de puntuación alcanzado, en las que constarán las calificaciones de cada uno de los ejercicios de la fase de oposición y la suma total; expresándose asimismo en dichas relaciones la puntuación obtenida en la fase de concurso.

8.2 Quien ostente la Presidencia del Tribunal elevará la relación con dichos aspirantes al Rector. A la vista de la misma, el Rector adoptará la correspondiente resolución declarando los aspirantes que han superado el proceso selectivo, que será objeto de publicación en la página web de la Universidad.

Novena. Presentación de documentos y nombramiento como personal funcionario de carrera.

9.1 En el plazo de veinte días hábiles, a contar desde el día siguiente al de la publicación en la página web de la Universidad de la resolución a la que se hace referencia en la base 8.2, quienes hayan superado las presentes pruebas selectivas presentarán, para su nombramiento como personal funcionario de carrera, presencialmente en el Registro General de la Universidad Carlos III de Madrid, escrito dirigido a la Dirección de Servicios de Recursos Humanos y Organización con los siguientes documentos:

a) DNI o NIE, así como resto de la documentación acreditativa de la nacionalidad en virtud de la base 2.1.a).

b) Documento original de la titulación requerida en la base 2.1.e) de esta convocatoria o certificación académica acreditativa de tener aprobadas todas las asignaturas que le capacitan para la obtención de la misma, acompañando el resguardo justificativo de haber abonado los derechos para la expedición del correspondiente título. En el caso de titulaciones obtenidas en el extranjero, deberá presentarse fotocopia compulsada de la documentación que acredite su homologación.

c) Declaración jurada o promesa de no haber sido separado mediante expediente disciplinario del servicio de ninguna Administración Pública, ni hallarse inhabilitado para el ejercicio de las funciones públicas.

d) Para los y las aspirantes de turno libre, certificado médico oficial acreditativo de no padecer enfermedad ni defecto físico que imposibiliten para el servicio.

9.2 Quien tuviera la condición de personal funcionario de carrera o laboral fijo de cualquiera de las Administraciones Públicas estará exento de justificar documentalmente las condiciones y demás requisitos ya probados para obtener su anterior nombramiento, debiendo presentar certificación del Registro Central de Personal o del Ministerio u Organismo del que dependiera para acreditar tal condición.

9.3 Quien, dentro del plazo fijado y salvo casos de fuerza mayor, no presentase la documentación o, del examen de la misma, se dedujera que carece de alguno de los requisitos señalados en la base segunda de esta convocatoria, no podrá ser nombrado personal funcionario de carrera y quedarán anuladas sus actuaciones, sin perjuicio de la responsabilidad en que hubiere incurrido por falsedad en la solicitud inicial.

9.4 Finalizado el proceso selectivo, y previa oferta y petición del destino, la autoridad convocante procederá al nombramiento de personal funcionario de carrera mediante resolución que se publicará en el «Boletín Oficial de la Comunidad de Madrid». La toma de posesión de las personas aprobadas se efectuará en el plazo de un mes contado desde el día siguiente a la fecha de la publicación de la resolución en el citado Boletín.

Décima. Bolsa de trabajo.

10.1 A efectos de la selección de personal funcionario interino de la Escala de Gestión de Sistemas e Informática de la Universidad Carlos III de Madrid, una vez concluido el proceso selectivo se formará una lista de espera con los aspirantes de turno libre y para cada especialidad. La Gerencia establecerá la puntuación mínima necesaria para configurar la bolsa de trabajo con quienes no superen el proceso selectivo, quedando ordenados según la puntuación obtenida en el proceso. En caso de igualdad de puntuación se estará a la prelación dispuesta en la base 5.4.

10.2 De la mencionada lista de espera quedarán excluidos aquellos aspirantes que, expresamente, comuniquen su voluntad de no ser incluidos en la misma mediante escrito dirigido al servicio de Recursos Humanos y Organización.

Undécima. Protección de datos.

11.1 De conformidad con lo establecido por la normativa vigente en materia de protección de datos personales, los datos facilitados por quienes concurran a la presente convocatoria serán tratados por la Universidad Carlos III de Madrid, en el marco del tratamiento inscrito en el Registro de Actividades de Tratamiento e identificado como «Selección y provisión de puestos de trabajo (PTGAS)», con la finalidad de la selección de personal y la provisión de puestos de trabajo mediante convocatorias públicas de la Universidad. Sus datos serán tratados para poder tramitar su solicitud y resolver la convocatoria en la que participa. A estos efectos, se adoptarán las medidas necesarias para preservar la confidencialidad, integridad y disponibilidad de la información personal tratada.

11.2 Las personas interesadas podrán ejercitar sus derechos de acceso, rectificación, supresión, limitación, portabilidad y oposición a su tratamiento, mediante el envío de un correo a la siguiente dirección: dpd@uc3m.es

11.3 Puede consultar la información detallada sobre nuestra Política de Privacidad en https://www.uc3m.es/inicio/proteccion-datos

Duodécima. Norma final.

12.1 Las personas que participen en las presentes pruebas selectivas se someten a las bases de esta convocatoria y a las decisiones que adopte el Tribunal, sin perjuicio de las reclamaciones pertinentes. El Tribunal está facultado para resolver las dudas que se presenten y tomar los acuerdos necesarios para el buen orden de las pruebas selectivas en todo lo no previsto en las presentes bases.

12.2 La presente convocatoria y cuantos actos administrativos se deriven de ella y de la actuación del Tribunal podrán ser impugnados en los casos y forma establecidos en la Ley 39/2015, de 1 de octubre, del Procedimiento Administrativo Común de las Administraciones Públicas, y en la Ley 29/1998, de 13 de julio, reguladora de la Jurisdicción Contencioso-administrativa.

Asimismo, el Rector de la Universidad Carlos III de Madrid podrá, en su caso, proceder a la revisión de las resoluciones del Tribunal, conforme a lo previsto en las citadas normas de rango legal.

Getafe, 8 de septiembre de 2025.–El Rector, P. D. (Resolución de 3 de julio de 2022), el Gerente, Alberto García Martínez.

ANEXO I

TURNO DE PROMOCIÓN INTERNA

Especialidad Informática

Tecnología básica

1. Informática básica. Representación y comunicación de la información: elementos constitutivos de un sistema de información. Características y funciones. Arquitectura de ordenadores. Componentes internos de los equipos microinformáticos. Computación en la nube. Administración de servidores y servicios en entornos Linux y Windows.

2. Periféricos: conectividad y administración. Elementos de impresión. Elementos de almacenamiento. Elementos de visualización y digitalización.

3. Tipos abstractos y estructuras de datos. Organizaciones de ficheros. Algoritmos. Formatos de información y ficheros.

4. Sistemas operativos. Características y elementos constitutivos. Sistemas Windows. Sistemas Unix y Linux. Sistemas macOS. Sistemas operativos para dispositivos móviles.

5. Inteligencia de negocios: cuadros de mando integral, sistemas de soporte a las decisiones, sistemas de información ejecutiva y almacenes de datos. OLTP y OLAP.

6. Sistemas de gestión de bases de datos relacionales, orientados a objetos y NoSQL: características y componentes.

7. Gestión de la atención a clientes y usuarios: centros de contacto, CRM. Arquitectura multicanal.

8. Inteligencia artificial generativa: Modelos y su implantación, BBDD vectoriales, protocolos de interconexión, RAG, fine tuning, programación.

Desarrollo de sistemas

9. Modelado de datos, metodologías y reglas. Entidades, atributos y relaciones. Diseño de bases de datos. Diseño lógico y físico. El modelo lógico relacional. Normalización.

10. Lenguajes de programación. Representación de tipos de datos. Operadores. Instrucciones condicionales. Bucles y recursividad. Procedimientos, funciones y parámetros. Vectores y registros. Estructura de un programa.

11. Lenguajes de interrogación de bases de datos. Estándar ANSI SQL. Procedimientos almacenados. Eventos y disparadores. Sistemas de base de datos Oracle y PostgreSQL.

12. Diseño y programación orientada a objetos. Elementos y componentes software: objetos, clases, herencia, métodos, sobrecarga. Ventajas e inconvenientes. Patrones de diseño y lenguaje de modelado unificado (UML). Lenguajes orientados a objetos.

13. Arquitectura Java EE/Jakarta EE: componentes, persistencia y seguridad. Características, elementos, lenguajes y funciones. Desarrollo de Interfaces. El lenguaje de programación Java. Hibernate. Modelo vista controlador. Spring.

14. Arquitectura de sistemas cliente/servidor y multicapas: componentes y operación. Arquitecturas de servicios web y protocolos asociados.

15. Modelo de desarrollo de aplicaciones basado en contenedores y microservicios. Arquitectura y soluciones. Despliegue, monitorización, escalado y administración.

16. Aplicaciones WEB. Desarrollo web front-end y back-end, multiplataforma y multidispositivo. Lenguajes: HTML, XML y sus derivaciones. Navegadores y lenguajes de programación web. Javascript y Typescript. Python. Servicios web: estándares, protocolos asociados, interoperabilidad y seguridad. Internacionalización y localización.

17. Accesibilidad, diseño universal y usabilidad. Acceso y usabilidad de las tecnologías, productos y servicios relacionados con la sociedad de la información. Confidencialidad y disponibilidad de la información en puestos de usuario final. Conceptos de seguridad en el desarrollo de los sistemas.

18. Repositorios: estructura y actualización. Generación de código y documentación. Metodologías de desarrollo. Pruebas. Programas para control de versiones. Plataformas de desarrollo colaborativo de software.

19. Construcción del sistema. Entornos de construcción y generación de código. Despliegue de aplicaciones e integración continua. Dev-Ops. Estándares de documentación. Manuales de usuario y manuales técnicos. Formación de usuarios y personal técnico: métodos y materiales.

20. Educación digital: LMS de código abierto (Moodle, Open edX), herramientas de dinamización de clases. Herramientas de autor para la creación de contenidos digitales interactivos. Learning Analytics, Competencia digital docente (Digcompedu). Herramientas de colaboración síncrona y sistemas de streaming.

Sistemas y comunicaciones

21. Administración del Sistema operativo y software de base. Actualización, mantenimiento y reparación del sistema operativo. Bastionado (Securización) del sistema operativo.

22. Administración de bases de datos. Sistemas de almacenamiento y su virtualización. Políticas, sistemas y procedimientos de backup y su recuperación. Backup de sistemas físicos y virtuales. Infraestructura física de un CPD: acondicionamiento y equipamiento.

23. Virtualización de sistemas y virtualización de puestos de usuario.

24. Administración de redes de área local. Gestión de usuarios. Gestión de dispositivos. Monitorización y control de tráfico. Virtualización de la función de red y redes definidas por software. Control de acceso de la red.

25. Conceptos de seguridad de los sistemas de información. Seguridad física. Seguridad lógica. Técnicas criptográficas y protocolos seguros. Sistemas de gestión de incidentes y análisis forense. Monitorización y correlación de eventos de seguridad. Modelos de Madurez para Centros de Operaciones de Ciberseguridad (SOC): (SIM3, SOC-CCM). Gestión de incidentes de seguridad, Funciones y Servicios del SOC. Técnicas, tácticas y procedimientos (TTPs) de los atacantes y Matriz MITRE ATT&CK.

26. Comunicaciones. Medios de transmisión. Modos de comunicación. Equipos terminales y equipos de interconexión y conmutación. Redes de comunicaciones locales y de área extensa. Redes de conmutación y redes de difusión. Comunicaciones móviles e inalámbricas. Seguridad en las comunicaciones: Cortafuegos, Web Application Firewalls y otros mecanismos de protección. Normativa reguladora.

27. El modelo TCP/IP y el modelo de referencia de interconexión de sistemas abiertos (OSI) de ISO. Protocolos TCP/IP. Internet: arquitectura de red. Origen, evolución y estado actual. Principales servicios. Protocolos HTTP, HTTPS.

28. Redes de nueva generación y servicios convergentes (NGN/IMS). VoIP, ToIP y comunicaciones unificadas. Convergencia telefonía fija-telefonía móvil.

29. Sistemas de comunicaciones móviles. Generaciones de tecnologías de telefonía móvil. Soluciones de gestión de dispositivos móviles (MDM, EMM, UEM).

30. Sistemas de videoconferencia. Protocolos. Dimensionamiento y calidad de servicio en las comunicaciones y acondicionamiento de salas y equipos.

Especialidad Audiovisuales

Principios de acústica y sonido

1. Principios básicos de acústica: transmisión del sonido como onda de presión. Conceptos físicos de la onda sonora: intensidad, tono, timbre, frecuencia, frecuencia fundamental, armónicos, ancho de banda. Magnitudes lineales y logarítmicas. Análisis espectral del sonido.

2. Recintos acústicos. Principios de acústica arquitectónica. Instrumentos y parámetros de medida de los niveles sonoros en sala. Tiempo de reverberación de una sala.

3. Transductores electroacústicos: micrófonos. Captación del audio. Diseño de micrófonos y su clasificación. Características de los micrófonos. Conexionado de micrófonos. Tipos de cables y conectores. Sistemas inalámbricos de microfonía. Tomas microfónicas. Sistemas balanceados y no balanceados.

4. Transductores electroacústicos: altavoces y cajas acústicas. Clasificación de los altavoces. Características de los altavoces. Interconexión de altavoces. Impedancias. Amplificación de sonido: Amplificadores y etapas de potencia. Sonorización de recintos.

5. Caracterización de las señales de audio. Señales de audio analógicas y digitales. Niveles de audio. Medidores de nivel. Decibelios como medida en aparatos de audio (dbm, dbV). Vúmetros, sonómetros.

6. Tratamiento digital de señales de audio. Conversión Analógico/digital de señales de audio. Compresión de audio: Formatos y protocolos.

7. Procesamiento de la señal de audio. El espectro de audio y su análisis. Procesadores de frecuencia: Ecualizadores. Procesadores de dinámica. Procesadores de tiempo. Efectos de sonido.

8. Mesas de mezclas: La mesa de mezcla de audio: clasificación según su tecnología y utilización. Mesas de audio analógicas y digitales. Niveles de señal, conectores, buses y módulos. El ajuste de la señal de audio con la mesa de mezclas: niveles y ecualización. Monitorización de señales en mesas. Conexión de mesas con sistemas de sonorización.

9. Equipos de grabación y reproducción de audio. Soportes digitales de grabación de audio. Interconexión de audio digital. Software para el procesado de audio digital. Sistemas Dante de audio.

Teoría y electrónica de video

10. Señales de vídeo: fundamentos. Principios básicos de la señal de video. El sistema visual humano. El ojo humano y su funcionamiento. Principios de video analógico. Reproducción del color en vídeo.

11. Conversión de vídeo analógico-digital. La señal digital de video. Principios básicos de vídeo digital. Sistema de escaneo entrelazado y progresivo.

12. Formatos digitales de video. Compresión de vídeo. Formatos y codecs de compresión.

13. Sistemas de captación de video. Cámara de video. Tipos de cámaras. Bloques de la cámara. El CCD, tipos y características.

14. El control de cámara. Las unidades de control de cámara. Balance de blanco y equilibrio de señal de vídeo. Filtros de cámara. Ópticas de cámaras de vídeo. Tipos de objetivos de cámaras.

15. Monitorización de la señal de video. Monitores de video. Pantallas interactivas. Señales RGB, Señal de luminancia y crominancia (Y/C) y de componentes. El vectorscopio. El monitor de forma de onda. Barras de color. Las señales test.

16. Edición y postproducción digital de vídeo. La edición de video. La incrustación de señales. Chroma key. Efectos digitales en la señal de video. Software de edición y post-producción digital de videos.

17. Iluminación de interiores y exteriores. Equipos de iluminación, fuentes luminosas y tipos de lámparas. Accesorios de control de la iluminación. Tipos de iluminación, luz dura, luz suave. Funciones de las fuentes principales de iluminación. Disposición de distintos tipos de sets para iluminar escenas en vídeo. Magnitudes y unidades luminosas.

18. Manejo de la cámara de grabación. Planos estándar. Los movimientos de la cámara. Ángulos de cámara. Principio de la composición de la imagen, encuadre y proporciones. Tipos de planos. Captación de sonido en rodajes.

Integración de sistemas Audio/Video

19. Proyectores de video, tecnologías de proyección. Tipos y características. Mantenimiento y ajuste de proyectores de vídeo.

20. Conexionado de las señales de audio y video. Cables y conectores de audio y video (analógicos y digitales). Estándares y normas de conexionado.

21. Sistemas de videoconferencias. Gestión y control. Aplicaciones software de videoconferencia.

22. Equipamiento necesario para teledocencia: integración audio/vídeo.

23. Integración de sistemas audiovisuales: sistemas de control y automatización de salas. Conectividad, interconexión, cableado, matrices y electrónica de selección, conmutación y distribución.

24. Sistemas de codificación y compresión de audio y vídeo. Sistemas de emisión y streaming. Sistemas de videoconferencia y multiconferencia. Streaming de video, plataformas y protocolos de streaming.

Tecnología base TIC y sus aplicaciones a la docencia

25. Informática básica. Representación y comunicación de la información: elementos constitutivos de un sistema de información. Características y funciones. Arquitectura de ordenadores. Componentes internos de los equipos microinformáticos.

26. Periféricos: conectividad y administración. Elementos de impresión. Elementos de almacenamiento. Elementos de visualización y digitalización.

27. Sistemas operativos. Características y elementos constitutivos. Sistemas Windows. Sistemas Unix y Linux. Sistemas macOS. Sistemas operativos para dispositivos móviles.

28. Cableados estructurados de redes. Tipología y conceptos básicos. Protocolo TCP/IP.

29. Conceptos de seguridad de los sistemas de información. Seguridad física. Seguridad lógica. Amenazas y vulnerabilidades. Seguridad en las comunicaciones.

30. Educación digital: LMS de código abierto (Moodle, Open edX), herramientas de dinamización de clases. Herramientas de autor para la creación de contenidos digitales interactivos. Learning Analytics. Competencia digital docente. Herramientas de colaboración síncrona.

TURNO LIBRE

Temario general

1. Ley 39/2015, de 1 de octubre, del Procedimiento Administrativo Común de las Administraciones Públicas: Disposiciones generales. De los interesados en el procedimiento. De los actos administrativos. El procedimiento administrativo común y sus fases.

2. Ley 40/2015, de 1 de octubre, de Régimen Jurídico del Sector Público. Disposiciones Generales y Órganos de las Administraciones Públicas. Funcionamiento electrónico del Sector Público. Relaciones electrónicas entre las Administraciones.

3. Ley Orgánica 3/2007, de 22 de marzo, para la igualdad efectiva de mujeres y hombres: Objeto y ámbito de aplicación de la ley. El principio de igualdad y la tutela contra la discriminación. III Plan de Igualdad de la Universidad Carlos III de Madrid: Principios Generales. Objetivos y estructura general del Plan: Ejes, Objetivos Generales, Líneas de acción y Objetivos Específicos.

4. El Reglamento 2016/679, de 27 de abril de 2016, del Parlamento Europeo y el Consejo relativo al tratamiento y libre circulación de datos personales: Conceptos básicos. Disposiciones generales. Principios. Derechos del interesado. Responsable y encargado del tratamiento. Delegado de protección de datos.

5. Ley 10/2019, de 10 de abril, de Transparencia y de Participación de la Comunidad de Madrid: Disposiciones generales. Portal de transparencia y procedimiento de ejercicio del derecho de acceso a la información pública en la Universidad Carlos III de Madrid.

6. El Real Decreto 5/2015, de 30 de octubre, por el que se aprueba el texto refundido de la Ley del Estatuto Básico del Empleado Público: Objeto y ámbito de aplicación. Personal al servicio de las Administraciones Públicas. Derechos y deberes. Código de conducta de los empleados públicos.

7. Ley 31/1995, de 8 de noviembre, de Prevención de Riesgos Laborales: objeto, ámbito de aplicación y definiciones.

8. La Ley Orgánica 2/2023, de 22 de marzo, del Sistema Universitario: Disposiciones generales. Funciones del sistema universitario y autonomía de las universidades. Creación y reconocimiento de las universidades. Régimen jurídico y estructura de las universidades públicas. Gobernanza de las universidades públicas. Régimen económico y financiero de las universidades públicas. Personal técnico, de gestión y de administración y servicios de las universidades públicas.

9. La sociedad de la información. Identidad y firma electrónica: régimen jurídico. El DNI electrónico. Reglamento eIDAS.

10. Real Decreto 311/2022, de 3 de mayo, por el que se regula el Esquema Nacional de Seguridad.

Temario específico

Especialidad Informática

Tecnología básica

1. Informática básica. Representación y comunicación de la información: elementos constitutivos de un sistema de información. Características y funciones. Arquitectura de ordenadores. Componentes internos de los equipos microinformáticos. Computación en la nube. Administración de servidores y servicios en entornos Linux y Windows.

2. Periféricos: conectividad y administración. Elementos de impresión. Elementos de almacenamiento. Elementos de visualización y digitalización.

3. Tipos abstractos y estructuras de datos. Organizaciones de ficheros. Algoritmos. Formatos de información y ficheros.

4. Sistemas operativos. Características y elementos constitutivos. Sistemas Windows. Sistemas Unix y Linux. Sistemas macOS. Sistemas operativos para dispositivos móviles.

5. Inteligencia de negocios: cuadros de mando integral, sistemas de soporte a las decisiones, sistemas de información ejecutiva y almacenes de datos. OLTP y OLAP.

6. Sistemas de gestión de bases de datos relacionales, orientados a objetos y NoSQL: características y componentes.

7. Gestión de la atención a clientes y usuarios: centros de contacto, CRM. Arquitectura multicanal.

8. Inteligencia artificial generativa: Modelos y su implantación, BBDD vectoriales, protocolos de interconexión, RAG, fine tuning, programación.

Desarrollo de sistemas

9. Modelado de datos, metodologías y reglas. Entidades, atributos y relaciones. Diseño de bases de datos. Diseño lógico y físico. El modelo lógico relacional. Normalización.

10. Lenguajes de programación. Representación de tipos de datos. Operadores. Instrucciones condicionales. Bucles y recursividad. Procedimientos, funciones y parámetros. Vectores y registros. Estructura de un programa.

11. Lenguajes de interrogación de bases de datos. Estándar ANSI SQL. Procedimientos almacenados. Eventos y disparadores. Sistemas de base de datos Oracle y PostgreSQL.

12. Diseño y programación orientada a objetos. Elementos y componentes software: objetos, clases, herencia, métodos, sobrecarga. Ventajas e inconvenientes. Patrones de diseño y lenguaje de modelado unificado (UML). Lenguajes orientados a objetos.

13. Arquitectura Java EE/Jakarta EE: componentes, persistencia y seguridad. Características, elementos, lenguajes y funciones. Desarrollo de Interfaces. El lenguaje de programación Java. Hibernate. Modelo vista controlador. Spring.

14. Arquitectura de sistemas cliente/servidor y multicapas: componentes y operación. Arquitecturas de servicios web y protocolos asociados.

15. Modelo de desarrollo de aplicaciones basado en contenedores y microservicios. Arquitectura y soluciones. Despliegue, monitorización, escalado y administración.

16. Aplicaciones WEB. Desarrollo web front-end y back-end, multiplataforma y multidispositivo. Lenguajes: HTML, XML y sus derivaciones. Navegadores y lenguajes de programación web. Javascript y Typescript. Python. Servicios web: estándares, protocolos asociados, interoperabilidad y seguridad. Internacionalización y localización.

17. Accesibilidad, diseño universal y usabilidad. Acceso y usabilidad de las tecnologías, productos y servicios relacionados con la sociedad de la información. Confidencialidad y disponibilidad de la información en puestos de usuario final. Conceptos de seguridad en el desarrollo de los sistemas.

18. Repositorios: estructura y actualización. Generación de código y documentación. Metodologías de desarrollo. Pruebas. Programas para control de versiones. Plataformas de desarrollo colaborativo de software.

19. Construcción del sistema. Entornos de construcción y generación de código. Despliegue de aplicaciones e integración continua. Dev-Ops. Estándares de documentación. Manuales de usuario y manuales técnicos. Formación de usuarios y personal técnico: métodos y materiales.

20. Educación digital: LMS de código abierto (Moodle, Open edX), herramientas de dinamización de clases. Herramientas de autor para la creación de contenidos digitales interactivos. Learning Analytics, Competencia digital docente (Digcompedu). Herramientas de colaboración síncrona y sistemas de streaming.

Sistemas y comunicaciones

21. Administración del Sistema operativo y software de base. Actualización, mantenimiento y reparación del sistema operativo. Bastionado (Securización) del sistema operativo.

22. Administración de bases de datos. Sistemas de almacenamiento y su virtualización. Políticas, sistemas y procedimientos de backup y su recuperación. Backup de sistemas físicos y virtuales. Infraestructura física de un CPD: acondicionamiento y equipamiento.

23. Virtualización de sistemas y virtualización de puestos de usuario.

24. Administración de redes de área local. Gestión de usuarios. Gestión de dispositivos. Monitorización y control de tráfico. Virtualización de la función de red y redes definidas por software. Control de acceso de la red.

25. Conceptos de seguridad de los sistemas de información. Seguridad física. Seguridad lógica. Técnicas criptográficas y protocolos seguros. Sistemas de gestión de incidentes y análisis forense. Monitorización y correlación de eventos de seguridad. Modelos de Madurez para Centros de Operaciones de Ciberseguridad (SOC): (SIM3, SOC-CCM). Gestión de incidentes de seguridad, Funciones y Servicios del SOC. Técnicas, tácticas y procedimientos (TTPs) de los atacantes y Matriz MITRE ATT&CK.

26. Comunicaciones. Medios de transmisión. Modos de comunicación. Equipos terminales y equipos de interconexión y conmutación. Redes de comunicaciones locales y de área extensa. Redes de conmutación y redes de difusión. Comunicaciones móviles e inalámbricas. Seguridad en las comunicaciones: Cortafuegos, Web Application Firewalls y otros mecanismos de protección. Normativa reguladora.

27. El modelo TCP/IP y el modelo de referencia de interconexión de sistemas abiertos (OSI) de ISO. Protocolos TCP/IP. Internet: arquitectura de red. Origen, evolución y estado actual. Principales servicios. Protocolos HTTP, HTTPS.

28. Redes de nueva generación y servicios convergentes (NGN/IMS). VoIP, ToIP y comunicaciones unificadas. Convergencia telefonía fija-telefonía móvil.

29. Sistemas de comunicaciones móviles. Generaciones de tecnologías de telefonía móvil. Soluciones de gestión de dispositivos móviles (MDM, EMM, UEM).

30. Sistemas de videoconferencia. Protocolos. Dimensionamiento y calidad de servicio en las comunicaciones y acondicionamiento de salas y equipos.

Especialidad Audiovisuales

Principios de acústica y sonido

1. Principios básicos de acústica: transmisión del sonido como onda de presión. Conceptos físicos de la onda sonora: intensidad, tono, timbre, frecuencia, frecuencia fundamental, armónicos, ancho de banda. Magnitudes lineales y logarítmicas. Análisis espectral del sonido.

2. Recintos acústicos. Principios de acústica arquitectónica. Instrumentos y parámetros de medida de los niveles sonoros en sala. Tiempo de reverberación de una sala.

3. Transductores electroacústicos: micrófonos. Captación del audio. Diseño de micrófonos y su clasificación. Características de los micrófonos. Conexionado de micrófonos. Tipos de cables y conectores. Sistemas inalámbricos de microfonía. Tomas microfónicas. Sistemas balanceados y no balanceados.

4. Transductores electroacústicos: altavoces y cajas acústicas. Clasificación de los altavoces. Características de los altavoces. Interconexión de altavoces. Impedancias. Amplificación de sonido: Amplificadores y etapas de potencia. Sonorización de recintos.

5. Caracterización de las señales de audio. Señales de audio analógicas y digitales. Niveles de audio. Medidores de nivel. Decibelios como medida en aparatos de audio (dbm, dbV). Vúmetros, sonómetros.

6. Tratamiento digital de señales de audio. Conversión Analógico/digital de señales de audio. Compresión de audio: Formatos y protocolos.

7. Procesamiento de la señal de audio. El espectro de audio y su análisis. Procesadores de frecuencia: Ecualizadores. Procesadores de dinámica. Procesadores de tiempo. Efectos de sonido.

8. Mesas de mezclas: La mesa de mezcla de audio: clasificación según su tecnología y utilización. Mesas de audio analógicas y digitales. Niveles de señal, conectores, buses y módulos. El ajuste de la señal de audio con la mesa de mezclas: niveles y ecualización. Monitorización de señales en mesas. Conexión de mesas con sistemas de sonorización.

9. Equipos de grabación y reproducción de audio. Soportes digitales de grabación de audio. Interconexión de audio digital. Software para el procesado de audio digital. Sistemas Dante de audio.

Teoría y electrónica de video

10. Señales de vídeo: fundamentos. Principios básicos de la señal de video. El sistema visual humano. El ojo humano y su funcionamiento. Principios de video analógico. Reproducción del color en vídeo.

11. Conversión de vídeo analógico-digital. La señal digital de video. Principios básicos de vídeo digital. Sistema de escaneo entrelazado y progresivo.

12. Formatos digitales de video. Compresión de vídeo. Formatos y codecs de compresión.

13. Sistemas de captación de video. Cámara de video. Tipos de cámaras. Bloques de la cámara. El CCD, tipos y características.

14. El control de cámara. Las unidades de control de cámara. Balance de blanco y equilibrio de señal de vídeo. Filtros de cámara. Ópticas de cámaras de vídeo. Tipos de objetivos de cámaras.

15. Monitorización de la señal de video. Monitores de video. Pantallas interactivas. Señales RGB, Señal de luminancia y crominancia (Y/C) y de componentes. El vectorscopio. El monitor de forma de onda. Barras de color. Las señales test.

16. Edición y postproducción digital de vídeo. La edición de video. La incrustación de señales. Chroma key. Efectos digitales en la señal de video. Software de edición y post-producción digital de videos.

17. Iluminación de interiores y exteriores. Equipos de iluminación, fuentes luminosas y tipos de lámparas. Accesorios de control de la iluminación. Tipos de iluminación, luz dura, luz suave. Funciones de las fuentes principales de iluminación. Disposición de distintos tipos de sets para iluminar escenas en vídeo. Magnitudes y unidades luminosas.

18. Manejo de la cámara de grabación. Planos estándar. Los movimientos de la cámara. Ángulos de cámara. Principio de la composición de la imagen, encuadre y proporciones. Tipos de planos. Captación de sonido en rodajes.

Integración de sistemas Audio/Video

19. Proyectores de video, tecnologías de proyección. Tipos y características. Mantenimiento y ajuste de proyectores de vídeo.

20. Conexionado de las señales de audio y video. Cables y conectores de audio y video (analógicos y digitales). Estándares y normas de conexionado.

21. Sistemas de videoconferencias. Gestión y control. Aplicaciones software de videoconferencia.

22. Equipamiento necesario para teledocencia: integración audio/vídeo.

23. Integración de sistemas audiovisuales: sistemas de control y automatización de salas. Conectividad, interconexión, cableado, matrices y electrónica de selección, conmutación y distribución.

24. Sistemas de codificación y compresión de audio y vídeo. Sistemas de emisión y streaming. Sistemas de videoconferencia y multiconferencia. Streaming de video, plataformas y protocolos de streaming.

Tecnología base TIC y sus aplicaciones a la docencia

25. Informática básica. Representación y comunicación de la información: elementos constitutivos de un sistema de información. Características y funciones. Arquitectura de ordenadores. Componentes internos de los equipos microinformáticos.

26. Periféricos: conectividad y administración. Elementos de impresión. Elementos de almacenamiento. Elementos de visualización y digitalización.

27. Sistemas operativos. Características y elementos constitutivos. Sistemas Windows. Sistemas Unix y Linux. Sistemas macOS. Sistemas operativos para dispositivos móviles.

28. Cableados estructurados de redes. Tipología y conceptos básicos. Protocolo TCP/IP.

29. Conceptos de seguridad de los sistemas de información. Seguridad física. Seguridad lógica. Amenazas y vulnerabilidades. Seguridad en las comunicaciones.

30. Educación digital: LMS de código abierto (Moodle, Open edX), herramientas de dinamización de clases. Herramientas de autor para la creación de contenidos digitales interactivos. Learning Analytics. Competencia digital docente. Herramientas de colaboración síncrona.

ANEXO II

Proceso selectivo turno de promoción interna

El procedimiento de selección por el sistema de promoción interna constará de dos fases: oposición y concurso.

La fase de oposición constituirá el 70 % del proceso selectivo y tendrá carácter eliminatorio.

La fase de concurso constituirá el 30 % del proceso selectivo y no tendrá carácter eliminatorio.

I. Fase de oposición

La fase de oposición estará compuesta por dos ejercicios, de carácter obligatorio y eliminatorio. La puntuación máxima que podrá alcanzarse en esta fase será de 70 puntos.

Primer ejercicio:

Consistirá en contestar por escrito un cuestionario tipo test, integrado por noventa preguntas (y cinco adicionales de reserva) relacionadas con las materias que figuran en el programa del anexo I, turno promoción interna y según la especialidad a que haya optado el/la aspirante en su solicitud. Esta parte tiene por objeto apreciar las aptitudes de los aspirantes en relación con las tareas propias de las plazas que se convocan.

Para cada pregunta se propondrán cuatro respuestas alternativas, siendo sólo una de ellas la correcta. La pregunta contestada correctamente se valorará con un punto, la pregunta no contestada (es decir, que figure en blanco o con más de una respuesta) no tendrá valoración y la pregunta con contestación errónea se penalizará con el 25 % del valor asignado a la contestación correcta.

La calificación de este ejercicio será de 0 a 40 puntos, siendo necesario para aprobar obtener un mínimo de 20 puntos.

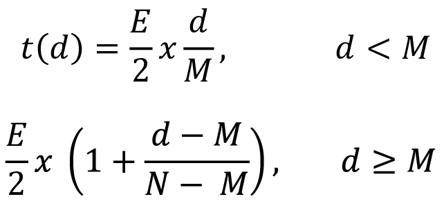
Corresponde al Tribunal Calificador determinar el número necesario de preguntas válidamente contestadas para ser calificado con 20 puntos, todo ello a la vista de la dificultad del ejercicio propuesto y grado de conocimiento alcanzado con referencia al nivel necesariamente exigible para el acceso a esta Escala. Las notas se ponderarán, en su caso, con arreglo a la fórmula establecida en el anexo III de esta convocatoria.

Este ejercicio tendrá carácter eliminatorio, de tal manera que quien no supere la nota mínima no podrá continuar con el proceso selectivo.

El tiempo de duración de este ejercicio será como máximo de setenta y cinco minutos.

Segundo ejercicio:

Consistirá en la resolución de dos supuestos prácticos a elegir entre cuatro propuestos por el Tribunal, directamente relacionados con el temario de la especialidad correspondiente del temario del programa que se incluyen como anexo I, turno de promoción interna.

Se valorará la capacidad para aplicar los conocimientos adquiridos a las situaciones prácticas que se planteen en cada uno de los supuestos a fin de elaborar una propuesta razonada para la resolución de los mismos.

Se valorará la amplitud de conocimientos y el rigor en su aplicación al supuesto, la capacidad analítica, la sistemática, la claridad y el orden en su redacción, así como el correcto uso del lenguaje utilizado.

El supuesto podrá incluir tanto preguntas de desarrollo, como la elaboración de informes, propuestas o análisis, con un máximo de cinco apartados a desarrollar.

Se calificará de 0 a 30 puntos, siendo necesario para aprobar obtener un mínimo de 15 puntos.

Corresponde al Tribunal Calificador determinar el nivel mínimo de conocimientos necesarios para ser calificado con 15 puntos, todo ello a la vista de la dificultad del ejercicio propuesto y grado de conocimiento alcanzado con referencia al nivel necesariamente exigible para el acceso a esta Escala.

Este ejercicio tendrá carácter eliminatorio, de tal manera que quien no supere la nota mínima no podrá continuar con el proceso selectivo. El tiempo máximo para la realización de este ejercicio será de cuatro horas y media.

II. Fase de concurso

Finalizada la fase de oposición, tendrá lugar la fase de concurso. Únicamente podrán participar en esta fase, quienes hayan superado la fase de oposición.

La puntuación máxima que podrá alcanzarse en esta fase será de 30 puntos, realizándose la valoración de los méritos conforme al siguiente baremo:

1. Antigüedad: Máximo 15 puntos.

La antigüedad en Cuerpos o Escalas Técnicas Auxiliares de Informática del Subgrupo C1 incluidos en el ámbito de aplicación de la Ley 30/1984, de Medidas para la Reforma de la Función Pública, así como los servicios previos reconocidos al amparo de la Ley 70/1978, de 26 de diciembre, de reconocimiento de servicios previos, se valorará teniendo en cuenta los servicios prestados hasta la fecha en que finalice el plazo de presentación de solicitudes asignándose un punto por año de servicio o fracción superior a seis meses hasta un máximo de 15 puntos.

2. Grado personal consolidado: Máximo 5 puntos.

Según el grado personal consolidado que se posea a la fecha en que finalice el plazo de presentación de solicitudes, se otorgará la siguiente puntuación:

– Hasta el grado 16: 2 puntos.

– Por cada unidad de grado que exceda de 16: 0,50 puntos, hasta un máximo de 3 puntos.

La valoración efectuada por este apartado no podrá ser modificada como consecuencia de posibles reclasificaciones efectuadas con posterioridad a la fecha en que finalice el plazo de presentación de solicitudes.

3. Trabajo desarrollado. Máximo 5 puntos.

Según el nivel de complemento de destino correspondiente al puesto de trabajo que se ocupe a la fecha en que finalice el plazo de presentación de solicitudes, se otorgará la siguiente puntuación:

– Hasta el nivel 16: 2 puntos.

– Por cada unidad de nivel que exceda de 16: 0,50 puntos, hasta un máximo de 3 puntos.

La valoración efectuada por este apartado no podrá ser modificada como consecuencia de posibles cambios de nivel de complemento de destino obtenido o reconocido con posterioridad a la fecha en que finalice el plazo de presentación de solicitudes.

4. Cursos de Formación: Máximo 5 puntos.

Se valorarán los cursos de formación recibidos por los concursantes realizados en los últimos diez (10) años hasta la fecha de finalización del plazo de presentación de solicitudes.

Por acreditar la superación (asistencia o aprovechamiento) de cursos de formación y perfeccionamiento impartidos por la Universidad Carlos III de Madrid, otras Universidades, el INAP, u otros organismos e instituciones oficiales dependientes de las administraciones públicas y cualquier otro financiado con fondos públicos, orientados al desempeño de funciones en el Cuerpo o Escala convocada bajo criterio del Tribunal Calificador, de acuerdo con el siguiente baremo:

– Cursos hasta 12 horas: 0,4 puntos.

– Cursos de 13 horas hasta 25 horas: 0,6 puntos.

– Cursos de 26 horas hasta 39 horas: 0,7 puntos.

– Cursos de 40 horas en adelante: 0,9 puntos.

Se valorarán cursos directamente relacionados con las tareas, competencias y funciones propias de los puestos de trabajo por los que se opta, así como los cursos de carácter transversal que complementan la formación.

No se valorarán cursos de formación preparatoria de procesos de promoción interna específica, preparación de procesos selectivos o cursos de apoyo.

No se valorarán los cursos que no acrediten las fechas ni horas de realización.

En el caso de aportar varias ediciones de un mismo curso o cursos de contenido similar, únicamente se valorará uno de ellos, el que tenga más horas lectivas.

Conforme a lo establecido en la base tercera de la presente convocatoria se tendrán en cuenta los cursos de formación realizados hasta la fecha de finalización del plazo de presentación de solicitudes de participación en el presente proceso selectivo.

Turno libre

El procedimiento de selección por el sistema de acceso libre constará de dos fases: oposición y concurso.

La fase de oposición constituirá el 70 % del proceso selectivo y tendrá carácter eliminatorio. La fase de concurso constituirá el 30 % del proceso selectivo y no tendrá carácter eliminatorio.

I. Fase de oposición

La fase de oposición estará compuesta por dos ejercicios, todos de carácter obligatorio y eliminatorio. La puntuación máxima de esta fase será de 70 puntos.

Primer ejercicio: Consistirá en contestar por escrito un cuestionario tipo test, integrado por noventa preguntas (y cinco adicionales de reserva) relacionadas con las materias que figuran en el programa del anexo I, turno libre y según la especialidad que corresponda al aspirante. Esta parte tiene por objeto apreciar las aptitudes de los aspirantes en relación con las tareas propias de las plazas que se convocan.

Para cada pregunta se propondrán cuatro respuestas alternativas, siendo sólo una de ellas la correcta. La pregunta contestada correctamente se valorará con un punto, la pregunta no contestada (es decir, que figure en blanco o con más de una respuesta) no tendrá valoración y la pregunta con contestación errónea se penalizará con la tercera parte del valor asignado a la contestación correcta.

La calificación de este ejercicio será de 0 a 40 puntos, siendo necesario para aprobar obtener un mínimo de 20 puntos.

Corresponde al Tribunal Calificador determinar el número necesario de preguntas válidamente contestadas para ser calificado con 20 puntos, todo ello a la vista de la dificultad del ejercicio propuesto y grado de conocimiento alcanzado con referencia al nivel necesariamente exigible para el acceso a esta Escala. Las notas se ponderarán, en su caso, con arreglo a la fórmula establecida en el anexo III de esta convocatoria.

Este ejercicio tendrá carácter eliminatorio, de tal manera que quien no supere la nota mínima no podrá continuar con el proceso selectivo. El tiempo de duración de este ejercicio será como máximo de setenta y cinco minutos.

Segundo ejercicio: Consistirá en la resolución de dos supuestos prácticos a elegir entre tres propuestos por el Tribunal, directamente relacionados con el temario de la especialidad correspondiente del temario del programa que se incluyen como anexo I, turno libre. Se valorará la capacidad para aplicar los conocimientos adquiridos a las situaciones prácticas que se planteen en cada uno de los supuestos a fin de elaborar una propuesta razonada para la resolución del supuesto práctico.

Se valorará la amplitud de conocimientos y el rigor en su aplicación al supuesto, la capacidad analítica, la sistemática, la claridad y el orden en su redacción, así como el correcto uso del lenguaje utilizado.

El supuesto podrá incluir tanto preguntas de desarrollo, como la elaboración de informes, propuestas o análisis.

El ejercicio se calificará de 0 a 30 puntos, siendo necesario para aprobar obtener un mínimo de 15 puntos.

Corresponde al Tribunal Calificador determinar el nivel mínimo de conocimientos necesarios para ser calificado con 15 puntos, todo ello a la vista de la dificultad del ejercicio propuesto y grado de conocimiento alcanzado con referencia al nivel necesariamente exigible para el acceso a esta Escala.

Este ejercicio tendrá carácter eliminatorio, de tal manera que quien no supere la nota mínima no podrá continuar con el proceso selectivo.

El tiempo máximo para la realización de este ejercicio será de cuatro horas y media.

II. Fase de concurso

Finalizada la fase de oposición, tendrá lugar la fase de concurso. Únicamente podrán participar en esta fase, quienes hayan superado la fase de oposición.

La puntuación máxima que podrá alcanzarse en esta fase será de 30 puntos, realizándose la valoración de los méritos conforme al siguiente baremo:

1. Experiencia profesional: Máximo 23 puntos.

Se valorará la experiencia profesional acreditada, conforme al siguiente baremo:

– Experiencia como personal funcionario en el Cuerpo o Escala de la plaza convocada en la Universidad Carlos III de Madrid: 0,32 puntos por mes trabajado.

– Experiencia como personal funcionario en Cuerpos o Escalas de la plaza convocada en otras Universidades Públicas de la Comunidad de Madrid: 0,11 puntos por mes trabajado.

– Experiencia como personal funcionario en Cuerpos o Escalas de la plaza convocada en otras Administraciones Públicas: 0,09 puntos por mes trabajado.

Para acreditar la experiencia profesional será necesario presentar certificado expedido por la Administración correspondiente que acredite los servicios prestados en el que deberá constar expresamente subgrupo, escala y la antigüedad.

En el caso de poseer experiencia profesional como personal funcionario en la Universidad Carlos III de Madrid no será necesaria la aportación del certificado por el interesado/a, siendo adjuntada de oficio por la propia Universidad.

Conforme a lo establecido en la base cuarta de la presente convocatoria se tendrán en cuenta los servicios prestados hasta la fecha de finalización del plazo de presentación de solicitudes de participación en el presente proceso selectivo.

En el supuesto de que la jornada sea a tiempo parcial se computará como jornada completa siempre que sea igual o superior al 50 % de ésta última.

La experiencia profesional que se acredite en años se transformará en meses, a razón de doce meses por año, y la expresada en días se transformará en meses, a razón de treinta días naturales por mes. Los días que, tras practicar estas operaciones, resulten sobrantes, quedarán descartados a todos los efectos.

2. Cursos de Formación: Máximo 7 puntos.

Se valorarán los cursos de formación y perfeccionamiento organizados e impartidos por Universidades, así como por centros oficiales reconocidos por el Ministerio de Educación y Formación Profesional y los impartidos por organismos e instituciones oficiales dependientes de las administraciones públicas y cualquier otro financiado con fondos públicos, orientados al desempeño de funciones en el cuerpo o escala convocada bajo criterio del Tribunal Calificador, de acuerdo con el siguiente baremo:

– Cursos hasta 12 horas: 0,7 puntos.

– Cursos de 13 horas hasta 25 horas: 0,9 puntos.

– Cursos de 26 horas hasta 39 horas: 1,1 puntos.

– Cursos de 40 horas en adelante: 1,3 puntos.

Se valorarán cursos directamente relacionados con las tareas, competencias y funciones propias de los puestos de trabajo por los que se opta, así como los cursos de carácter transversal que complementan la formación.

No se valorarán cursos de formación pertenecientes a una carrera universitaria, las materias o créditos que formen parte de una titulación académica ni los de doctorado, los diplomas relativos a jornadas, seminarios, simposios y similares.

No se valorarán cursos de formación preparatoria de procesos de promoción interna específica, preparación de procesos selectivos o cursos de apoyo.

No se valorarán cursos de formación referentes a certificados de profesionalidad o acreditación de cualificaciones profesionales.

No se valorarán los cursos que no acrediten las fechas ni horas de realización.

En el caso de aportar varias ediciones de un mismo curso o cursos de contenido similar, únicamente se valorará uno de ellos, el que tenga más horas lectivas.

Conforme a lo establecido en la base cuarta de la presente convocatoria se tendrán en cuenta los cursos de formación realizados hasta la fecha de finalización del plazo de presentación de solicitudes de participación en el presente proceso selectivo y para poder ser valorados, los cursos no pueden tener una antigüedad superior a ocho años desde la citada fecha.

Criterios de desempate

En caso de igualdad en la puntuación total, se aplicarán los criterios de desempate establecidos en la base 5.4.

ANEXO III

Fórmula matemática para el cálculo de la puntuación del ejercicio de la fase de oposición

La puntuación directa del ejercicio se calcula conforme a la fórmula siguiente:

Siendo «A» el número de aciertos y «E» el de errores:

A-(E/3)

Cada pregunta tiene el valor de un punto si se contesta correctamente, las respuestas erróneas penalizan 1/3 y las respuestas en blanco no penalizan.

Fórmula conversión

Fórmula matemática para el cálculo de la puntuación ponderada del ejercicio de la fase de oposición

La calificación del ejercicio resultará de la transformación de las puntuaciones directas que se deriven de los baremos establecidos por el tribunal calificador.

Reconversión de notas estableciendo nota de corte:

Para el cálculo de las calificaciones (puntuaciones transformadas) se aplicará la siguiente fórmula:

Imagen: /datos/imagenes/disp/2025/223/18329_16075918_1.png

Siendo:

t(d): Calificación (puntuación transformada) del opositor.

d: Puntuación directa del opositor.

M: Puntuación directa mínima (nota de corte) para superar el ejercicio, establecida por la Comisión Permanente de Selección.

N: Puntuación directa máxima obtenible en el ejercicio.

E: Calificación máxima (puntuación transformada máxima) obtenible en el ejercicio.

El cálculo de la calificación (puntuación transformada) se establece sobre la base de la puntuación directa mínima (nota de corte) necesaria para superar el ejercicio, determinada por el Tribunal Calificador.

En el caso de que la puntuación directa del opositor sea inferior a la puntuación directa mínima (nota de corte) para superar el ejercicio o parte del ejercicio, se aplicará el primer tramo de la fórmula (d < M).

En el caso de que la puntuación directa del opositor sea igual o superior a la puntuación directa mínima (nota de corte) para superar el ejercicio o parte del ejercicio, se aplicará el segundo tramo de la fórmula (d ≥ M).

ANEXO IV
Adaptaciones

Listado de adaptaciones compensatorias (Señalar con una cruz lo que corresponda)

Don/doña ......................................................................................................................, con DNI número ................................., aspirante del proceso selectivo para el ingreso en la Escala de Gestión de Sistemas e Informática de la UC3M, Solicita:

Ampliación del tiempo de examen.
  Colocación en las primeras filas.
  Mesa adaptada para usuarios de sillas de ruedas.
  Aumento del nivel de iluminación.
  Preguntas de examen y folios ampliados en tamaño.
  Preguntas de examen y folios en alto contraste.
  Transcripción en sistema Braille.
  Posibilidad de uso de máquinas de escribir en sistema Braille.
  Posibilidad de uso de medios de ampliación de imagen.
  Instrucciones generales e instrucciones durante las pruebas, siempre por escrito.
  Disponibilidad de equipos de frecuencia modulada para personas con deficiencia auditiva.
  Intérprete de lengua de signos.
  Posibilidad de uso del ordenador e impresora u otras ayudas técnicas para la comunicación escrita.
  Necesidad de alimentación eléctrica para ayudas técnicas para la comunicación.
  Otras:

En ..........................., a ........ de .......................... de 2025. 

Fdo.: ...............................

DESTINATARIO Dirección de Recursos Humanos y Organización del PTGAS.

ANÁLISIS

  • Rango: Resolución
  • Fecha de disposición: 08/09/2025
  • Fecha de publicación: 16/09/2025
  • Convocatoria. Subgrupo A2. Promoción interna 6 plazas. Turno libre 13 plazas.
Referencias posteriores

Criterio de ordenación:

  • SE CORRIGEN errores, por Resolución de 25 de noviembre de 2025 (Ref. BOE-A-2025-23890).

subir

Agencia Estatal Boletín Oficial del Estado

Avda. de Manoteras, 54 - 28050 Madrid