Contingut no disponible en català

Us trobeu en

Documento BOE-A-2025-19035

Resolución de 17 de septiembre de 2025, de la Universidad Internacional Menéndez Pelayo, O.A., por la que se publica el Convenio con Clustag, SL, para la realización de prácticas académicas externas por parte de estudiantes de postgrado.

Publicado en:
«BOE» núm. 231, de 25 de septiembre de 2025, páginas 123656 a 123668 (13 págs.)
Sección:
III. Otras disposiciones
Departamento:
Ministerio de Ciencia, Innovación y Universidades
Referencia:
BOE-A-2025-19035

TEXTO ORIGINAL

La Universidad Internacional Menéndez Pelayo, OA, y Clustag, SL, han suscrito, con fecha 16 de septiembre de 2025, un convenio para que los alumnos de los programas de postgrado de la UIMP puedan realizar en dicha entidad sus prácticas académicas externas curriculares o extracurriculares y proyectos de fin de Máster, por lo que conforme a lo previsto en el artículo 48.8 de la Ley 40/2015, de 1 de octubre, de Régimen Jurídico del Sector Público, una vez inscrito en el Registro Electrónico Estatal de Órganos e Instrumentos de Cooperación del sector público estatal, procede la publicación en el «Boletín Oficial del Estado» de dicho convenio, que figura como anexo a esta resolución.

Madrid, 17 de septiembre de 2025.–El Rector de la Universidad Internacional Menéndez Pelayo, OA, P. D. (Resolución de 24 de abril de 2019), el Gerente, P. S. (Estatuto de la Universidad Internacional Menéndez Pelayo, aprobado por Real Decreto 331/2002, de 5 de abril. BOE de 12 de abril), el Vicegerente, Jesús Güemes Mutilba.

ANEXO
Convenio entre la Universidad Internacional Menéndez Pelayo, OA, y Clustag, SL, para la realización de prácticas académicas externas por parte de estudiantes de postgrado de la UIMP

REUNIDOS

De una parte, don Carlos Andradas Heranz, en nombre y representación de la Universidad Internacional Menéndez Pelayo, OA (en adelante, UIMP), (entidad con NIF. Q2818022B y domicilio social en calle Isaac Peral, 23, 28040 Madrid), en su condición de rector magnífico, que actúa facultado por su nombramiento realizado por Real Decreto 872/2021, de 5 de octubre, y haciendo uso de las atribuciones que tiene conferidas en el artículo 12 del Estatuto de la Universidad Internacional Menéndez Pelayo, aprobado por el Real Decreto 331/2002, de 5 de abril.

Y, de otra parte, don Luis Rius Pascual, representante legal de Clustag, SL (entidad con NIF. B98699572 y domicilio social en el Pol. Industrial el Pla, Carrer del Jacquard, 29, 46870 Ontinyent, Valencia, España), en su condición de CEO y haciendo uso de los poderes otorgados ante el notario del Ilustre Colegio Notarial de Valencia, don Enrique Martí Sánchez de León, mediante escritura de fecha 4 de marzo de 2021 y número de protocolo 489, poderes que declara no le han sido revocados, ni disminuidos.

EXPONEN

I. Que la UIMP, creada por Decreto de 10 de noviembre de 1945, y regulada en la actualidad por el Estatuto de la Universidad Internacional Menéndez Pelayo, aprobado por el Real Decreto 331/2002, de 5 de abril, está adscrita al Ministerio de Ciencia, Innovación y Universidades de España y tiene personalidad jurídica y patrimonio propios.

Que la UIMP, de acuerdo con lo que establece su Estatuto, es un centro universitario de alta cultura, investigación y especialización, en el que convergen actividades de distintos grados y especialidades universitarias, que tiene como misión difundir la cultura y la ciencia, fomentar las relaciones de intercambio e información científica y cultural de interés internacional e interregional y el desarrollo de actividades de alta investigación y especialización, cooperando cuando ello sea conveniente con otras universidades o instituciones españolas o extranjeras.

A tal fin organiza y desarrolla programas de investigación, cursos de lengua y cultura española para extranjeros, cursos y reuniones de trabajo de carácter internacional e interregional dirigidas al estudio de problemas o áreas específicas de investigación y programas de tercer ciclo que acredita con los correspondientes títulos oficiales de máster y doctor y otros títulos propios y diplomas de postgrado que la misma expida.

Que dentro de su actividad en el campo de la educación de postgrado, la UIMP es consciente de la conveniencia de facilitar a sus alumnos la posibilidad de realizar prácticas académicas en empresas y otras entidades públicas o privadas, que les permitan aplicar y complementar los conocimientos adquiridos, favoreciendo la adquisición de competencias que les preparen para el ejercicio de actividades profesionales, faciliten su empleabilidad y fomenten su capacidad de emprendimiento, todo ello de acuerdo con lo previsto en el Real Decreto 592/2014, de 11 de julio, por el que se regulan las prácticas académicas externas de los estudiantes universitarios.

II. Que Clustag, SL, es una empresa tecnológica especializada en soluciones RFID aplicadas a la intralogística y la cadena de suministro. Diseñan, instalan y gestionan sistemas de identificación y trazabilidad que permiten a retailers y grandes marcas controlar en tiempo real sus flujos de mercancía, reducir errores y optimizar la eficiencia operativa.

Que Clustag, SL tiene interés en colaborar con la UIMP estableciendo un convenio que establezca el marco permanente de colaboración que permita la incorporación temporal de estudiantes de los programas de postgrado de la UIMP, con el objeto de que puedan realizar sus prácticas académicas externas curriculares o extracurriculares y trabajos de fin de máster.

En consecuencia, las partes acuerdan suscribir el presente convenio, de conformidad con lo establecido en el Real Decreto 592/2014, de 11 de julio, por el que se regulan las prácticas académicas externas de los estudiantes universitarios, y con sujeción a las siguientes

CLÁUSULAS

Primera. Objeto del convenio.

El objeto del presente convenio es regular la relación entre la UIMP y Clustag, SL, con el fin de que los alumnos de los programas de postgrado de la puedan realizar en Clustag, SL sus prácticas académicas externas curriculares o extracurriculares y proyectos de fin de máster, en las condiciones que se establecen en las cláusulas siguientes, que se completarán en sucesivos anexos para cada uno de los alumnos y periodos de prácticas.

El objeto de las prácticas será la realización de tareas adecuadas al área y nivel de formación de los alumnos, de forma que los mismos puedan mejorar su cualificación profesional completando su formación teórica con un aprendizaje práctico que les proporcione el conocimiento de la metodología de trabajo adecuada a la realidad profesional en la que los estudiantes habrán de operar y les permita aplicar los conocimientos adquiridos, a la vez que se favorece que los estudiantes puedan desarrollar competencias técnicas, metodológicas, personales y participativas, así como valores de innovación, creatividad y emprendimiento y adquirir una experiencia práctica enriquecedora que les facilite la inserción en el mercado de trabajo.

Las prácticas que los alumnos realicen en Clustag, SL, podrán ser de diferentes modalidades:

Prácticas curriculares, se configuran como actividades académicas integrantes del plan de estudios de que se trate.

Prácticas extracurriculares, son aquellas que los estudiantes podrán realizar con carácter voluntario durante su periodo de formación y que, aun teniendo los mismos fines que las prácticas curriculares, no forman parte del correspondiente plan de estudios. No obstante, serán contempladas en el suplemento europeo al título conforme determine la normativa vigente.

Realización de proyecto, establecido en los planes de estudio y con contenido y título definido de común acuerdo.

En lo sucesivo, entenderemos que el término general de «prácticas» puede englobar a cualquiera de los tipos anteriormente enunciados.

Segunda. Requisitos de los alumnos.

I. Podrán realizar prácticas académicas externas:

Los estudiantes matriculados en la UIMP o en los centros adscritos a la misma.

Los estudiantes de otras universidades españolas o extranjeras que se encuentren cursando estudios en la UIMP, o en sus centros adscritos, en virtud de programas de movilidad o de convenios establecidos.

II. Dichos estudiantes deberán asimismo cumplir los siguientes requisitos:

Estar matriculados en la enseñanza de postgrado impartida por la UIMP que se vincule a las competencias básicas, genéricas y/o específicas a adquirir en la práctica. En el caso de prácticas curriculares el estudiante deberá estar matriculado en la asignatura vinculada a la práctica según el plan de estudios.

No mantener ninguna relación contractual con Clustag, SL, salvo autorización especial de la UIMP.

Tercera. Naturaleza formativa de las prácticas y régimen de seguridad social y seguros.

I. Las prácticas académicas externas constituyen una actividad de naturaleza formativa realizada por los estudiantes y supervisada por la UIMP.

Dada la naturaleza formativa de las prácticas, de su realización no se derivarán, en ningún caso, obligaciones propias de una relación laboral, ni su contenido podrá dar lugar a la sustitución de la prestación laboral propia de puestos de trabajo.

II. En el caso de que al término de los estudios el estudiante se incorporase a la plantilla de Clustag, SL el tiempo de las prácticas no se computará a efectos de antigüedad ni eximirá del periodo de prueba salvo que en el correspondiente convenio colectivo aplicable estuviese expresamente estipulado algo distinto.

En el ámbito de las administraciones públicas y demás entidades de derecho público, la realización en las mismas de prácticas académicas externas no podrá tener la consideración de mérito para el acceso a la función pública ni será computada a efectos de antigüedad o reconocimiento de servicios previos.

III. Ambas partes se comprometen al cumplimiento de la legislación en materia de seguridad social en relación con las prácticas objeto de este convenio, de conformidad con la normativa sobre esta materia que se encuentre vigente en el momento de formalizarse cada uno de los anexos de prácticas, sin que en el presente convenio se establezca ninguna salvedad respecto a lo que disponga dicha legislación con carácter general.

IV. La universidad no asume responsabilidad en caso de accidente del alumno o daños producidos por éste salvo contingencias cubiertas por el seguro escolar (alumnos menores o con 28 años) o, en el caso de prácticas curriculares, por el seguro que pueda estar incluido en la organización del máster.

Cuarta. Duración de las prácticas y horario.

I. La duración de cada una de las prácticas se establecerá teniendo en cuenta los siguientes criterios:

Las prácticas externas curriculares tendrán la duración que se establezca en el plan de estudios correspondiente.

Las prácticas externas extracurriculares tendrán una duración preferentemente no superior al cincuenta por ciento del curso académico. Se asegurará en todo caso que las prácticas no interfieran con el correcto desarrollo y seguimiento de las actividades académicas del estudiante.

El tiempo de realización de los proyectos de fin de máster será como máximo hasta la fecha de presentación del mismo según el plan de estudios que curse el alumno.

II. Los horarios de realización de las prácticas se establecerán de acuerdo con las características de las mismas y las disponibilidades de Clustag, SL, En todo caso se procurará que sean compatibles con la actividad académica, formativa y de representación y participación desarrollada por el estudiante en la UIMP.

III. Tanto la duración como el horario de cada una de las prácticas quedarán recogidos en su correspondiente anexo de formalización, según consta en la cláusula séptima.

Quinta. Proyecto formativo.

El proyecto formativo en que se concreta la realización de cada una de las prácticas académicas externas deberá fijar los objetivos educativos y las actividades a desarrollar. Los contenidos de la práctica se definirán de forma que aseguren la relación directa de las competencias a adquirir con los estudios cursados.

El proyecto formativo de cada práctica quedará recogido en el correspondiente anexo de formalización de la misma, según consta en la cláusula séptima.

Sexta. Tutorías. Mecanismos de seguimiento y control.

Las partes firmantes designarán para cada período de prácticas concreto a sendos tutores, que serán los responsables de la coordinación, seguimiento y evaluación de las prácticas en estrecha relación con el alumno.

El tutor de Clustag, SL, deberá ser una persona vinculada a la entidad con experiencia profesional y los conocimientos necesarios para realizar una tutela efectiva.

El tutor académico de la UIMP deberá ser para prácticas curriculares un profesor del máster o estudio de postgrado que está cursando el estudiante, y para prácticas extracurriculares preferentemente un profesor de la misma rama de conocimiento de la enseñanza cursada.

Ambos tutores se coordinarán para el desarrollo de las actividades establecidas en el proyecto formativo, incluyendo aquellas modificaciones que pudieran ser necesarias para el normal desarrollo de la práctica, así como para la comunicación y resolución de posibles incidencias que pudieran surgir y el control de permisos para la realización de exámenes.

El tutor de Clustag, SL, y el tutor académico de la UIMP tendrán los derechos y deberes que respectivamente se recogen en los artículos 11 y 12 del Real Decreto 592/2014, de 11 de julio, por el que se regulan las prácticas académicas externas de los estudiantes universitarios, y que, para su conocimiento, se relacionarán al dorso del anexo de formalización de cada práctica.

La designación como tutor por parte de Clustag, SL, para la realización de prácticas en desarrollo de este convenio no dará derecho a ninguna retribución ni compensación económica por parte de la UIMP. La UIMP reconocerá la labor realizada por los tutores de Clustag, SL, enviando a los tutores que lo soliciten un certificado de la Universidad donde consten la actividad realizada y período de realización.

Séptima. Anexos para determinar cada práctica.

Para la incorporación de cualquier alumno a este convenio es necesario el previo y común acuerdo de las tres partes implicadas –Clustag, SL, alumno y UIMP–, materializado con la firma del correspondiente anexo de formalización de la práctica, que se incorporará a este convenio, y en el que se refleje las condiciones específicas de la práctica a seguir por el alumno, según modelo que se incluye como anexo I.

En cada anexo se detallará el nombre del alumno, el tipo de práctica, el número de créditos fijados en el plan de estudio (si se trata de curriculares), el proyecto formativo (objetivos y actividades), las fechas de comienzo y finalización, los tutores, el horario, lugar de desarrollo, el importe de la bolsa de estudios –si la hubiera– y en su caso otras condiciones específicas de dicha práctica. En dicho documento se recogerá asimismo la aceptación por parte del alumno de las condiciones establecidas en este convenio y se detallarán los derechos y deberes de los estudiantes y de los tutores.

Con la finalidad de mantener actualizado en todo momento el registro de alumnos participantes en el presente convenio, Clustag, SL comunicará por escrito a la UIMP cualquier incidencia o modificación en las fechas de inicio o cese, horario u otras circunstancias que se produzca en cada práctica que se realice en la empresa en relación con lo acordado en su anexo correspondiente.

Octava. Derechos y deberes de los estudiantes.

Durante el periodo de prácticas cada alumno estará sujeto a las normas generales de trabajo propias de Clustag, SL, especialmente en lo referido al cumplimiento del horario, régimen de permisos, identificación, normas de seguridad y de prevención de riesgos laborales, etc., para lo que recibirá la adecuada información. Asimismo, los alumnos mostrarán en todo momento una actitud respetuosa hacia la política de Clustag, SL.

Los estudiantes estarán obligados a guardar confidencialidad en relación con la información interna de Clustag, SL, y guardar secreto profesional sobre sus actividades, durante su estancia y finalizada ésta.

Además de lo señalado en este convenio, los estudiantes en prácticas tendrán todos los derechos y deberes que se recogen en el artículo 9 del citado Real Decreto 592/2014, de 11 de julio, por el que se regulan las prácticas académicas externas de los estudiantes universitarios, que, para su conocimiento, se resumen al dorso del anexo de formalización de la práctica.

Novena. Informes, evaluación de las prácticas y reconocimiento.

A la finalización de cada una de las prácticas:

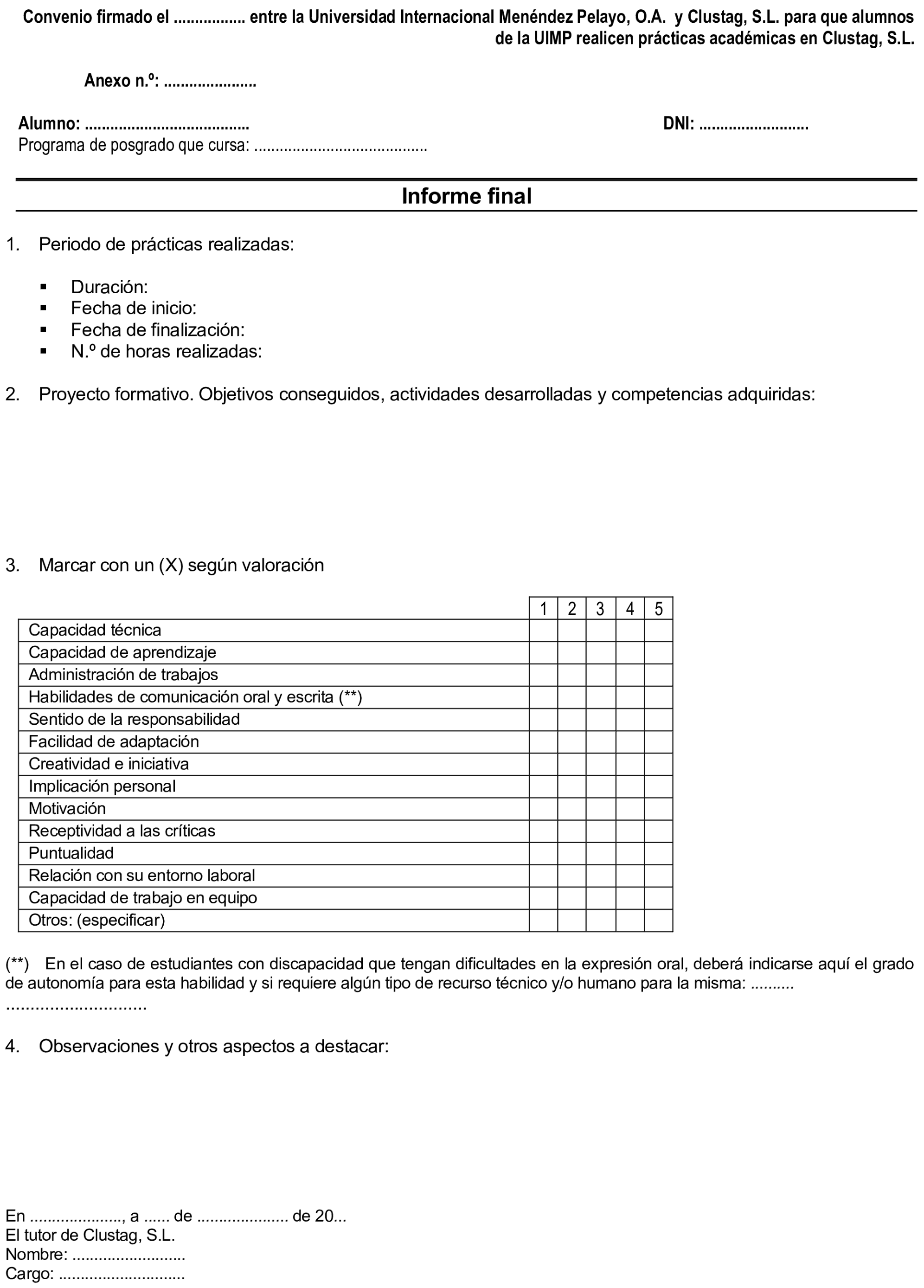
I. El tutor de Clustag, SL, realizará y enviará al tutor académico de la UIMP y a la UIMP un informe final según modelo que se adjunta como anexo II, en el que se recogerá el número de horas realizadas por el estudiante y se valorarán diversas capacidades y actitudes en relación con las competencias genéricas y específicas previstas en el proyecto formativo.

II. El estudiante elaborará y entregará al tutor académico de la UIMP una memoria final en la que deberán figurar, entre otros, los siguientes aspectos:

Datos personales del estudiante.

Entidad colaboradora en la que ha realizado las prácticas y lugar de ubicación.

Descripción concreta y detallada de las tareas, trabajos desarrollados y departamentos de la entidad a los que ha estado asignado.

Valoración de las tareas desarrolladas con los conocimientos y competencias adquiridos en relación con los estudios universitarios que cursa.

Relación de los problemas planteados y el procedimiento seguido para su resolución.

Identificación de las aportaciones que, en materia de aprendizaje, han supuesto las prácticas.

Evaluación de las prácticas y sugerencias de mejora.

III. El tutor académico de la UIMP, a la vista del informe del tutor de Clustag, SL y de la memoria final presentada por el estudiante, evaluará las prácticas cumplimentando el correspondiente informe de valoración.

IV. La UIMP emitirá, a solicitud del estudiante, y a la vista del informe de valoración de su tutor, un documento acreditativo de las mismas, que contendrá al menos los siguientes aspectos:

Titular del documento.

Entidad colaboradora donde se realizaron las prácticas.

Descripción de la práctica especificando su duración y fechas de realización.

Actividades realizadas.

Aquellos otros que la UIMP considere convenientes.

Décima. Bolsa o ayuda al estudio.

En concepto de bolsa o ayuda al estudio, Clustag, SL, podrá, si lo considera oportuno, conceder a cada alumno participante en el programa una cantidad mensual que dependerá del curso académico del alumno, de su dedicación horaria y del tiempo de duración de la práctica. El importe, si lo hubiera, se recogerá en el anexo de formalización de la práctica.

Undécima. Gastos de gestión del programa de prácticas por la UIMP.

La UIMP renuncia a percibir de Clustag, SL cantidad alguna en concepto de gastos de gestión de las prácticas cuando éstas sean curriculares y realización de proyectos.

Para el caso de prácticas académicas externas extracurriculares Clustag, SL, abonará a la UIMP la cantidad de cuarenta euros (40 €) –I.V.A. exento– por cada práctica –o ampliación de prácticas– que se realice al amparo de este convenio, en concepto de gastos de gestión de dichas prácticas. Este importe no podrá ser en ningún caso a cargo de las partidas o créditos destinados a becas o a ayudas.

Para cada uno de los anexos firmados, el pago señalado en el párrafo anterior se hará de una sola vez en el plazo máximo de un mes desde la recepción de la factura que emita la UIMP a la firma del anexo de formalización. La cantidad se transferirá a la cuenta n.º ES95-9000-0001-20-0200008606 abierta a nombre de la Universidad Internacional Menéndez Pelayo en el Banco de España, agencia de Madrid.

No procederá la devolución del importe cobrado por gestión del programa de prácticas, ni total ni parcialmente, en caso de anulación parcial o total de una práctica según lo establecido en la cláusula duodécima.

Duodécima. Finalización anticipada de las prácticas.

I. La UIMP se reserva la facultad de dar por finalizada una práctica por incumplimiento por parte de Clustag, SL, del pago de la cantidad estipulada en la cláusula undécima o del resto de compromisos adquiridos en este convenio y sus anexos.

Asimismo, la UIMP podrá solicitar la finalización de un periodo de prácticas en caso de que su tutor académico valore que las actividades que se están desarrollando no corresponden con lo pactado en el proyecto formativo y, por tanto, no son útiles para el desarrollo de las capacidades y competencias curriculares del alumno, sin que este hecho haya podido ser solucionado a través de la oportuna coordinación y comunicación con el tutor designado por Clustag, SL, para dicha práctica. La UIMP deberá notificar este hecho a Clustag, SL, quien podrá reorganizar las tareas del alumno o dar por finalizada la práctica en el plazo de diez días desde la recepción de la notificación.

II. Clustag, SL podrá, por su parte, dar por finalizada, para un determinado alumno o grupo de alumnos, la participación en el programa por incumplimiento de las cláusulas establecidas en el presente convenio y en sus anexos, o vulneración de las normas que, en relación con la realización de las actividades programadas, estén, en cada caso, vigentes (faltas de puntualidad o de asistencia, incorrecto comportamiento, manifiesta falta de adecuación entre las tareas a realizar y la formación y aptitudes del alumno, actitud negativa o inapropiada del alumno, falta del deber de confidencialidad, etc.), sin que estos problemas hayan podido ser solucionados a través de la oportuna coordinación y comunicación con el tutor designado por la UIMP. En este caso bastará la comunicación escrita y motivada al alumno, al tutor de la UIMP y a la UIMP para el cese de la relación de prácticas de dicho alumno.

III. Asimismo, podrán darse por finalizadas las prácticas de un alumno o un grupo de alumnos, cuando concurran alguna de las siguientes circunstancias: cese de actividades de cualquiera de las partes; fuerza mayor que impida el desarrollo de las actividades programadas; mutuo acuerdo entre las tres partes intervinientes o renuncia expresa del alumno seleccionado.

Decimotercera. Difusión de la colaboración.

La UIMP se compromete a considerar a Clustag, SL como entidad colaboradora de sus programas de prácticas, y a difundirlo así en la memoria oficial anual del organismo y en cuantos medios considere conveniente.

Decimocuarta. Protección de datos.

Ambas partes se comprometen a que el tratamiento de los datos de carácter personal que se conozcan en función de este convenio, así como los relativos a los estudiantes que realicen prácticas académicas externas, se realizará de conformidad con lo que establezca la legislación española vigente en materia de protección de datos de carácter personal.

Decimoquinta. Titularidad de los resultados.

Las partes se comprometen a cumplir la legislación vigente en materia de propiedad intelectual y titularidad de los resultados que se puedan conseguir en ejecución de las actividades objeto de este convenio.

Decimosexta. Modificación del convenio.

La modificación del contenido del convenio requerirá acuerdo unánime de los firmantes y se recogerá expresamente mediante la firma de una adenda.

Decimoséptima. Vigencia.

Este convenio tendrá efectos a partir de que, una vez firmado, se inscriba en el Registro Electrónico estatal de Órganos e Instrumentos de Cooperación del sector público estatal en el plazo de cinco días hábiles desde su formalización. Asimismo, será publicado en el «Boletín Oficial del Estado» en el plazo de diez días hábiles desde su formalización, según se establece en el artículo 48.8 de la Ley 40/2015, de 1 de octubre, de Régimen Jurídico del Sector Público. Tendrá una duración de cuatro años, sin perjuicio del total cumplimiento de los compromisos adquiridos por cada una de las partes.

El convenio podrá prorrogarse con anterioridad a su finalización por un único periodo adicional de cuatro años mediante acuerdo expreso de las partes.

Decimoctava. Extinción y causas de resolución del convenio.

I. El convenio se extingue por el cumplimiento de las actuaciones que constituyen su objeto o por incurrir en causa de resolución.

II. Son causas de resolución, con los efectos que legalmente procedan:

a) El transcurso del plazo de vigencia del convenio sin haberse acordado la prórroga del mismo.

b) El acuerdo unánime de los firmantes.

c) La imposibilidad sobrevenida de cumplir el fin del mismo por la extinción de la personalidad jurídica de alguna de las partes o el cese de sus actividades.

d) El incumplimiento de las obligaciones y compromisos asumidos por parte de alguno de los firmantes.

e) Por decisión judicial declaratoria de nulidad del convenio.

f) Por cualquier otra causa prevista en la legislación vigente.

III. Asimismo, ambas partes se reservan la facultad de rescindir unilateralmente este convenio en cualquier momento si lo consideran conveniente, comunicándoselo por escrito a la otra parte con una antelación de dos meses. En el caso de que hubiese periodos de prácticas en desarrollo, el convenio mantendrá su vigencia hasta la finalización de los mismos.

IV. Las partes estarán obligadas a comunicarse por escrito la acreditación de la concurrencia de la causa de resolución invocada, con una antelación de un mes a la fecha de su efectividad.

En el caso de incumplimiento recogido en el apartado d) la otra parte podrá notificar a la parte incumplidora un requerimiento para que en el plazo de quince días naturales cumpla con las obligaciones o compromisos incumplidos. Si transcurrido dicho plazo persistiera el incumplimiento la parte que lo detectó notificará a la incumplidora la concurrencia de la causa de resolución y se entenderá resuelto el convenio con eficacia desde la inscripción de la resolución en el Registro Electrónico estatal de Órganos e Instrumentos de Cooperación del sector público estatal.

V. Las partes se comprometen a garantizar que, tanto en el caso de extinción del convenio como en el caso de resolución, –con excepción de la resolución por la causa c)–, los alumnos que estén realizando en ese momento prácticas puedan terminarlas con normalidad y según lo recogido en el convenio.

Decimonovena. Naturaleza jurídica y régimen de resolución de conflictos.

El presente convenio tiene naturaleza administrativa, y se rige en primer término por el capítulo VI del título preliminar de la Ley 40/2015, de 1 de octubre, de Régimen Jurídico del Sector Público y por el Real Decreto 592/2014, de 11 de julio, por el que se regulan las prácticas académicas externas de los estudiantes universitarios.

Las partes se comprometen a intentar resolver de manera amistosa cualquier desacuerdo que pudiera surgir en el desarrollo, interpretación o cumplimiento del presente convenio, en primer término a través de los tutores para cada una de las prácticas y en segundo término a través del responsable del vicerrectorado de investigación y postgrado de la UIMP, o del vicerrectorado que en caso de una remodelación de la estructura de la universidad asuma las competencias en materia de estudios de postgrado.

En caso de no ser posible una solución amigable, y resultar procedente litigio judicial, ambas partes se someten expresamente a la jurisdicción contencioso-administrativa, siendo el órgano competente la Audiencia Nacional, de conformidad con el artículo 11.1 c) de la Ley 29/1998, de 13 de julio, reguladora de la Jurisdicción Contencioso-administrativa.

Y, en prueba de conformidad, firman el presente convenio, en duplicado ejemplar, en las fechas que se indican, tomándose como referencia de fecha de formalización la del último firmante.–Por la Universidad Internacional Menéndez Pelayo, OA, Carlos Andradas Heranz, 11 de septiembre de 2025.–Por Clustag, SL, Luis Rius Pascual, 16 de septiembre de 2025.

ANEXO I
Modelo de «anexo de formalización de la práctica»

Imagen: /datos/imagenes/disp/2025/231/19035_16107859_1.png

Imagen: /datos/imagenes/disp/2025/231/19035_16107859_2.png

Imagen: /datos/imagenes/disp/2025/231/19035_16107859_3.png

Imagen: /datos/imagenes/disp/2025/231/19035_16107859_4.png

ANEXO II
Modelo de «informe final» para cumplimentar por el tutor de Clustag, SL

Imagen: /datos/imagenes/disp/2025/231/19035_16107859_5.png

subir

Agència Estatal Butlletí Oficial de l'Estat

Avda. de Manoteras, 54 - 28050 Madrid