Contingut no disponible en català
Vistas las solicitudes de subvención presentadas al amparo de la Resolución de la Secretaría de Estado de Derechos Sociales, de 19 de marzo de 2025, por la que se convocan subvenciones destinadas a entidades locales, destinadas a mejorar e impulsar el control poblacional de colonias felinas (extracto en BOE 76, de 29 de marzo) y en virtud de los siguientes:
Antecedentes de hecho
Mediante la Orden DSA/1352/2022, de 22 de diciembre modificada por la Orden DSA/23/2023, de 11 de enero, por la que se corrigen errores en la Orden DSA/1352/2022, de 22 de diciembre, por la que se establecen las bases reguladoras para la concesión de subvenciones a entidades locales, destinadas a mejorar e impulsar el control poblacional de colonias felinas, se aprobaron las bases reguladoras de las subvenciones destinadas a mejorar e impulsar el control poblacional de colonias felinas.
Por resolución de la Secretaría de Estado de Derechos Sociales, de 19 de marzo de 2025, se publicó la convocatoria para la concesión de subvenciones a entidades locales, destinadas a mejorar e impulsar el control poblacional de colonias felinas reservándose para tal fin la cantidad de un millón novecientos cincuenta mil euros, (1.950.000,00 euros) con cargo a la aplicación presupuestaria 29.04.232F.461 del Presupuesto de Gastos de la Secretaría de Estado de Derechos Sociales.
El extracto de la convocatoria fue publicado en el BOE del 29 de marzo de 2025, de conformidad con lo previsto en los artículos 17.3.b y 20.8 de la Ley 38/2003, de 17 de noviembre, General de Subvenciones.
Un total de 1.315 entidades han presentado 1.315 proyectos.
La Secretaria de Estado de Derechos Sociales mediante resolución de 6 de octubre de 2025 avoca la competencia delegada para la concesión de subvenciones a entidades locales, destinadas a mejorar e impulsar el control poblacional de colonias felinas 2025.
La Dirección General de Derechos de los Animales ha realizado las actuaciones de ordenación e instrucción previstas en el artículo 10 de la Orden DSA/1352/2022, de 22 de diciembre modificada por la Orden DSA/23/2023, de 11 de enero, por la que se corrigen errores en la Orden DSA/1352/2022, de 22 de diciembre, por la que se establecen las bases reguladoras para la concesión de subvenciones a entidades locales, destinadas a mejorar e impulsar el control poblacional de colonias felinas remitiendo las actuaciones practicadas a la Comisión de Evaluación.
La Comisión de Valoración, constituida de conformidad con las bases reguladoras, se reunió el día 12 de noviembre de 2025, procedió a la evaluación de las solicitudes admitidas emitiendo el correspondiente informe en el que se concretó el resultado de la evaluación realizada aplicando los criterios de valoración previstos en la convocatoria y en las bases reguladoras y elevó el mismo al órgano instructor.
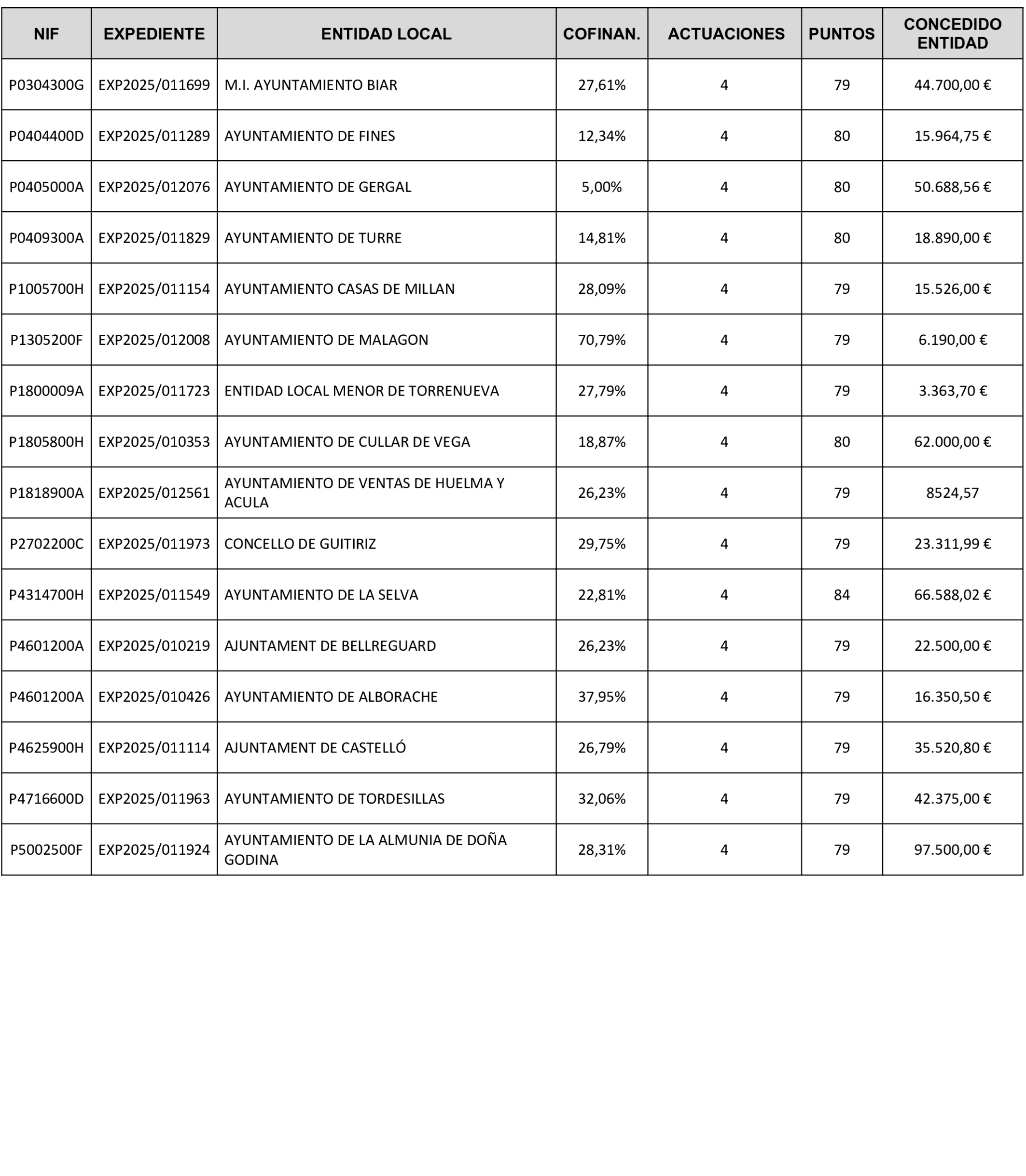
Los resultados de la puntuación detallada se recogen en el anexo I adjunto.
Dada a la alta concurrencia de solicitudes y la limitación del crédito presupuestario disponible, la Comisión determinó fijar una puntuación mínima subvencionable para cada línea de actuación de las contempladas en la disposición primera de la convocatoria, por debajo de las cuales un proyecto no puede recibir financiación, conforme al siguiente detalle:
Tramo 1: los proyectos del tramo 1 (proyectos presentados por entidades locales con una población igual o inferior a 10.000 habitantes): 79 puntos.
Tramo 2: los proyectos del tramo 2 (proyectos presentados por entidades locales con una población superior a 10.000 habitantes e inferior o igual a 50.000 habitantes): 80 puntos.
Tramo 3: los proyectos del tramo 3 (proyectos presentados por entidades locales con una población superior a 50.000 habitantes): 79 puntos.
Para la resolución de las situaciones de empate de puntuación se ha tenido en cuenta lo establecido en el punto 3 del artículo 12 de la Orden DSA/1352/2022, de 22 de diciembre modificada por la Orden DSA/23/2023, de 11 de enero, por la que se corrigen errores en la Orden DSA/1352/2022, de 22 de diciembre, por la que se establecen las bases reguladoras para la concesión de subvenciones a entidades locales, destinadas a mejorar e impulsar el control poblacional de colonias felinas:
3. Para la resolución de las situaciones de empate de puntuación, se tendrán en cuenta los siguientes criterios de prioridad, en el orden que se indica:
a) Se dará prioridad a los proyectos que integren gastos subvencionables de varios conceptos de los establecidos en el artículo 18.
b) Si aún persiste el empate, se dará prioridad a aquellos proyectos en los que exista mayor cofinanciación a nivel autonómico y local.
Los proyectos por encima de la nota de corte indicada en el párrafo anterior reciben financiación por la cuantía indicada en la tabla.
Como resultado de la evaluación se han obtenido los siguientes datos globales:
Solicitudes subvencionables: 39.
Solicitudes excluidas: 303 (ya recogidas en la Resolución de fecha 15 de septiembre de 2025 del Director General de Derechos de los Animales).
Solicitudes no financiables: 973.
Mediante Resolución de fecha 24 de noviembre de 2025, la Secretaria de Estado Derechos Sociales acuerda tramitar de urgencia el expediente de referencia por razones de interés público.
En aplicación de los dispuesto en el artículo 11 de las bases reguladoras y en la disposición décima de la convocatoria, la Dirección General de Derechos de los Animales como órgano instructor, formuló la propuesta de resolución provisional de 24 de noviembre que se publicó en la Base de Datos Nacional de Subvenciones concediendo un plazo de cinco días hábiles para la presentación de alegaciones, en virtud de la Resolución de la Secretaria de Estado de Derechos Sociales de fecha 24 de noviembre de 2025.
La Comisión de Valoración se reunió el día 2 de diciembre de 2025, con el fin de estudiar las alegaciones presentadas contra la propuesta de resolución provisional de concesión de subvenciones a entidades locales, destinadas a mejorar e impulsar el control poblacional de colonias felinas para el año 2025, considerado estimar la alegación presentada por el Ayuntamiento de Villanueva de Alcardete, integrada en agrupación con los Ayuntamientos de La Puebla de Almoradiel y Quero, y desestimar el resto de las alegaciones, por cuanto la evaluación de los proyectos se ha realizado conforme a derecho, aplicando los criterios de valoración previstos en las bases reguladoras y en la convocatoria.
Posteriormente emitió el correspondiente informe en el que se concretó el resultado de la evaluación realizada, y elevó el mismo al órgano instructor.
En aplicación de los dispuesto en el artículo 11 de las bases reguladoras y en la disposición décima de la convocatoria, el órgano instructor, la Dirección General de Derechos de los Animales, finalizado el plazo de alegaciones, formuló la propuesta provisional de concesión de fecha 02 de diciembre que fue notificada a las entidades interesadas que fueron propuestas como beneficiarios concediendo un plazo de cinco días hábiles para que comuniquen su aceptación o renuncia a la financiación propuesta, en virtud de la Resolución de la Secretaria de Estado de Derechos Sociales de fecha 24 de noviembre de 2025.
En el trámite de audiencia a los propuestos como beneficiario, la entidad Ayuntamiento de Torralba de Calatrava con NIF P13008300A presenta renuncia expresa a la subvención por importe de treinta y un mil veinticuatro euros con cincuenta y siete céntimos (31.024,57 euros).
Considerando lo establecido en la disposición décima apartado cuarto se distribuye entre las entidades admitidas como no beneficiarias por orden decreciente de puntuación, considerando lo establecido en el punto 3 del artículo 12 de la Orden DSA/1352/2022, de 22 de diciembre modificada por la Orden DSA/23/2023, de 11 de enero, por la que se corrigen errores en la Orden DSA/1352/2022, de 22 de diciembre, por la que se establecen las bases reguladoras para la concesión de subvenciones a entidades locales, destinadas a mejorar e impulsar el control poblacional de colonias felinas:
«3. Para la resolución de las situaciones de empate de puntuación, se tendrán en cuenta los siguientes criterios de prioridad, en el orden que se indica:
a) Se dará prioridad a los proyectos que integren gastos subvencionables de varios conceptos de los establecidos en el artículo 18.
b) Si aún persiste el empate, se dará prioridad a aquellos proyectos en los que exista mayor cofinanciación a nivel autonómico y local.
Los proyectos por encima de la nota de corte indicada en el párrafo anterior reciben financiación por la cuantía indicada en la tabla. salvo que hubieran renunciado previamente.»
Como resultado de lo indicado anteriormente, el número de beneficiarios asciende a 40.
El órgano instructor, en cumplimento de lo establecido en el artículo 24.4 último párrafo de la Ley 38/2003, de 17 de noviembre, informó que de la documentación que obra en su poder se desprende que los beneficiarios cumplen todos los requisitos necesarios para acceder a las subvenciones. Asimismo, el órgano instructor, sobre la base del acta de la Comisión de Valoración y elevó la propuesta definitiva de resolución a la Secretaria de Estado de Derechos Sociales.
Fundamentos de Derecho
Por Resolución de la Secretaría de Estado de Derechos Sociales de 19 de marzo de 2025 se convocó la concesión de subvenciones a entidades locales destinadas a mejorar e impulsar el control poblacional de colonias felinas. La misma se dictó en aplicación de lo dispuesto en la Orden DSA/1352/2022, de 22 de diciembre modificada por la Orden DSA/23/2023, de 11 de enero, por la que se corrigen errores en la Orden DSA/1352/2022, de 22 de diciembre, por la que se establecen las bases reguladoras para la concesión de subvenciones a entidades locales, destinadas a mejorar e impulsar el control poblacional de colonias felinas.
Las subvenciones concedidas al amparo de la Resolución de la Secretaría de Estado de Derechos Sociales de 19 de marzo de 2025 se regirán por lo establecido en dicha Resolución y en la Orden DSA/1352/2022, de 22 de diciembre modificada por la Orden DSA/23/2023, de 11 de enero; por la Ley 38/2003, de 17 de noviembre, General de Subvenciones, y su Reglamento de desarrollo, aprobado por Real Decreto 887/2006, de 21 de julio; y por la Ley 39/2015, de 1 de octubre, del Procedimiento Administrativo Común de la Administraciones Públicas.
Los proyectos presentados se han calificado de acuerdo con los criterios establecidos en el artículo 12 de la Orden DSA/1352/2022, de 22 de diciembre, modificada por la Orden DSA/23/2023, de 11 de enero. Asimismo, se ha tomado en consideración lo dispuesto en la disposición undécima de la resolución de convocatoria, en la que se regula la dotación económica y financiación de las ayudas.
303 entidades no han cumplido los requisitos exigidos en el artículo 5 de la Orden DSA/1352/2022, de 22 de diciembre modificada por la Orden DSA/23/2023, de 11 de enero, por la que se corrigen errores en la Orden DSA/1352/2022, de 22 de diciembre, por la que se establecen las bases reguladoras para la concesión de subvenciones a entidades locales, destinadas a mejorar e impulsar el control poblacional de colonias felinas o con lo establecido en la disposición sexta c de la Resolución de la Secretaría de Estado de Derechos Sociales, de 19 de marzo de 2025, por la que se convocan subvenciones destinadas a entidades locales, destinadas a mejorar e impulsar el control poblacional de colonias felinas, en consecuencia, procede excluir 303 solicitudes de subvención.
De las 1012 solicitudes evaluadas, 971 no han sido subvencionadas, dada la limitación de crédito existente para atender a la totalidad de los proyectos presentados, conforme a la disposición duodécima de la resolución de convocatoria y como consecuencia de la aplicación de los criterios objetivos de valoración establecidos en el artículo 12 de Orden DSA/1352/2022, de 22 de diciembre, modificada por la Orden DSA/23/2023, de 11 de enero.
A la vista de lo precedente, la Secretaria de Estado de Derechos Sociales, resuelve:
Conceder las subvenciones a los 40 proyectos relacionados en el anexo II de esta resolución, por las cuantías consignadas en el mismo, condicionándolas al cumplimiento de la normativa de aplicación, contenida en el Fundamento de Derecho Segundo de la presente resolución y a las instrucciones que, en uso de sus facultades de control, seguimiento y evaluación, puedan establecerse por la Dirección General de Derechos de los Animales.
El reparto de las subvenciones se realizó de acuerdo con la disposición duodécima de la Resolución de 19 de marzo de 2025 de convocatoria, de forma que el crédito total asignado a la subvención 1.950.000,00 euros (un millón novecientos cincuenta mil euros) se destina al conjunto de los proyectos dentro de cada tramo poblacional, de acuerdo con los puntos obtenidos y del presupuesto de los proyectos.
Asimismo, ante la limitación de crédito existente y el número de proyectos que han sido evaluados, se constata la imposibilidad manifiesta para atender a la totalidad del importe solicitado de los proyectos admitidos a trámite dada la insuficiencia de crédito presupuestario. En consecuencia, se concede la subvención a aquellos proyectos de mayor puntuación dentro de cada tramo poblacional establecido en la disposición duodécima de la Resolución de 19 de marzo de 2025, de convocatoria. De este modo, se establece la puntuación necesaria para obtener financiación para los proyectos del tramo 1 (proyectos presentados por entidades locales con una población igual o inferior a 10.000 habitantes) en 79 puntos o superior, del tramo 2 (proyectos presentados por entidades locales con una población superior a 10.000 habitantes e inferior o igual a 50.000 habitantes) en 80 puntos o superior, y para el tramo 3 (proyectos presentados por entidades locales con una población superior a 50.000 habitantes) en 79 puntos o superior teniendo en cuenta las siguientes consideraciones:
Para la resolución de las situaciones de empate de puntuación se ha tenido en cuenta lo establecido en el punto 3 del artículo 12 de la Orden DSA/1352/2022, de 22 de diciembre modificada por la Orden DSA/23/2023, de 11 de enero, por la que se corrigen errores en la Orden DSA/1352/2022, de 22 de diciembre, por la que se establecen las bases reguladoras para la concesión de subvenciones a entidades locales, destinadas a mejorar e impulsar el control poblacional de colonias felinas:
3. Para la resolución de las situaciones de empate de puntuación, se tendrán en cuenta los siguientes criterios de prioridad, en el orden que se indica:
a) Se dará prioridad a los proyectos que integren gastos subvencionables de varios conceptos de los establecidos en el artículo 18.
b) Si aún persiste el empate, se dará prioridad a aquellos proyectos en los que exista mayor cofinanciación a nivel autonómico y local.
Los proyectos por encima de la nota de corte indicada en el párrafo anterior reciben financiación por la cuantía indicada en la tabla.
En cada tramo, a aquellas entidades que han quedado las últimas financiables teniendo en cuenta los criterios de prioridad establecidos en el punto 3 del artículo 12 de las bases reguladoras, se les propone conceder un importe inferior al que le correspondería teniendo en cuenta lo establecido en el artículo 14 de las bases reguladoras. De este modo, en el tramo 1, al Ayuntamiento de Torralba de Calatrava, la última entidad financiable con puntuación de 79, se le propone una cuantía de 31.024,57 euros. En el tramo 2, al Ayuntamiento de Olías del Rey (Agrupación con el Ayuntamiento de Bargas), última entidad financiable con puntuación de 80 se le propone la concesión de 31.568,00 euros. Por último, en el tramo 3, al Excmo. Ayuntamiento de Linares, última entidad financiable con 79 puntos se le propone la concesión de 5.300,39 euros.
Excluir las solicitudes de subvención relacionadas en el anexo III, al no haber cumplido los requisitos exigidos en el artículo 5 de la Orden DSA/1352/2022, de 22 de diciembre modificada por la Orden DSA/23/2023, de 11 de enero, por la que se corrigen errores en la Orden DSA/1352/2022, de 22 de diciembre, por la que se establecen las bases reguladoras para la concesión de subvenciones a entidades locales, destinadas a mejorar e impulsar el control poblacional de colonias felinas o con lo establecido en la disposición sexta c de la Resolución de la Secretaría de Estado de Derechos Sociales, de 19 de marzo de 2025, por la que se convocan subvenciones destinadas a entidades locales.
Tener por desistidas las solicitudes de subvención para los proyectos relacionados en el anexo IV, por renuncia y desistimiento de su solicitud durante el trámite de audiencia a los propuestos como beneficiarios tras la notificación de la propuesta provisional de concesión de fecha 02 de diciembre, y ordenar el archivo de estas.
Desestimar las peticiones de subvención para los proyectos relacionados en el anexo V, dada la limitación de crédito existente para atender la totalidad de los proyectos presentados y como consecuencia de la aplicación de los criterios objetivos de valoración establecidos en el artículo 12 de la Orden DSA/1352/2022, de 22 de diciembre modificada por la Orden DSA/23/2023, de 11 de enero.
Desestimar las alegaciones presentadas contra la propuesta de resolución provisional de concesión, conforme al antecedente de hecho décimo.
Esta resolución pone fin a la vía administrativa y contra la misma cabe interponer, potestativamente, recurso de reposición ante el mismo órgano que la dictó en el plazo de un mes a contar desde el día siguiente al de su publicación conforme a lo dispuesto en los artículos 45, 123 y 124 de la Ley 39/2015, de 1 de octubre, del Procedimiento Administrativo Común de las Administraciones públicas; o directamente, recurso contencioso-administrativo ante la Sala de lo Contencioso-Administrativo de la Audiencia Nacional, en el plazo de dos meses contados de igual forma, conforme a lo previsto en los artículos 11.a) y 45 y siguientes de la Ley 29/1998, de 13 de julio, reguladora de la Jurisdicción Contencioso-administrativa.
El recurso de reposición podrá ser remitido a través del Registro Electrónico Común de la Administración General del Estado (https://reg.redsara.es/) que permite presentar instancias genéricas.
Madrid, 10 de diciembre de 2025.–La Secretaria de Estado de Derechos Sociales, María Rosa Martínez Rodríguez.
| Expediente | NIF | Entidad local | Tramo |
A. n.º proyectos |
B. municipios |
C.1. Previsión gasto/ingreso |
C.2. Adaptabilidad |
D.1. Censo previo |
D.2. CER alta intensidad |
D.3. Identificación /chipado |
D.4. Atención heridos y enfermos |
D.5. Participación veterianarios |
D.6. Participación entidades de protección animal |
D.7. Formación voluntariado |
D.8. Identificación del voluntariado |
D.9. Agentes mediadores sociedad |
Puntuación total |
|---|---|---|---|---|---|---|---|---|---|---|---|---|---|---|---|---|---|
| EXP2025/011384 | P1400006A | MANCOMUNIDAD DE LA SUBBETICA. | T1 | 10 | 3 | 1 | 3 | 10 | 10 | 10 | 0 | 5 | 0 | 5 | 0 | 5 | 62 |
| EXP2025/011435 | P2806300F | AYUNTAMIENTO DE GARGANTILLA DEL LOZOYA Y PINILLA DE BUITRAGO. | T1 | 10 | 0 | 1 | 3 | 10 | 10 | 10 | 10 | 5 | 5 | 5 | 5 | 5 | 79 |
| EXP2025/011744 | P2523400F | AJUNTAMENT DE SALAS DE PALLARS. | T1 | 7 | 0 | 0 | 3 | 10 | 0 | 10 | 10 | 0 | 0 | 0 | 0 | 5 | 45 |
| EXP2025/011249 | P4410500E | AYUNTAMIENTO DE ESTERCUEL. | T1 | 10 | 0 | 1 | 3 | 10 | 0 | 10 | 10 | 5 | 0 | 5 | 5 | 5 | 64 |
| EXP2025/013573 | P2523600A | AYUNTAMIENTO DE SANT GUIM DE FREIXENET. | T1 | 10 | 0 | 1 | 3 | 10 | 10 | 10 | 10 | 5 | 5 | 5 | 5 | 5 | 79 |
| EXP2025/011114 | P4625900H | AJUNTAMENT DE CASTELLÓ. | T1 | 10 | 0 | 1 | 3 | 10 | 10 | 10 | 10 | 5 | 5 | 5 | 5 | 5 | 79 |
| EXP2025/012169 | P0700400E | AJUNTAMENT DALGAIDA. | T1 | 10 | 0 | 1 | 3 | 10 | 10 | 10 | 10 | 5 | 0 | 5 | 0 | 5 | 69 |
| EXP2025/012034 | P0703400B | AJUNTAMENT DE MANCOR DEL VALL. | T1 | 10 | 0 | 1 | 3 | 10 | 0 | 10 | 0 | 5 | 5 | 0 | 0 | 0 | 44 |
| EXP2025/012162 | P4302000G | AJUNTAMENT DE BANYERES DEL PENEDES. | T1 | 10 | 0 | 1 | 3 | 10 | 0 | 10 | 10 | 5 | 5 | 5 | 0 | 5 | 64 |
| EXP2025/014756 | P0404800E | AYUNTAMIENTO DE LOS GALLARDOS. | T1 | 10 | 0 | 1 | 3 | 0 | 0 | 0 | 0 | 0 | 0 | 0 | 0 | 0 | 14 |
| EXP2025/011527 | P1405100G | AYUNTAMIENTO PEDROCHE. | T1 | 5 | 0 | 1 | 3 | 10 | 10 | 10 | 0 | 5 | 0 | 0 | 0 | 0 | 44 |
| EXP2025/011601 | P2422200B | AYUNTAMIENTO DE VILLANUEVA DE LAS MANZANAS. | T1 | 0 | 0 | 1 | 3 | 10 | 0 | 10 | 10 | 5 | 0 | 0 | 5 | 5 | 49 |
| EXP2025/011711 | P1310000C | AYUNTAMIENTO DE RUIDERA. | T1 | 5 | 0 | 1 | 3 | 10 | 10 | 0 | 0 | 0 | 0 | 0 | 0 | 0 | 29 |
| EXP2025/011733 | P4015700J | AYUNTAMIENTO DE MOZONCILLO. | T1 | 7 | 0 | 1 | 3 | 10 | 0 | 10 | 10 | 0 | 0 | 0 | 5 | 0 | 46 |
| EXP2025/011809 | P4622400B | AYUNTAMIENTO DE SANT JOANET. | T1 | 10 | 0 | 1 | 3 | 10 | 10 | 10 | 10 | 5 | 5 | 5 | 5 | 5 | 79 |
| EXP2025/012128 | P1939600A | AYUNTAMIENTO DE YEBES. | T1 | 10 | 0 | 1 | 3 | 0 | 0 | 10 | 10 | 5 | 5 | 5 | 5 | 0 | 54 |
| EXP2025/011776 | P2900500F | AYUNTAMIENTO DE ALGARROBO. | T1 | 10 | 0 | 1 | 3 | 10 | 0 | 10 | 10 | 5 | 5 | 5 | 5 | 5 | 69 |
| EXP/99611 | P1104200I | AYUNTAMIENTO DE ZAHARA DE LA SIERRA. | T1 | 10 | 0 | 1 | 3 | 10 | 0 | 10 | 10 | 5 | 5 | 5 | 5 | 5 | 69 |
| EXP2025/010388 | P0307700E | AYUNTAMIENTO DE HONDON DE LAS NIEVES. | T1 | 5 | 0 | 1 | 3 | 10 | 0 | 10 | 10 | 5 | 5 | 0 | 5 | 0 | 54 |
| EXP2025/010425 | P4026100J | AYUNTAMIENTO DE VEGAS DE MATUTE. | T1 | 5 | 0 | 1 | 3 | 10 | 0 | 10 | 10 | 5 | 5 | 5 | 5 | 5 | 64 |
| EXP2025/010463 | P2800200D | AYUNTAMIENTO DE AJALVIR. | T1 | 10 | 0 | 1 | 3 | 10 | 0 | 10 | 10 | 5 | 5 | 5 | 5 | 5 | 69 |
| EXP2025/010471 | P2514500D | AYUNTAMIENTO DE ALTO ANEU. | T1 | 10 | 0 | 1 | 3 | 0 | 0 | 10 | 10 | 5 | 0 | 5 | 0 | 5 | 49 |
| EXP2025/010504 | P1209500F | AYUNTAMIENTO DE RIBESALBES. | T1 | 10 | 0 | 1 | 3 | 10 | 10 | 10 | 10 | 5 | 0 | 5 | 0 | 0 | 64 |
| EXP2025/010558 | P1200100D | AYUNTAMIENTO DE ATZENETA DEL MAESTRAT. | T1 | 10 | 0 | 1 | 3 | 10 | 10 | 10 | 0 | 5 | 0 | 5 | 0 | 5 | 59 |
| EXP2025/010563 | P0831000E | AJUNTAMENT DE VILANOVA DEL VALLES. | T1 | 10 | 0 | 1 | 3 | 10 | 0 | 10 | 10 | 5 | 5 | 5 | 5 | 5 | 69 |
| EXP2025/010584 | P2219800F | AYUNTAMIENTO DE LASPAULES. | T1 | 10 | 0 | 1 | 3 | 10 | 10 | 10 | 0 | 5 | 0 | 5 | 5 | 5 | 64 |
| EXP2025/010597 | P2804200J | AYUNTAMIENTO DE COLMENAR DEL ARROYO. | T1 | 5 | 0 | 1 | 3 | 0 | 0 | 10 | 10 | 5 | 0 | 5 | 0 | 5 | 44 |
| EXP2025/010601 | P1405000I | AYUNTAMIENTO DE PEDRO ABAD. | T1 | 7 | 0 | 1 | 3 | 0 | 0 | 0 | 0 | 0 | 0 | 5 | 0 | 0 | 16 |
| EXP2025/010608 | P4621100I | AYUNTAMIENTO DE RAFELGUARAF. | T1 | 10 | 0 | 1 | 3 | 10 | 10 | 10 | 10 | 5 | 5 | 5 | 5 | 5 | 79 |
| EXP2025/010705 | P1001100E | AYUNTAMIENTO DE ALDEACENTENERA. | T1 | 0 | 0 | 1 | 3 | 0 | 0 | 10 | 0 | 5 | 0 | 5 | 5 | 5 | 34 |
| EXP2025/010827 | P2512600D | AJUNTAMENT DE BAIX PALLARS. | T1 | 7 | 0 | 1 | 3 | 0 | 0 | 0 | 10 | 5 | 0 | 5 | 0 | 0 | 31 |
| EXP2025/010858 | P4408600G | AYUNTAMIENTO DE CORTES DE ARAGON. | T1 | 10 | 0 | 0 | 3 | 10 | 10 | 10 | 10 | 5 | 0 | 5 | 5 | 0 | 68 |
| EXP2025/010902 | P4421300G | AGRUPACIÓN DEL AYUNTAMIENTO DE RUBIELOS DE MORA. | T1 | 10 | 1 | 1 | 3 | 0 | 0 | 10 | 10 | 5 | 0 | 5 | 0 | 0 | 45 |
| EXP2025/010949 | P4608100F | AYUNTAMIENTO DE CALLES. | T1 | 10 | 0 | 0 | 3 | 10 | 10 | 10 | 10 | 0 | 5 | 5 | 5 | 5 | 73 |
| EXP2025/010970 | P4621000A | AJUNTAMENT DE RAFELCOFER. | T1 | 10 | 0 | 1 | 3 | 10 | 0 | 10 | 10 | 5 | 5 | 5 | 5 | 5 | 69 |
| EXP2025/010986 | P1405800B | AYUNTAMIENTO DE RUTE. | T1 | 7 | 0 | 1 | 3 | 0 | 0 | 10 | 10 | 5 | 5 | 0 | 5 | 5 | 51 |
| EXP2025/011102 | P4617700B | AYUNTAMIENTO DE MONTICHELVO. | T1 | 10 | 0 | 1 | 3 | 10 | 10 | 10 | 10 | 5 | 0 | 5 | 5 | 5 | 74 |
| EXP2025/011115 | P3724200E | AYUNTAMIENTO DE PELABRAVO. | T1 | 10 | 0 | 1 | 3 | 10 | 0 | 10 | 10 | 5 | 0 | 5 | 5 | 5 | 64 |
| EXP2025/011116 | P4615700D | AJUNTAMENT DE LLAURI. | T1 | 10 | 0 | 1 | 3 | 10 | 10 | 10 | 10 | 5 | 5 | 5 | 5 | 5 | 79 |
| EXP2025/011140 | P5021600A | AYUNTAMIENTO DE POZUEL DE ARIZA. | T1 | 10 | 0 | 1 | 3 | 10 | 0 | 10 | 10 | 5 | 0 | 5 | 5 | 0 | 59 |
| EXP2025/011143 | P0700100A | AJUNTAMENT DALARO. | T1 | 10 | 0 | 2 | 3 | 10 | 0 | 10 | 10 | 5 | 5 | 5 | 5 | 5 | 70 |
| EXP2025/011154 | P1005700H | AYUNTAMIENTO CASAS DE MILLAN. | T1 | 10 | 0 | 1 | 3 | 10 | 10 | 10 | 10 | 5 | 5 | 5 | 5 | 5 | 79 |
| EXP2025/011172 | P4601400G | AYUNTAMIENTO DE ALBUIXECH. | T1 | 10 | 0 | 1 | 3 | 10 | 0 | 10 | 10 | 5 | 5 | 5 | 5 | 5 | 69 |
| EXP2025/011175 | P2815800D | AYUNTAMIENTO DE VALDEMANCO. | T1 | 10 | 0 | 1 | 3 | 0 | 0 | 10 | 10 | 5 | 5 | 5 | 5 | 5 | 59 |
| EXP2025/011226 | P1700800D | AJUNTAMENT DANGLÉS. | T1 | 10 | 0 | 1 | 3 | 10 | 10 | 10 | 0 | 5 | 0 | 5 | 0 | 5 | 59 |
| EXP2025/011245 | P0401700J | AYUNTAMIENTO DE ARBOLEAS. | T1 | 10 | 0 | 1 | 3 | 10 | 0 | 10 | 10 | 5 | 5 | 5 | 5 | 5 | 69 |
| EXP2025/011303 | P0407800B | AYUNTAMIENTO DE RIOJA. | T1 | 10 | 0 | 1 | 3 | 10 | 10 | 10 | 0 | 5 | 0 | 0 | 5 | 5 | 59 |
| EXP2025/011348 | P0504700F | AYUNTAMIENTO DE CANDELEDA. | T1 | 10 | 0 | 1 | 3 | 10 | 0 | 10 | 10 | 5 | 0 | 5 | 5 | 5 | 64 |
| EXP2025/011387 | P4318400A | AYUNTAMIENTO DE L ALDEA. | T1 | 7 | 0 | 1 | 3 | 0 | 0 | 10 | 10 | 5 | 0 | 0 | 5 | 0 | 41 |
| EXP2025/011393 | P3303000H | AYUNTAMIENTO DE ILLAS. | T1 | 10 | 0 | 1 | 3 | 10 | 10 | 10 | 10 | 5 | 5 | 5 | 0 | 5 | 74 |
| EXP2025/011401 | P2216800I | AYUNTAMIENTO DE HECHO. | T1 | 7 | 0 | 1 | 3 | 10 | 0 | 0 | 10 | 0 | 5 | 0 | 5 | 5 | 46 |
| EXP2025/011461 | P1406700C | AYUNTAMIENTO DE VILLAFRANCA DE CORDOBA. | T1 | 10 | 0 | 1 | 3 | 10 | 0 | 10 | 0 | 5 | 0 | 5 | 5 | 5 | 54 |
| EXP2025/011469 | P2519100H | AJUNTAMENT DELS OMELLONS. | T1 | 10 | 0 | 1 | 3 | 10 | 0 | 10 | 0 | 5 | 5 | 5 | 5 | 5 | 59 |
| EXP2025/011482 | P1716900D | AJUNTAMENT DE ST FELIU BUIXALLEU. | T1 | 10 | 0 | 1 | 3 | 10 | 0 | 10 | 10 | 5 | 5 | 5 | 5 | 5 | 69 |
| EXP2025/011495 | P0403200I | AYUNTAMIENTO DE CARBONERAS. | T1 | 10 | 0 | 2 | 3 | 0 | 0 | 10 | 10 | 5 | 0 | 5 | 5 | 5 | 55 |
| EXP2025/011501 | P2100700J | AYUNTAMIENTO DE ARACENA. | T1 | 10 | 0 | 1 | 3 | 10 | 0 | 10 | 10 | 5 | 5 | 5 | 5 | 5 | 69 |
| EXP2025/011520 | P5025600G | AYUNTAMIENTO DE TERRER. | T1 | 10 | 0 | 1 | 3 | 10 | 0 | 10 | 10 | 5 | 0 | 5 | 5 | 5 | 64 |
| EXP2025/011528 | P1616300H | AYUNTAMIENTO DE LAS PEDROÑERAS. | T1 | 10 | 0 | 1 | 3 | 10 | 10 | 0 | 0 | 0 | 5 | 0 | 0 | 0 | 39 |
| EXP2025/011529 | P0500200A | AYUNTAMIENTO DE LA ADRADA. | T1 | 10 | 0 | 1 | 3 | 10 | 0 | 0 | 10 | 5 | 5 | 5 | 5 | 5 | 59 |
| EXP2025/011538 | P4604400D | AYUNTAMIENTO DE AYORA. | T1 | 10 | 0 | 1 | 3 | 10 | 10 | 10 | 10 | 5 | 0 | 5 | 5 | 0 | 69 |
| EXP2025/011557 | P4101000J | AYUNTAMIENTO DE ALMENSILLA. | T1 | 10 | 0 | 1 | 3 | 10 | 0 | 10 | 10 | 5 | 5 | 5 | 5 | 5 | 69 |
| EXP2025/011590 | P4625700B | AYUNTAMIENTO DE VILLALONGA. | T1 | 10 | 0 | 1 | 3 | 10 | 0 | 10 | 10 | 5 | 5 | 5 | 5 | 5 | 69 |
| EXP2025/011622 | P4309400B | AYUNTAMIENTO DE MORA DEBRE. | T1 | 10 | 0 | 1 | 3 | 10 | 10 | 0 | 10 | 5 | 5 | 5 | 5 | 5 | 69 |
| EXP2025/011642 | P4617200C | AYUNTAMIENTO DE MOIXENT. | T1 | 10 | 0 | 1 | 3 | 10 | 0 | 10 | 10 | 5 | 0 | 5 | 5 | 5 | 64 |
| EXP2025/011647 | P0400200B | AGRUPACIÓN DEL AYUNTAMIENTO DE ABRUCENA. | T1 | 10 | 1 | 1 | 3 | 10 | 10 | 10 | 10 | 5 | 5 | 5 | 5 | 5 | 80 |
| EXP2025/011650 | P4623600F | AYUNTAMIENTO DE SOT DE CHERA. | T1 | 7 | 0 | 1 | 3 | 10 | 0 | 10 | 10 | 5 | 0 | 5 | 5 | 0 | 56 |
| EXP2025/011665 | P2908600F | AYUNTAMIENTO DE SAYALONGA. | T1 | 10 | 0 | 1 | 3 | 10 | 0 | 10 | 10 | 5 | 5 | 5 | 5 | 5 | 69 |
| EXP2025/011674 | P4418000H | AYUNTAMIENTO DE OLBA. | T1 | 10 | 0 | 1 | 3 | 10 | 10 | 10 | 10 | 5 | 0 | 5 | 5 | 5 | 74 |
| EXP2025/011685 | P4519300J | AGRUPACIÓN DEL AYUNTAMIENTO VILLANUEVA DE ALDECARDETE. | T1 | 10 | 3 | 1 | 3 | 10 | 10 | 10 | 10 | 5 | 5 | 5 | 5 | 5 | 82 |
| EXP2025/011706 | P4806500G | LEMOAKO UDALA / AYUNTAMIENTO DE LEMOA. | T1 | 7 | 0 | 1 | 3 | 10 | 10 | 10 | 10 | 5 | 5 | 5 | 0 | 5 | 71 |
| EXP2025/011739 | P4508500H | AGRUPACIÓN DEL AYUNTAMIENTO DE LILLO. | T1 | 10 | 3 | 1 | 3 | 10 | 10 | 10 | 10 | 5 | 5 | 5 | 5 | 5 | 82 |
| EXP2025/011748 | P2506900F | AJUNTAMENT DES BORDES. | T1 | 10 | 0 | 1 | 3 | 10 | 10 | 10 | 10 | 5 | 0 | 0 | 5 | 0 | 64 |
| EXP2025/011791 | P4507700E | AGRUPACIÓN DEL AYUNTAMIENTO DE HORMIGOS. | T1 | 10 | 3 | 1 | 3 | 10 | 10 | 10 | 10 | 5 | 5 | 5 | 5 | 5 | 82 |
| EXP2025/011806 | P4027200G | AYUNTAMIENTO DE YANGUAS DE ERESMA. | T1 | 10 | 0 | 1 | 3 | 10 | 10 | 10 | 10 | 5 | 0 | 5 | 5 | 5 | 74 |
| EXP2025/011829 | P0409300A | AYUNTAMIENTO DE TURRE. | T1 | 10 | 0 | 2 | 3 | 10 | 10 | 10 | 10 | 5 | 5 | 5 | 5 | 5 | 80 |
| EXP2025/011838 | P1201200A | AYUNTAMIENTO DE ALTURA. | T1 | 10 | 0 | 1 | 3 | 10 | 10 | 10 | 10 | 5 | 5 | 5 | 5 | 5 | 79 |
| EXP2025/011852 | P2521500E | AJUNTAMENT DE PONTS. | T1 | 7 | 0 | 1 | 3 | 10 | 10 | 0 | 10 | 0 | 0 | 0 | 5 | 5 | 51 |
| EXP2025/011860 | P1800005I | AYUNTAMIENTO DE CUEVAS DEL CAMPO. | T1 | 10 | 0 | 1 | 3 | 10 | 10 | 10 | 10 | 5 | 5 | 5 | 5 | 5 | 79 |
| EXP2025/011871 | P4609400I | AYUNTAMIENTO DE CASTIELFABIB. | T1 | 10 | 0 | 1 | 3 | 10 | 10 | 10 | 10 | 5 | 5 | 5 | 5 | 5 | 79 |
| EXP2025/011873 | P4304300I | AJUNTAMENT DE CASTELVELL DEL CAMP. | T1 | 10 | 0 | 1 | 3 | 10 | 0 | 10 | 10 | 5 | 5 | 5 | 5 | 5 | 69 |
| EXP2025/011874 | P5003800I | AYUNTAMIENTO DE ATECA. | T1 | 10 | 0 | 1 | 3 | 10 | 10 | 10 | 10 | 5 | 0 | 5 | 5 | 5 | 74 |
| EXP2025/011934 | P0825600J | AJUNTAMENT DE SANTA MARIA DE MARTORELLES. | T1 | 10 | 0 | 1 | 3 | 10 | 10 | 10 | 10 | 5 | 0 | 5 | 5 | 5 | 74 |
| EXP2025/011954 | P4608200D | AYUNTAMIENTO DE CAMPORROBLES. | T1 | 10 | 0 | 1 | 3 | 10 | 0 | 10 | 10 | 5 | 5 | 5 | 5 | 5 | 69 |
| EXP2025/011973 | P2702200C | CONCELLO DE GUITIRIZ. | T1 | 10 | 0 | 1 | 3 | 10 | 10 | 10 | 10 | 5 | 5 | 5 | 5 | 5 | 79 |
| EXP2025/011984 | P3908000G | AYUNTAMIENTO DE SAN VICENTE DE LA BARQUERA. | T1 | 10 | 0 | 1 | 3 | 10 | 10 | 10 | 10 | 5 | 5 | 5 | 5 | 5 | 79 |
| EXP2025/011993 | P4617000G | AJUNTAMENT DE MIRAMAR. | T1 | 10 | 0 | 1 | 3 | 10 | 10 | 10 | 10 | 5 | 0 | 5 | 5 | 5 | 74 |
| EXP2025/012003 | P5001700C | AYUNTAMIENTO DE ALFAJARIN. | T1 | 0 | 0 | 1 | 3 | 0 | 0 | 0 | 0 | 0 | 0 | 0 | 0 | 5 | 9 |
| EXP2025/012079 | P0700700H | AJUNTAMENT DE BANYALBUFAR. | T1 | 10 | 0 | 1 | 3 | 10 | 10 | 10 | 10 | 5 | 5 | 5 | 0 | 5 | 74 |
| EXP2025/012125 | P4620900C | AJUNTAMENT DE RAFELBUNYOL. | T1 | 10 | 0 | 1 | 3 | 0 | 0 | 10 | 10 | 5 | 5 | 5 | 5 | 5 | 59 |
| EXP2025/012131 | P2307300J | AYUNTAMIENTO DE QUESADA. | T1 | 10 | 0 | 1 | 3 | 10 | 10 | 10 | 10 | 5 | 5 | 5 | 0 | 5 | 74 |
| EXP2025/012145 | P4618500E | AYUNTAMIENTO DE LOLLERIA. | T1 | 10 | 0 | 1 | 3 | 10 | 10 | 10 | 10 | 5 | 5 | 5 | 5 | 5 | 79 |
| EXP2025/012170 | P4610100B | AYUNTAMIENTO DE CORTES DE PALLAS. | T1 | 7 | 0 | 1 | 3 | 10 | 0 | 10 | 10 | 5 | 0 | 5 | 5 | 5 | 61 |
| EXP2025/012195 | P5000042A | AYUNTAMIENTO DE VILLAMAYOR DE GALLEGO. | T1 | 10 | 0 | 1 | 3 | 10 | 0 | 10 | 10 | 5 | 5 | 5 | 5 | 5 | 69 |
| EXP2025/012198 | P3902300G | AYUNTAMIENTO DE COLINDRES. | T1 | 10 | 0 | 2 | 3 | 10 | 10 | 10 | 10 | 5 | 0 | 5 | 5 | 5 | 75 |
| EXP2025/012508 | P2616900C | AYUNTAMIENTO DE VILLAMEDIANA DE IREGUA. | T1 | 10 | 0 | 1 | 3 | 10 | 10 | 10 | 10 | 5 | 5 | 5 | 5 | 5 | 79 |
| EXP2025/012909 | P3908500F | AYUNTAMIENTO DE SUANCES. | T1 | 10 | 0 | 1 | 3 | 10 | 10 | 10 | 10 | 5 | 5 | 5 | 5 | 5 | 79 |
| EXP2025/012959 | P1720500F | AYUNTAMIENTO DE SILS. | T1 | 10 | 0 | 1 | 3 | 10 | 0 | 10 | 0 | 5 | 5 | 5 | 5 | 5 | 59 |
| EXP/99580 | P1604200D | AYUNTAMIENTO DE BUENDu00CDA. | T1 | 10 | 0 | 1 | 3 | 10 | 10 | 10 | 10 | 5 | 5 | 5 | 5 | 5 | 79 |
| EXP/99766 | P0705800A | AJUNTAMENT DE SELVA. | T1 | 10 | 0 | 1 | 3 | 10 | 0 | 10 | 10 | 5 | 5 | 0 | 5 | 0 | 59 |
| EXP/99768 | P2521600C | AJUNTAMENT DE PONT DE SUERT. | T1 | 10 | 0 | 1 | 3 | 10 | 0 | 10 | 10 | 5 | 5 | 5 | 5 | 5 | 69 |
| EXP/99769 | P2803600B | AYUNTAMIENTO CASARRUBUELOS. | T1 | 5 | 0 | 1 | 3 | 10 | 0 | 10 | 10 | 5 | 0 | 5 | 5 | 5 | 59 |
| EXP2025/008400 | P2203500J | AYUNTAMIENTO DE ANTILLON. | T1 | 10 | 0 | 1 | 3 | 10 | 10 | 0 | 10 | 5 | 0 | 5 | 5 | 5 | 64 |
| EXP2025/008740 | P3909400H | AYUNTAMIENTO DE VALDERREDIBLE. | T1 | 10 | 0 | 1 | 3 | 0 | 0 | 0 | 10 | 5 | 5 | 5 | 5 | 5 | 49 |
| EXP2025/008805 | P2815600H | AYUNTAMIENTO DE VALDEAVERO. | T1 | 7 | 0 | 1 | 3 | 0 | 0 | 10 | 0 | 0 | 5 | 0 | 5 | 0 | 31 |
| EXP2025/009972 | P1815000C | AYUNTAMIENTO DE ORGIVA. | T1 | 10 | 0 | 1 | 3 | 10 | 10 | 10 | 10 | 5 | 0 | 5 | 5 | 5 | 74 |
| EXP2025/010203 | P5023800E | AYUNTAMIENTO DE SAN MATEO DE GALLEGO. | T1 | 10 | 0 | 1 | 3 | 10 | 10 | 10 | 10 | 5 | 5 | 0 | 5 | 5 | 74 |
| EXP2025/010219 | P4604800E | AJUNTAMENT DE BELLREGUARD. | T1 | 10 | 0 | 1 | 3 | 10 | 10 | 10 | 10 | 5 | 5 | 5 | 5 | 5 | 79 |
| EXP2025/010277 | P0409000G | AYUNTAMIENTO DE TAHAL. | T1 | 7 | 0 | 1 | 3 | 0 | 0 | 10 | 10 | 5 | 0 | 0 | 0 | 0 | 36 |
| EXP2025/010581 | P0201300A | AYUNTAMIENTO DE BALSA DE VES. | T1 | 10 | 0 | 1 | 3 | 10 | 10 | 10 | 10 | 0 | 0 | 5 | 0 | 0 | 59 |
| EXP2025/010639 | P2307800I | AYUNTAMIENTO SANTIAGO-PONTONES. | T1 | 10 | 0 | 1 | 3 | 10 | 0 | 0 | 0 | 0 | 0 | 0 | 0 | 5 | 29 |
| EXP2025/010698 | P4405400E | AYUNTAMIENTO DE CAMARENA DE LA SIERRA. | T1 | 7 | 0 | 1 | 3 | 0 | 0 | 10 | 10 | 0 | 0 | 0 | 0 | 5 | 36 |
| EXP2025/010721 | P4411200A | AYUNTAMIENTO DE FOZ CALANDA. | T1 | 10 | 0 | 2 | 3 | 10 | 10 | 10 | 10 | 0 | 5 | 0 | 5 | 5 | 70 |
| EXP2025/010757 | P4510500D | AYUNTAMIENTO DE MONTEARAGON. | T1 | 7 | 0 | 1 | 3 | 0 | 0 | 10 | 10 | 5 | 0 | 5 | 5 | 5 | 51 |
| EXP2025/010763 | P1102600B | AYUNTAMIENTO DE PRADO DEL REY. | T1 | 10 | 0 | 1 | 3 | 10 | 10 | 10 | 10 | 0 | 5 | 5 | 0 | 5 | 69 |
| EXP2025/010910 | P1802500G | AYUNTAMIENTO DE BEAS DE GRANADA. | T1 | 7 | 0 | 1 | 3 | 10 | 10 | 10 | 10 | 5 | 0 | 5 | 5 | 5 | 71 |
| EXP2025/010914 | P0502100A | AYUNTAMIENTO DE EL BARCO DE AVILA. | T1 | 10 | 0 | 1 | 3 | 10 | 10 | 10 | 10 | 5 | 0 | 5 | 0 | 0 | 64 |
| EXP2025/010919 | P4616400J | AJUNTAMENT DE MASSALAVÉS. | T1 | 10 | 0 | 1 | 3 | 10 | 10 | 10 | 0 | 5 | 5 | 5 | 5 | 5 | 69 |
| EXP2025/010927 | P2301700G | AYUNTAMIENTO CABRA DEL SANTO CRISTO. | T1 | 5 | 0 | 1 | 3 | 10 | 10 | 10 | 10 | 5 | 0 | 0 | 0 | 5 | 59 |
| EXP2025/010938 | P0814200B | AJUNTAMENT DODENA. | T1 | 10 | 0 | 1 | 3 | 10 | 0 | 10 | 10 | 5 | 5 | 5 | 5 | 5 | 69 |
| EXP2025/010946 | P2612500E | AYUNTAMIENTO DE RINCON DE SOTO. | T1 | 5 | 0 | 1 | 3 | 0 | 0 | 10 | 0 | 5 | 0 | 0 | 0 | 5 | 29 |
| EXP2025/010954 | P0822600C | AJUNTAMENT DE SANT MARTI DE TOUS. | T1 | 10 | 0 | 1 | 3 | 0 | 0 | 10 | 10 | 5 | 5 | 5 | 5 | 5 | 59 |
| EXP2025/010976 | P2804600A | AYUNTAMIENTO DE COLLADO MEDIANO. | T1 | 10 | 0 | 1 | 3 | 10 | 0 | 10 | 10 | 5 | 0 | 5 | 5 | 5 | 64 |
| EXP2025/010979 | P0312000C | AYUNTAMIENTO DE SAN MIGUEL DE SALINAS. | T1 | 10 | 0 | 1 | 3 | 10 | 0 | 10 | 10 | 5 | 0 | 5 | 5 | 5 | 64 |
| EXP2025/011010 | P1806000D | AYUNTAMIENTO DE CHAUCHINA. | T1 | 10 | 0 | 1 | 3 | 0 | 0 | 10 | 10 | 5 | 5 | 0 | 0 | 0 | 44 |
| EXP2025/011025 | P4602700I | AYUNTAMIENTO DE ALFARRASI. | T1 | 10 | 0 | 1 | 3 | 10 | 10 | 10 | 10 | 5 | 0 | 5 | 5 | 5 | 74 |
| EXP2025/011047 | P2612000F | AYUNTAMIENTO DE QUEL. | T1 | 10 | 0 | 1 | 3 | 10 | 10 | 10 | 10 | 0 | 0 | 5 | 5 | 5 | 69 |
| EXP2025/011055 | P2419900B | AYUNTAMIENTO DE VEGA DE ESPINAREDA. | T1 | 10 | 0 | 1 | 3 | 10 | 10 | 10 | 0 | 5 | 0 | 5 | 5 | 0 | 59 |
| EXP2025/011059 | P4305600A | AYUNTAMIENTO DE FALSET. | T1 | 10 | 0 | 1 | 3 | 10 | 0 | 10 | 10 | 5 | 0 | 5 | 5 | 5 | 64 |
| EXP2025/011071 | P2805700H | AYUNTAMIENTO DE FRESNO DE TOROTE. | T1 | 10 | 0 | 1 | 3 | 10 | 0 | 10 | 10 | 5 | 5 | 5 | 5 | 5 | 69 |
| EXP2025/011079 | P0802800C | AYUNTAMIENTO DE CABRERA D ANOIA. | T1 | 5 | 0 | 1 | 3 | 10 | 0 | 0 | 10 | 5 | 5 | 0 | 5 | 5 | 49 |
| EXP2025/011129 | P1211400E | AYUNTAMIENTO DE TORAS. | T1 | 10 | 0 | 1 | 3 | 10 | 10 | 10 | 10 | 5 | 5 | 5 | 5 | 5 | 79 |
| EXP2025/011155 | P0401900F | AYUNTAMIENTO BACARES. | T1 | 10 | 0 | 1 | 3 | 10 | 10 | 10 | 10 | 5 | 5 | 5 | 5 | 5 | 79 |
| EXP2025/011170 | P4309500I | AJUNTAMENT DE MORA LA NOVA. | T1 | 10 | 0 | 1 | 3 | 10 | 10 | 10 | 10 | 5 | 0 | 5 | 5 | 5 | 74 |
| EXP2025/011179 | P4311000F | AJUNTAMENT DEL PLA DE SANTA MARIA. | T1 | 10 | 0 | 1 | 3 | 10 | 0 | 10 | 10 | 0 | 5 | 5 | 5 | 5 | 64 |
| EXP/100170 | P1405300C | AYUNTAMIENTO DE POSADAS. | T1 | 10 | 0 | 1 | 3 | 10 | 0 | 10 | 10 | 5 | 5 | 5 | 0 | 5 | 64 |
| EXP/99615 | P0205700H | AYUNTAMIENTO DE OSSA DE MONTIEL. | T1 | 5 | 0 | 1 | 3 | 10 | 10 | 10 | 10 | 0 | 0 | 0 | 0 | 0 | 49 |
| EXP2025/008399 | P2304000I | AYUNTAMIENTO DE LAHIGUERA. | T1 | 7 | 0 | 1 | 3 | 10 | 10 | 10 | 10 | 5 | 5 | 0 | 5 | 5 | 71 |
| EXP2025/009286 | P1903700A | AYUNTAMIENTO DE ANGUITA. | T1 | 7 | 0 | 1 | 3 | 0 | 0 | 0 | 10 | 5 | 5 | 5 | 0 | 5 | 41 |
| EXP2025/009597 | P1210900E | AYUNTAMIENTO TALES. | T1 | 10 | 0 | 2 | 3 | 10 | 0 | 10 | 10 | 5 | 0 | 5 | 0 | 5 | 60 |
| EXP2025/010120 | P1926300C | AYUNTAMIENTO DE PIOZ. | T1 | 10 | 0 | 1 | 3 | 10 | 0 | 10 | 10 | 5 | 5 | 5 | 5 | 5 | 69 |
| EXP2025/010132 | P0803400A | AJUNTAMENT DE CALDERS. | T1 | 10 | 0 | 1 | 3 | 10 | 0 | 10 | 10 | 5 | 5 | 5 | 5 | 5 | 69 |
| EXP2025/010209 | P2813300G | AYUNTAMIENTO DE SAN MARTIN DE VALDEIGLESIAS. | T1 | 5 | 0 | 1 | 3 | 10 | 0 | 10 | 10 | 5 | 5 | 5 | 5 | 5 | 64 |
| EXP2025/010249 | P4604700G | AYUNTAMIENTO DE BELGIDA. | T1 | 10 | 0 | 1 | 3 | 10 | 0 | 10 | 10 | 0 | 5 | 5 | 0 | 0 | 54 |
| EXP2025/010256 | P4626000F | AYUNTAMIENTO DE VILLAR DEL ARZOBISPO. | T1 | 10 | 0 | 1 | 3 | 10 | 0 | 10 | 10 | 5 | 5 | 5 | 5 | 5 | 69 |
| EXP2025/010261 | P4607800B | AYUNTAMIENTO DE BUGARRA. | T1 | 10 | 0 | 1 | 3 | 10 | 0 | 10 | 10 | 5 | 5 | 5 | 5 | 5 | 69 |
| EXP2025/010366 | P4017600J | AYUNTAMIENTO DE ORTIGOSA DEL MONTE. | T1 | 10 | 0 | 1 | 3 | 10 | 0 | 10 | 10 | 5 | 0 | 5 | 5 | 0 | 59 |
| EXP2025/010883 | P1001000G | AYUNTAMIENTO DE ALCUESCAR. | T1 | 10 | 0 | 1 | 3 | 10 | 10 | 10 | 10 | 0 | 0 | 5 | 5 | 5 | 69 |
| EXP2025/011152 | P2215300A | AYUNTAMIENTO DE FONZ. | T1 | 10 | 0 | 1 | 3 | 10 | 10 | 0 | 10 | 5 | 0 | 5 | 5 | 5 | 64 |
| EXP2025/011372 | P1812200B | AYUNTAMIENTO DE LOBRAS. | T1 | 10 | 0 | 1 | 3 | 0 | 0 | 10 | 0 | 5 | 0 | 0 | 5 | 0 | 34 |
| EXP2025/011396 | P3304500F | AYUNTAMIENTO DE PARRES. | T1 | 10 | 0 | 1 | 3 | 10 | 10 | 10 | 10 | 5 | 5 | 5 | 5 | 5 | 79 |
| EXP2025/011814 | P1308300A | AYUNTAMIENTO DE TORRALBA DE CVA. | T1 | 10 | 0 | 1 | 3 | 10 | 10 | 10 | 10 | 5 | 5 | 5 | 5 | 5 | 79 |
| EXP2025/011817 | P4623300C | AJUNTAMENT DE SIMAT DE LA VALLDIGNA. | T1 | 10 | 0 | 1 | 3 | 10 | 10 | 10 | 10 | 5 | 0 | 5 | 0 | 5 | 69 |
| EXP2025/011824 | P1101300J | AYUINTAMIENTO DE CASTELLAR DE LA FRONTERA. | T1 | 5 | 0 | 1 | 3 | 10 | 0 | 10 | 10 | 5 | 5 | 5 | 5 | 5 | 64 |
| EXP2025/011893 | P1404300D | AYUNTAMIENTO DE MONTORO. | T1 | 0 | 0 | 1 | 3 | 0 | 0 | 0 | 0 | 0 | 0 | 0 | 0 | 0 | 4 |
| EXP2025/011894 | P2302600H | AYUNTAMIENTO DE CASTILLO DE LOCUBIN. | T1 | 10 | 0 | 1 | 3 | 0 | 0 | 10 | 10 | 5 | 5 | 5 | 0 | 5 | 54 |
| EXP2025/011947 | P1936900H | AYUNTAMIENTO DE VALDERREBOLLO. | T1 | 10 | 0 | 1 | 3 | 10 | 0 | 10 | 10 | 5 | 5 | 5 | 5 | 5 | 69 |
| EXP2025/011978 | P1012400F | AYUNTAMIENTO DE MIAJADAS. | T1 | 10 | 0 | 1 | 3 | 10 | 10 | 10 | 10 | 5 | 5 | 5 | 5 | 5 | 79 |
| EXP2025/014652 | P2505200B | AJUNTAMENT DE LA VALL DE BOI. | T1 | 7 | 0 | 1 | 3 | 10 | 10 | 10 | 10 | 5 | 0 | 5 | 5 | 5 | 71 |
| EXP2025/011204 | P1010800I | AYUNTAMIENTO JARANDILLA DE LA VERA. | T1 | 10 | 0 | 1 | 3 | 10 | 10 | 10 | 10 | 5 | 5 | 5 | 5 | 5 | 79 |
| EXP2025/011207 | P1200200B | AYUNTAMIENTO DE AIN. | T1 | 7 | 0 | 1 | 3 | 10 | 0 | 10 | 0 | 0 | 0 | 0 | 0 | 0 | 31 |
| EXP2025/011217 | P4623800B | AJUNTAMENT DE SUMACARCER. | T1 | 10 | 0 | 1 | 3 | 10 | 10 | 10 | 10 | 5 | 0 | 5 | 5 | 5 | 74 |
| EXP2025/011231 | P1804800I | AYUNTAMIENTO DE CENES DE LA VEGA. | T1 | 10 | 0 | 1 | 3 | 10 | 10 | 10 | 10 | 0 | 5 | 5 | 5 | 5 | 74 |
| EXP2025/011269 | P4003500H | AYUNTAMIENTO DE BERNUY DE PORREROS. | T1 | 10 | 0 | 1 | 3 | 10 | 0 | 10 | 10 | 5 | 5 | 5 | 5 | 5 | 69 |
| EXP2025/011291 | P4625500F | AYUNTAMIENTO DE VALLES. | T1 | 10 | 0 | 1 | 3 | 10 | 0 | 10 | 10 | 5 | 5 | 5 | 5 | 5 | 69 |
| EXP2025/011294 | P4318600F | AJUNTAMENT DE LAMPOLLA. | T1 | 10 | 0 | 1 | 3 | 10 | 0 | 10 | 10 | 0 | 5 | 0 | 5 | 5 | 59 |
| EXP2025/011317 | P2800800A | AYUNTAMIENTO DE ALDEA DEL FRESNO. | T1 | 10 | 0 | 1 | 3 | 10 | 0 | 10 | 10 | 5 | 5 | 5 | 5 | 5 | 69 |
| EXP2025/011328 | P2531600A | AJUNTAMENT DEL VILOSELL. | T1 | 10 | 0 | 1 | 3 | 10 | 10 | 10 | 10 | 0 | 5 | 5 | 0 | 0 | 64 |
| EXP2025/011335 | P4604600I | AJUNTAMENT DE BARX. | T1 | 10 | 0 | 1 | 3 | 10 | 10 | 10 | 10 | 5 | 5 | 5 | 5 | 5 | 79 |
| EXP2025/011351 | P5015400D | AYUNTAMIENTO DE MAGALLÓN. | T1 | 10 | 0 | 1 | 3 | 10 | 10 | 10 | 10 | 5 | 0 | 5 | 5 | 0 | 69 |
| EXP2025/011357 | P5020200A | AYUNTAMIENTO DE PARACUELLOS DE JILOCA. | T1 | 7 | 0 | 1 | 3 | 10 | 0 | 10 | 10 | 5 | 0 | 5 | 0 | 5 | 56 |
| EXP2025/011370 | P0905800I | AYUNTAMIENTO DE BRIVIESCA. | T1 | 10 | 0 | 1 | 3 | 10 | 0 | 10 | 10 | 5 | 0 | 5 | 5 | 5 | 64 |
| EXP2025/011371 | P0402400F | AYUNTAMIENTO DE BENAHADUX. | T1 | 10 | 0 | 1 | 3 | 0 | 0 | 10 | 10 | 5 | 0 | 5 | 0 | 5 | 49 |
| EXP2025/011377 | P1407200C | AYUNTAMIENTO DE VILLARALTO. | T1 | 0 | 0 | 1 | 3 | 10 | 10 | 0 | 10 | 0 | 5 | 0 | 5 | 0 | 44 |
| EXP2025/011381 | P0601000C | AYUNTAMIENTO DE ALMENDRAL. | T1 | 10 | 0 | 1 | 3 | 0 | 0 | 10 | 10 | 5 | 0 | 5 | 5 | 5 | 54 |
| EXP2025/011386 | P1302000C | AYUNTAMIENTO DE ARGAMASILLA DE CALATRAVA. | T1 | 10 | 0 | 1 | 3 | 10 | 10 | 10 | 10 | 5 | 5 | 5 | 5 | 0 | 74 |
| EXP2025/011407 | P0700900D | AJUNTAMENT DE BUGER. | T1 | 10 | 0 | 1 | 3 | 0 | 0 | 10 | 10 | 5 | 5 | 0 | 0 | 0 | 44 |
| EXP2025/011417 | P0106700H | AYUNTAMIENTO DE LEGUTIO. | T1 | 10 | 0 | 1 | 3 | 10 | 10 | 0 | 10 | 5 | 5 | 5 | 5 | 5 | 69 |
| EXP2025/011436 | P4203200C | AYUNTAMIENTO DE ALMAZAN. | T1 | 10 | 0 | 1 | 3 | 10 | 0 | 0 | 10 | 0 | 5 | 0 | 5 | 5 | 49 |
| EXP2025/011439 | P1201800H | AYUNTAMIENTO DE AZUEBAR. | T1 | 10 | 0 | 1 | 3 | 10 | 10 | 10 | 10 | 5 | 0 | 5 | 0 | 5 | 69 |
| EXP2025/011475 | P2230900I | AYUNTAMIENTO DE SIÉTAMO. | T1 | 10 | 0 | 1 | 3 | 10 | 0 | 10 | 10 | 5 | 0 | 5 | 5 | 5 | 64 |
| EXP2025/011483 | P0405700F | AYUNTAMIENTO DE LAUJAR DE ANDARAX. | T1 | 0 | 0 | 0 | 3 | 10 | 0 | 0 | 0 | 0 | 0 | 0 | 5 | 0 | 18 |
| EXP2025/011509 | P4600052G | ENTIDAD LOCAL MENOR MARENY DE BARRAQUETES. | T1 | 10 | 0 | 1 | 3 | 10 | 0 | 10 | 10 | 5 | 0 | 5 | 5 | 5 | 64 |
| EXP2025/011513 | P1301700I | AYUNTAMIENTO DE ANCHURAS. | T1 | 10 | 0 | 2 | 3 | 0 | 0 | 10 | 10 | 5 | 5 | 0 | 5 | 5 | 55 |
| EXP2025/011535 | P2909600E | AYUNTAMIENTO VILLANUEVA DEL ROSARIO. | T1 | 10 | 0 | 1 | 3 | 10 | 10 | 10 | 10 | 5 | 0 | 5 | 0 | 5 | 69 |
| EXP2025/011543 | P0701600I | AJUNTAMENT DE CONSELL. | T1 | 10 | 0 | 1 | 3 | 10 | 0 | 10 | 10 | 5 | 0 | 5 | 5 | 5 | 64 |
| EXP2025/011547 | P3800500E | AYUNTAMIENTO DE ARICO. | T1 | 10 | 0 | 1 | 3 | 10 | 0 | 10 | 10 | 5 | 5 | 5 | 5 | 5 | 69 |
| EXP2025/011558 | P2406300J | AYUNTAMIENTO DE CUADROS. | T1 | 10 | 0 | 1 | 3 | 0 | 0 | 10 | 0 | 0 | 0 | 5 | 5 | 5 | 39 |
| EXP2025/011559 | P1815200I | AYUNTAMIENTO DE OTURA. | T1 | 10 | 0 | 1 | 3 | 0 | 0 | 10 | 10 | 5 | 5 | 5 | 0 | 0 | 49 |
| EXP2025/011569 | P5018300C | AYUNTAMIENTO DE LA MUELA. | T1 | 7 | 0 | 1 | 3 | 10 | 0 | 10 | 10 | 5 | 5 | 5 | 5 | 5 | 66 |
| EXP2025/011580 | P0806800I | AJUNTAMENT DE COLLBATu00D3. | T1 | 10 | 0 | 1 | 3 | 10 | 0 | 10 | 10 | 5 | 5 | 5 | 5 | 5 | 69 |
| EXP2025/011581 | P3125000D | AYUNTAMIENTO DE BERA. | T1 | 10 | 0 | 1 | 3 | 10 | 10 | 10 | 10 | 5 | 0 | 5 | 5 | 5 | 74 |
| EXP2025/011583 | P1300600B | AYUNTAMIENTO DE ALCOBA. | T1 | 10 | 0 | 1 | 3 | 0 | 0 | 10 | 10 | 5 | 5 | 5 | 0 | 5 | 54 |
| EXP2025/011584 | P2812500C | AYUNTAMIENTO DE ROBLEDO DE CHAVELA. | T1 | 10 | 0 | 1 | 3 | 10 | 0 | 10 | 10 | 0 | 0 | 5 | 5 | 0 | 54 |
| EXP2025/011586 | P3108700J | AYUNTAMIENTO DE NOAIN (VALLE DE ELORZ). | T1 | 10 | 0 | 1 | 3 | 10 | 0 | 10 | 10 | 5 | 5 | 5 | 5 | 5 | 69 |
| EXP2025/011597 | P4404900E | AYUNTAMIENTO DE CALACEITE. | T1 | 10 | 0 | 1 | 3 | 10 | 10 | 10 | 10 | 5 | 5 | 5 | 5 | 5 | 79 |
| EXP2025/011626 | P2008600E | ZUMARRAGAKO UDALA / AYUNTAMIENTO DE ZUMARRAGA. | T1 | 10 | 0 | 1 | 3 | 10 | 0 | 10 | 10 | 5 | 5 | 5 | 5 | 5 | 69 |
| EXP2025/011632 | P0815400G | AJUNTAMENT DE PALAFOLLS. | T1 | 10 | 0 | 1 | 3 | 10 | 0 | 10 | 10 | 5 | 5 | 5 | 5 | 5 | 69 |
| EXP2025/011645 | P2216300J | AYUNTAMIENTO DE GRAUS. | T1 | 10 | 0 | 1 | 3 | 10 | 10 | 10 | 10 | 5 | 5 | 5 | 5 | 5 | 79 |
| EXP2025/011657 | P1204300F | AYUNTAMIENTO DE CAUDIEL. | T1 | 10 | 0 | 1 | 3 | 10 | 0 | 10 | 10 | 5 | 5 | 5 | 5 | 5 | 69 |
| EXP2025/011660 | P4617800J | AYUNTAMIENTO DE MONTROI. | T1 | 10 | 0 | 1 | 3 | 10 | 0 | 10 | 10 | 5 | 5 | 5 | 5 | 5 | 69 |
| EXP2025/011666 | P0101500G | BERANTEBILLAKO UDALA - AYUNTAMIENTO DE BERANTEVILLA. | T1 | 10 | 0 | 1 | 3 | 10 | 10 | 10 | 10 | 5 | 5 | 5 | 5 | 5 | 79 |
| EXP2025/011672 | P4620000B | AJUNTAMENT DE POTRIES. | T1 | 10 | 0 | 1 | 3 | 10 | 0 | 10 | 10 | 5 | 5 | 5 | 5 | 5 | 69 |
| EXP2025/011675 | P2420600E | AYUNTAMIENTO DE VILLABLINO. | T1 | 5 | 0 | 1 | 3 | 0 | 0 | 0 | 0 | 5 | 0 | 5 | 5 | 5 | 29 |
| EXP2025/011679 | P4619300I | AYUNTAMIENTO DE PEDRALBA. | T1 | 10 | 0 | 1 | 3 | 10 | 0 | 10 | 10 | 5 | 5 | 5 | 5 | 5 | 69 |
| EXP2025/011680 | P4600027I | AYUNTAMIENTO BENICULL. | T1 | 7 | 0 | 1 | 3 | 10 | 0 | 0 | 0 | 5 | 0 | 0 | 5 | 5 | 36 |
| EXP2025/011681 | P0505400B | AYUNTAMIENTO DE CASAVIEJA. | T1 | 10 | 0 | 1 | 3 | 10 | 0 | 10 | 10 | 0 | 0 | 5 | 0 | 0 | 49 |
| EXP2025/011688 | P4908100C | AYUNTAMIENTO DE FIGUERUELA DE ARRIBA. | T1 | 10 | 0 | 1 | 3 | 10 | 10 | 10 | 10 | 5 | 5 | 5 | 5 | 5 | 79 |
| EXP2025/011697 | P4604100J | AYUNTAMIENTO DE ARAS DE LOS OLMOS. | T1 | 10 | 0 | 0 | 3 | 10 | 10 | 10 | 10 | 5 | 0 | 0 | 0 | 5 | 63 |
| EXP2025/011699 | P0304300G | M.I. AYUNTAMIENTO BIAR. | T1 | 10 | 0 | 1 | 3 | 10 | 10 | 10 | 10 | 5 | 5 | 5 | 5 | 5 | 79 |
| EXP2025/011712 | P2309700I | AYUNTAMIENTO DE VILLANUEVA DEL ARZOBISPO. | T1 | 10 | 0 | 1 | 3 | 10 | 10 | 10 | 10 | 5 | 5 | 5 | 5 | 5 | 79 |
| EXP2025/011713 | P4101200F | AYUNTAMIENTO DE AZNALCAZAR. | T1 | 10 | 0 | 1 | 3 | 10 | 10 | 10 | 10 | 5 | 5 | 5 | 5 | 5 | 79 |
| EXP2025/011720 | P4611500B | AJUNTAMENT DE DAIMUS. | T1 | 7 | 0 | 1 | 3 | 10 | 0 | 10 | 10 | 5 | 5 | 0 | 5 | 0 | 56 |
| EXP2025/011723 | P1800009A | ENTIDAD LOCAL MENOR DE TORRENUEVA. | T1 | 10 | 0 | 1 | 3 | 10 | 10 | 10 | 10 | 5 | 5 | 5 | 5 | 5 | 79 |
| EXP2025/011725 | P0106100A | KANPEZUKO UDALA / AYUNTAMIENTO DE CAMPEZO. | T1 | 0 | 0 | 1 | 3 | 0 | 0 | 10 | 10 | 5 | 5 | 0 | 0 | 0 | 34 |
| EXP2025/011753 | P4603500B | AJUNTAMENT DALMUSSAFES. | T1 | 10 | 0 | 1 | 3 | 0 | 0 | 10 | 10 | 5 | 5 | 5 | 0 | 5 | 54 |
| EXP2025/011762 | P1200300J | AJUNTAMENT DALBOCASSER. | T1 | 10 | 0 | 1 | 3 | 10 | 0 | 10 | 10 | 5 | 5 | 5 | 5 | 5 | 69 |
| EXP2025/011765 | P2528500H | AJUNTAMENT DE TORREFARRERA. | T1 | 10 | 0 | 1 | 3 | 10 | 0 | 10 | 10 | 5 | 5 | 5 | 5 | 5 | 69 |
| EXP2025/011780 | P4426000H | AYUNTAMIENTO DE VALDERROBRES. | T1 | 7 | 0 | 1 | 3 | 10 | 0 | 10 | 10 | 5 | 0 | 0 | 0 | 5 | 51 |
| EXP2025/011783 | P0700800F | AJUNTAMENT DE BINISSALEM. | T1 | 10 | 0 | 1 | 3 | 10 | 10 | 10 | 10 | 5 | 0 | 5 | 5 | 5 | 74 |
| EXP2025/011784 | P1206000J | AYUNTAMIENTO DE FIGUEROLES. | T1 | 10 | 0 | 1 | 3 | 10 | 10 | 10 | 10 | 5 | 5 | 5 | 5 | 5 | 79 |
| EXP2025/011787 | P2813700H | AYUNTAMIENTO DE LOS SANTOS DE LA HUMOSA. | T1 | 10 | 0 | 1 | 3 | 0 | 0 | 10 | 10 | 5 | 5 | 5 | 5 | 5 | 59 |
| EXP2025/011790 | P2507000D | AJUNTAMENT DE LES BORGES BLANQUES. | T1 | 10 | 0 | 1 | 3 | 10 | 0 | 10 | 10 | 5 | 5 | 5 | 5 | 5 | 69 |
| EXP2025/011794 | P5020400G | AYUNTAMIENTO DE PASTRIZ. | T1 | 10 | 0 | 1 | 3 | 10 | 10 | 0 | 10 | 0 | 5 | 5 | 0 | 5 | 59 |
| EXP2025/011799 | P4402900G | AYUNTAMIENTO DE ARIÑO. | T1 | 10 | 0 | 0 | 3 | 10 | 0 | 0 | 10 | 5 | 5 | 0 | 5 | 0 | 48 |
| EXP2025/011820 | P1212500A | AYUNTAMIENTO DE VALL DE ALMONACID. | T1 | 10 | 0 | 1 | 3 | 10 | 0 | 10 | 10 | 5 | 5 | 5 | 5 | 5 | 69 |
| EXP2025/011832 | P0309200D | AYUNTAMIENTO MURO DE ALCOY. | T1 | 10 | 0 | 1 | 3 | 10 | 0 | 10 | 10 | 5 | 5 | 5 | 5 | 5 | 69 |
| EXP2025/011835 | P2300700H | AYUNTAMIENTO DE ARJONILLA. | T1 | 10 | 0 | 1 | 3 | 10 | 0 | 10 | 10 | 0 | 5 | 5 | 0 | 5 | 59 |
| EXP2025/011837 | P1813800H | AYUNTAMIENTO DE MONTEJICAR. | T1 | 10 | 0 | 1 | 3 | 10 | 10 | 10 | 10 | 5 | 0 | 5 | 5 | 5 | 74 |
| EXP2025/011841 | P0701200H | AJUNTAMENT DE CAMPANET. | T1 | 10 | 0 | 1 | 3 | 10 | 10 | 10 | 0 | 5 | 5 | 0 | 5 | 5 | 64 |
| EXP2025/011845 | P0600600A | AYUNTAMIENTO DE ALBURQUERQUE. | T1 | 7 | 0 | 1 | 3 | 10 | 10 | 10 | 10 | 5 | 5 | 5 | 5 | 5 | 76 |
| EXP2025/011846 | P3909000F | AYUNTAMIENTO DE UDIAS. | T1 | 10 | 0 | 1 | 3 | 10 | 10 | 10 | 10 | 5 | 5 | 5 | 5 | 5 | 79 |
| EXP2025/011850 | P4808700A | AYUNTAMIENTO DE ORDUÑA. | T1 | 10 | 0 | 1 | 3 | 0 | 0 | 0 | 0 | 0 | 0 | 5 | 0 | 0 | 19 |
| EXP2025/011872 | P4300100G | AJUNTAMENT DE AIGUAMURCIA. | T1 | 7 | 0 | 1 | 3 | 10 | 0 | 10 | 10 | 5 | 5 | 0 | 5 | 5 | 61 |
| EXP2025/011881 | P4621300E | AYUNTAMIENTO DE REAL DE GANDIA. | T1 | 10 | 0 | 1 | 3 | 10 | 0 | 10 | 10 | 5 | 0 | 5 | 5 | 5 | 64 |
| EXP2025/011885 | P1202600A | AJUNTAMENT DE BENASSAL. | T1 | 10 | 0 | 1 | 3 | 10 | 10 | 10 | 10 | 5 | 5 | 5 | 5 | 5 | 79 |
| EXP2025/011916 | P1935400J | AYUNTAMIENTO DE UCEDA. | T1 | 10 | 0 | 1 | 3 | 10 | 0 | 10 | 10 | 0 | 5 | 5 | 5 | 5 | 64 |
| EXP2025/011924 | P5002500F | AYUNTAMIENTO DE LA ALMUNIA DE DOu00D1A GODINA. | T1 | 10 | 0 | 1 | 3 | 10 | 10 | 10 | 10 | 5 | 5 | 5 | 5 | 5 | 79 |
| EXP2025/011929 | P1401900D | AYUNTAMIENTO DE CASTRO DEL RIO. | T1 | 10 | 0 | 1 | 3 | 0 | 0 | 0 | 0 | 5 | 5 | 0 | 0 | 0 | 24 |
| EXP2025/011950 | P5015300F | AYUNTAMIENTO DE MAELLA. | T1 | 10 | 0 | 1 | 3 | 10 | 10 | 10 | 10 | 5 | 0 | 5 | 5 | 5 | 74 |
| EXP2025/011956 | P1811800J | AYUNTAMIENTO DE LANJARON. | T1 | 10 | 0 | 1 | 3 | 10 | 0 | 10 | 10 | 5 | 5 | 5 | 5 | 5 | 69 |
| EXP2025/011962 | P2607000C | AYUNTAMIENTO DE GRAVALOS. | T1 | 10 | 0 | 1 | 3 | 10 | 10 | 10 | 10 | 5 | 0 | 5 | 5 | 5 | 74 |
| EXP2025/011965 | P1810400J | AYUNTAMIENTO DE ILLORA. | T1 | 10 | 0 | 1 | 3 | 0 | 0 | 0 | 0 | 0 | 5 | 5 | 5 | 5 | 34 |
| EXP2025/011971 | P1301900E | AYUNTAMIENTO DE ARGAMASILLA DE ALBA. | T1 | 10 | 0 | 1 | 3 | 10 | 10 | 10 | 10 | 0 | 5 | 5 | 5 | 5 | 74 |
| EXP2025/011979 | P3305700A | AYUNTAMIENTO DE RIBERA DE ARRIBA. | T1 | 10 | 0 | 1 | 3 | 10 | 10 | 10 | 0 | 5 | 0 | 0 | 0 | 5 | 54 |
| EXP2025/011991 | P1302100A | AYUNTAMIENTO DE ARROBA DE LOS MONTES. | T1 | 10 | 0 | 2 | 3 | 0 | 0 | 10 | 10 | 0 | 5 | 5 | 0 | 5 | 50 |
| EXP2025/012009 | P1204500A | AYUNTAMIENTO DE CINCTORRES. | T1 | 10 | 0 | 1 | 3 | 10 | 10 | 10 | 10 | 5 | 0 | 5 | 0 | 5 | 69 |
| EXP2025/012015 | P0314100I | AYUNTAMIENTO DE LOS MONTESINOS. | T1 | 10 | 0 | 1 | 3 | 10 | 0 | 10 | 10 | 5 | 5 | 5 | 5 | 5 | 69 |
| EXP2025/012035 | P4303300J | AJUNTAMENT DE BOTARELL. | T1 | 5 | 0 | 1 | 3 | 10 | 0 | 10 | 10 | 5 | 5 | 5 | 5 | 5 | 64 |
| EXP2025/012038 | P1925300D | AYUNTAMIENTO DE PASTRANA. | T1 | 10 | 0 | 1 | 3 | 10 | 10 | 10 | 10 | 0 | 0 | 5 | 5 | 0 | 64 |
| EXP2025/012049 | P1606700A | AYUNTAMIENTO DE CASASIMARRO. | T1 | 10 | 0 | 1 | 3 | 10 | 0 | 10 | 10 | 5 | 5 | 5 | 5 | 5 | 69 |
| EXP2025/012056 | P1307700C | AYUNTAMIENTO DE SANTA CRUZ DE MUDELA. | T1 | 10 | 0 | 1 | 3 | 10 | 0 | 10 | 10 | 5 | 5 | 5 | 5 | 5 | 69 |
| EXP2025/012063 | P1710900J | AJUNTAMENT DE MAu00C7ANET DE LA SELVA. | T1 | 10 | 0 | 1 | 3 | 10 | 0 | 10 | 0 | 5 | 5 | 5 | 5 | 5 | 59 |
| EXP2025/012064 | P2817900J | AYUNTAMIENTO DE VILLAR OLMO. | T1 | 10 | 0 | 1 | 3 | 10 | 0 | 10 | 10 | 5 | 5 | 5 | 5 | 5 | 69 |
| EXP2025/012065 | P2528900J | AJUNTAMENT DE TORRES DE SEGRE. | T1 | 10 | 0 | 1 | 3 | 10 | 10 | 10 | 10 | 5 | 5 | 5 | 5 | 5 | 79 |
| EXP2025/012071 | P1819800B | AYUNTAMIENTO DE ZUJAR. | T1 | 10 | 0 | 1 | 3 | 10 | 10 | 10 | 10 | 5 | 0 | 5 | 0 | 5 | 69 |
| EXP2025/012073 | P4709900G | AYUNTAMIENTO DE MUCIENTES. | T1 | 7 | 0 | 1 | 3 | 10 | 0 | 0 | 10 | 0 | 0 | 5 | 5 | 5 | 46 |
| EXP2025/012100 | P1712900H | AJUNTAMENT DE PALAU SATOR. | T1 | 7 | 0 | 1 | 3 | 10 | 0 | 0 | 10 | 5 | 5 | 0 | 5 | 5 | 51 |
| EXP2025/012103 | P0505500I | AYUNTAMIENTO DE CASILLAS. | T1 | 10 | 0 | 1 | 3 | 10 | 10 | 10 | 10 | 5 | 5 | 5 | 0 | 5 | 74 |
| EXP2025/012153 | P1813000E | AYUNTAMIENTO DE ALPUJARRA DE LA SIERRA. | T1 | 7 | 0 | 1 | 3 | 10 | 0 | 0 | 0 | 5 | 5 | 0 | 5 | 5 | 41 |
| EXP2025/012187 | P0702000A | AJUNTAMENT DESPORLES. | T1 | 7 | 0 | 1 | 3 | 10 | 10 | 10 | 10 | 5 | 5 | 5 | 5 | 5 | 76 |
| EXP2025/012201 | P2216700A | AYUNTAMIENTO DE GURREA DE GALLEGO. | T1 | 10 | 0 | 1 | 3 | 10 | 10 | 0 | 10 | 5 | 5 | 5 | 5 | 5 | 69 |
| EXP2025/012205 | P2301200H | AYUNTAMIENTO DE BEAS DE SEGURA0 29482862. | T1 | 10 | 0 | 1 | 3 | 0 | 0 | 10 | 10 | 0 | 5 | 5 | 0 | 5 | 49 |
| EXP2025/012207 | P2217900F | AYUNTAMIENTO DE JASA. | T1 | 10 | 0 | 1 | 3 | 10 | 10 | 10 | 10 | 5 | 5 | 5 | 5 | 5 | 79 |
| EXP2025/012226 | P0406900A | AYUNTAMIENTO DE OLULA DEL RIO. | T1 | 10 | 0 | 1 | 3 | 10 | 10 | 10 | 10 | 5 | 5 | 5 | 5 | 5 | 79 |
| EXP2025/012490 | P1709900C | AYUNTAMIENTO DE LLANCA. | T1 | 7 | 0 | 2 | 3 | 10 | 0 | 10 | 10 | 5 | 5 | 0 | 5 | 0 | 57 |
| EXP2025/012513 | P0700600J | AJUNTAMENT DE ARTA. | T1 | 10 | 0 | 1 | 3 | 0 | 0 | 10 | 10 | 5 | 5 | 5 | 5 | 0 | 54 |
| EXP2025/012515 | P3301000J | AYUNTAMIENTO DE CANDAMO. | T1 | 10 | 0 | 1 | 3 | 10 | 10 | 10 | 10 | 5 | 5 | 5 | 0 | 5 | 74 |
| EXP2025/012554 | P0702900B | AYUNTAMIENTO DE LLOSETA. | T1 | 10 | 0 | 1 | 3 | 10 | 0 | 10 | 10 | 5 | 5 | 5 | 5 | 5 | 69 |
| EXP2025/012561 | P1818900A | AYUNTAMIENTO DE VENTAS DE HUELMA Y ACULA. | T1 | 10 | 0 | 1 | 3 | 10 | 10 | 10 | 10 | 5 | 5 | 5 | 5 | 5 | 79 |
| EXP2025/012698 | P2803800H | AYUNTAMIENTO DE CERCEDILLA. | T1 | 10 | 0 | 1 | 3 | 10 | 0 | 10 | 10 | 5 | 5 | 5 | 5 | 5 | 69 |
| EXP2025/013603 | P4303400H | AYUNTAMIENTO DE BRAFIM. | T1 | 10 | 0 | 1 | 3 | 10 | 0 | 10 | 10 | 5 | 5 | 5 | 5 | 5 | 69 |
| EXP2025/011187 | P2805900D | AYUNTAMIENTO DE FUENTE EL SAZ DE JARAMA. | T1 | 10 | 0 | 1 | 3 | 0 | 0 | 10 | 10 | 0 | 5 | 5 | 5 | 5 | 54 |
| EXP2025/011189 | P2807500J | AYUNTAMIENTO DE LOECHES. | T1 | 10 | 0 | 1 | 3 | 10 | 0 | 10 | 10 | 0 | 5 | 5 | 5 | 5 | 64 |
| EXP2025/011196 | P1800037B | AYUNTAMIENTO DE VALDERRUBIO. | T1 | 10 | 0 | 1 | 3 | 10 | 0 | 10 | 10 | 5 | 5 | 5 | 5 | 5 | 69 |
| EXP2025/011261 | P0401800H | AYUNTAMIENTO DE ARMUÑA DE ALMANZORA. | T1 | 10 | 0 | 1 | 3 | 10 | 10 | 10 | 10 | 0 | 5 | 5 | 0 | 0 | 64 |
| EXP2025/011331 | P4310600D | AYUNTAMIENTO DEL PERELLO. | T1 | 7 | 0 | 1 | 3 | 10 | 0 | 10 | 10 | 5 | 5 | 0 | 5 | 5 | 61 |
| EXP2025/011343 | P4600300J | AJUNTAMENT DATZENETA DALBAIDA. | T1 | 10 | 0 | 1 | 3 | 10 | 0 | 10 | 10 | 5 | 5 | 5 | 5 | 5 | 69 |
| EXP2025/011344 | P2521100D | AJUNTAMENT DE LA POBLA DE CERVOLES. | T1 | 10 | 0 | 1 | 3 | 10 | 10 | 10 | 10 | 5 | 5 | 5 | 5 | 5 | 79 |
| EXP2025/011345 | P1811300A | AYUNTAMIENTO DE JUN. | T1 | 0 | 0 | 1 | 3 | 10 | 10 | 10 | 10 | 5 | 5 | 5 | 5 | 5 | 69 |
| EXP2025/011359 | P4623900J | AYUNTAMIENTO DE TAVERNES BLANQUES. | T1 | 10 | 0 | 1 | 3 | 10 | 0 | 10 | 10 | 5 | 5 | 5 | 5 | 0 | 64 |
| EXP2025/011374 | P2610300B | AYUNTAMIENTO DE NAJERA. | T1 | 10 | 0 | 1 | 3 | 10 | 10 | 10 | 10 | 5 | 5 | 5 | 5 | 5 | 79 |
| EXP2025/011389 | P1402400D | AYUNTAMIENTO DE ENCINAS REALES. | T1 | 5 | 0 | 1 | 3 | 0 | 0 | 10 | 0 | 5 | 5 | 0 | 0 | 5 | 34 |
| EXP2025/011392 | P1719200F | AJUNTAMENT DE SANTA CRISTINA DARO. | T1 | 10 | 0 | 1 | 3 | 10 | 0 | 10 | 10 | 5 | 5 | 5 | 5 | 5 | 69 |
| EXP2025/011394 | P0907700I | AYUNTAMIENTO DE CARDEÑAJIMENO. | T1 | 5 | 0 | 1 | 3 | 10 | 10 | 10 | 10 | 5 | 0 | 0 | 0 | 0 | 54 |
| EXP2025/011408 | P4620500A | AYUNTAMIENTO DE LA POBLA LLARGA. | T1 | 10 | 0 | 1 | 3 | 10 | 10 | 10 | 10 | 5 | 5 | 5 | 5 | 5 | 79 |
| EXP2025/011418 | P2305100F | AYUNTAMIENTO DE JAMILENA. | T1 | 10 | 0 | 1 | 3 | 10 | 0 | 10 | 10 | 0 | 5 | 5 | 5 | 0 | 59 |
| EXP2025/011445 | P2306900H | AYUNTAMIENTO DE PORCUNA. | T1 | 10 | 0 | 1 | 3 | 10 | 0 | 10 | 10 | 5 | 0 | 5 | 5 | 5 | 64 |
| EXP2025/011484 | P1933800C | AYUNTAMIENTO DE TORREJON DEL REY. | T1 | 10 | 0 | 1 | 3 | 10 | 10 | 10 | 10 | 0 | 5 | 5 | 5 | 5 | 74 |
| EXP2025/011488 | P0608500E | AYUNTAMIENTO DE MONESTERIO. | T1 | 5 | 0 | 1 | 3 | 10 | 10 | 0 | 0 | 0 | 5 | 5 | 0 | 5 | 44 |
| EXP2025/011498 | P5007300F | AYUNTAMIENTO DE CARIÑENA. | T1 | 10 | 0 | 1 | 3 | 10 | 0 | 0 | 0 | 0 | 0 | 5 | 5 | 5 | 39 |
| EXP2025/011505 | P1100300A | AYUNTAMIENTO DE ALGAR. | T1 | 10 | 0 | 1 | 3 | 10 | 10 | 10 | 10 | 0 | 5 | 5 | 5 | 5 | 74 |
| EXP2025/011508 | P4911700E | AYUNTAMIENTO DE MAHIDE. | T1 | 10 | 0 | 1 | 3 | 10 | 10 | 10 | 10 | 5 | 5 | 5 | 5 | 0 | 74 |
| EXP2025/011511 | P2807700F | AYUNTAMIENTO DE LOZOYUELA-NAVAS-SIETEIGLESIAS. | T1 | 10 | 0 | 1 | 3 | 10 | 10 | 10 | 10 | 5 | 0 | 5 | 5 | 0 | 69 |
| EXP2025/011550 | P4308700F | AJUNTAMENT DE MONTBLANC. | T1 | 10 | 0 | 1 | 3 | 10 | 10 | 10 | 10 | 5 | 5 | 5 | 5 | 5 | 79 |
| EXP2025/011560 | P4303100D | AJUNTAMENT DE LES BORGES DEL CAMP. | T1 | 10 | 0 | 1 | 3 | 10 | 10 | 10 | 10 | 0 | 5 | 5 | 5 | 5 | 74 |
| EXP2025/011565 | P0510100A | AYUNTAMIENTO DE HOYOCASERO. | T1 | 10 | 0 | 1 | 3 | 10 | 0 | 10 | 10 | 5 | 5 | 5 | 5 | 5 | 69 |
| EXP2025/011572 | P2802800I | AYUNTAMIENTO DE BUSTARVIEJO. | T1 | 10 | 0 | 1 | 3 | 10 | 0 | 10 | 10 | 5 | 5 | 5 | 5 | 5 | 69 |
| EXP2025/011574 | P2500300E | AJUNTAMENT DAGRAMUNT. | T1 | 10 | 0 | 1 | 3 | 10 | 0 | 10 | 0 | 0 | 5 | 5 | 0 | 0 | 44 |
| EXP2025/011602 | P2513900G | AJUNTAMENT DE GUISSONA. | T1 | 10 | 0 | 1 | 3 | 10 | 0 | 10 | 10 | 5 | 5 | 5 | 5 | 5 | 69 |
| EXP2025/011612 | P4304400G | AJUNTAMENT DEL CATLLAR. | T1 | 10 | 0 | 1 | 3 | 0 | 0 | 10 | 10 | 5 | 5 | 5 | 5 | 5 | 59 |
| EXP2025/011613 | P2816300D | AYUNTAMIENTO DE VALDEPIELAGOS DE MADRID. | T1 | 10 | 0 | 1 | 3 | 10 | 0 | 10 | 10 | 5 | 5 | 5 | 5 | 0 | 64 |
| EXP2025/011634 | P0612200F | AYUNTAMIENTO DE LOS SANTOS DE MAIMONA. | T1 | 10 | 0 | 1 | 3 | 10 | 10 | 10 | 0 | 5 | 5 | 5 | 5 | 5 | 69 |
| EXP2025/011640 | P4301100F | AYUNTAMIENTO DE ALMOSTER. | T1 | 10 | 0 | 1 | 3 | 0 | 0 | 10 | 10 | 5 | 5 | 5 | 5 | 0 | 54 |
| EXP2025/011643 | P2528800B | AJUNTAMENT DE TORRELAMEU. | T1 | 10 | 0 | 1 | 3 | 10 | 10 | 10 | 10 | 5 | 0 | 5 | 5 | 5 | 74 |
| EXP2025/011646 | P1208000H | AYUNTAMIENTO DE MORELLA. | T1 | 10 | 0 | 1 | 3 | 10 | 0 | 10 | 10 | 5 | 5 | 5 | 5 | 5 | 69 |
| EXP2025/011652 | P2901300J | AYUNTAMIENTO DE ALOZAINA. | T1 | 10 | 0 | 1 | 3 | 10 | 10 | 10 | 10 | 5 | 5 | 5 | 0 | 5 | 74 |
| EXP2025/011653 | P1703700C | AJUNTAMENT DE CALDES DE MALAVELLA. | T1 | 10 | 0 | 1 | 3 | 10 | 0 | 10 | 10 | 5 | 5 | 5 | 5 | 5 | 69 |
| EXP2025/011671 | P1213900B | AYUNTAMIENTO DE VISTABELLA DEL MAESTRAT. | T1 | 10 | 0 | 1 | 3 | 10 | 0 | 10 | 10 | 5 | 5 | 5 | 5 | 5 | 69 |
| EXP2025/011676 | P2303500I | AYUNTAMIENTO DE FUERTE DEL REY. | T1 | 10 | 0 | 1 | 3 | 0 | 0 | 10 | 10 | 5 | 5 | 5 | 5 | 5 | 59 |
| EXP2025/011684 | P1209200C | AYUNTAMIENTO DE PUEBLA DE ARENOSO. | T1 | 10 | 0 | 1 | 3 | 10 | 10 | 10 | 10 | 5 | 5 | 5 | 5 | 5 | 79 |
| EXP2025/011686 | P1207200E | AYUNTAMIENTO DE LUCENA DEL CID. | T1 | 10 | 0 | 1 | 3 | 10 | 10 | 10 | 10 | 5 | 5 | 5 | 5 | 5 | 79 |
| EXP2025/011691 | P1818800C | AYUNTAMIENTO DE VELEZ BENAUDALLA. | T1 | 10 | 0 | 1 | 3 | 10 | 10 | 10 | 10 | 0 | 5 | 5 | 5 | 5 | 74 |
| EXP2025/011696 | P1401000C | AYUNTAMIENTO DE BENAMEJI. | T1 | 10 | 0 | 1 | 3 | 0 | 0 | 10 | 10 | 0 | 0 | 5 | 0 | 5 | 44 |
| EXP2025/011702 | P5018800B | AYUNTAMIENTO DE NIGUELLA. | T1 | 10 | 0 | 1 | 3 | 0 | 0 | 10 | 0 | 0 | 0 | 0 | 0 | 0 | 24 |
| EXP2025/011707 | P0305200H | AGRUPACIÓN DEL AYUNTAMIENTO DE CAÑADA. | T1 | 10 | 1 | 1 | 3 | 10 | 10 | 10 | 10 | 5 | 0 | 5 | 5 | 5 | 75 |
| EXP2025/011728 | P2525500A | AJUNTAMENT DE SIDAMON. | T1 | 10 | 0 | 1 | 3 | 10 | 10 | 0 | 10 | 0 | 0 | 5 | 5 | 5 | 59 |
| EXP2025/011736 | P1401500B | AYUNTAMIENTO DE CARCABUEY. | T1 | 10 | 0 | 1 | 3 | 0 | 0 | 10 | 10 | 5 | 5 | 5 | 5 | 5 | 59 |
| EXP2025/011749 | P4614400B | AYUNTAMIENTO DE JALANCE. | T1 | 10 | 0 | 1 | 3 | 10 | 10 | 10 | 10 | 5 | 5 | 5 | 5 | 5 | 79 |
| EXP2025/011758 | P2309600A | AYUNTAMIENTO DE VILLANUEVA DE LA REINA. | T1 | 7 | 0 | 1 | 3 | 10 | 10 | 10 | 10 | 5 | 5 | 5 | 0 | 5 | 71 |
| EXP2025/011766 | P1806200J | AYUNTAMIENTO DE CHIMENEAS. | T1 | 10 | 0 | 1 | 3 | 0 | 0 | 10 | 10 | 0 | 5 | 5 | 5 | 5 | 54 |
| EXP2025/011770 | P0704300C | AJUNTAMENT DE PORRERES. | T1 | 10 | 0 | 1 | 3 | 10 | 10 | 10 | 10 | 5 | 5 | 5 | 5 | 5 | 79 |
| EXP2025/011812 | P0205200I | AYUNTAMIENTO DE MOTILLEJA. | T1 | 10 | 0 | 1 | 3 | 10 | 0 | 10 | 10 | 5 | 5 | 5 | 5 | 5 | 69 |
| EXP2025/011815 | P0511500A | AYUNTAMIENTO DE MAELLO. | T1 | 10 | 0 | 1 | 3 | 10 | 10 | 0 | 10 | 5 | 0 | 5 | 0 | 0 | 54 |
| EXP2025/011822 | P1812000F | AYUNTAMIENTO DE NEVADA. | T1 | 7 | 0 | 1 | 3 | 10 | 10 | 0 | 0 | 5 | 5 | 5 | 5 | 5 | 56 |
| EXP2025/011857 | P4502300I | AYUNTAMIENTO DE BURGUILLOS. | T1 | 10 | 0 | 1 | 3 | 10 | 0 | 10 | 10 | 5 | 5 | 5 | 5 | 5 | 69 |
| EXP2025/011892 | P2306600D | AYUNTAMIENTO DE PEAL DE BECERRO. | T1 | 7 | 0 | 2 | 3 | 10 | 0 | 10 | 0 | 5 | 0 | 0 | 0 | 0 | 37 |
| EXP2025/011897 | P3109700I | AYUNTAMIENTO DE ESTERIBAR. | T1 | 10 | 0 | 1 | 3 | 10 | 0 | 10 | 10 | 5 | 5 | 5 | 5 | 5 | 69 |
| EXP2025/011904 | P2307700A | AYUNTAMIENTO DE SANTIAGO DE CALATRAVA. | T1 | 10 | 0 | 1 | 3 | 10 | 10 | 10 | 0 | 0 | 0 | 5 | 0 | 5 | 54 |
| EXP2025/011910 | P0401400G | AYUNTAMIENTO DE ALMOCITA. | T1 | 10 | 0 | 1 | 3 | 10 | 0 | 10 | 0 | 5 | 5 | 5 | 5 | 5 | 59 |
| EXP2025/011912 | P0705300B | AJUNTAMENT DE SANTA EUGENIA. | T1 | 10 | 0 | 1 | 3 | 10 | 10 | 10 | 10 | 5 | 5 | 5 | 5 | 5 | 79 |
| EXP2025/011921 | P2803000E | AYUNTAMIENTO DE LA CABRERA. | T1 | 10 | 0 | 1 | 3 | 10 | 0 | 10 | 10 | 5 | 0 | 5 | 5 | 5 | 64 |
| EXP2025/011959 | P2814400D | AYUNTAMIENTO SOTO DEL REAL. | T1 | 10 | 0 | 1 | 3 | 10 | 0 | 10 | 10 | 5 | 0 | 5 | 5 | 5 | 64 |
| EXP2025/011964 | P4400900I | AYUNTAMIENTO DE ALBARRACIN. | T1 | 10 | 0 | 1 | 3 | 10 | 0 | 10 | 10 | 5 | 5 | 5 | 5 | 5 | 69 |
| EXP2025/011988 | P4306100A | AYUNTAMIENTO DE FLIX. | T1 | 10 | 0 | 1 | 3 | 10 | 10 | 10 | 10 | 5 | 0 | 5 | 5 | 5 | 74 |
| EXP2025/011999 | P1717800E | AJUNTAMENT DE ST JOAN DE MOLLET. | T1 | 10 | 0 | 1 | 3 | 10 | 0 | 0 | 0 | 0 | 0 | 5 | 5 | 0 | 34 |
| EXP2025/012017 | P0814700A | AYUNTAMIENTO DE OLIVELLA. | T1 | 10 | 0 | 1 | 3 | 0 | 0 | 10 | 10 | 5 | 5 | 5 | 5 | 5 | 59 |
| EXP2025/012026 | P4619700J | AYUNTAMIENTO DE PILES. | T1 | 10 | 0 | 1 | 3 | 10 | 10 | 10 | 10 | 5 | 5 | 5 | 0 | 5 | 74 |
| EXP2025/012027 | P1011300I | AYUNTAMIENTO DE LOSAR DE LA VERA. | T1 | 10 | 0 | 1 | 3 | 10 | 0 | 10 | 10 | 5 | 5 | 5 | 5 | 5 | 69 |
| EXP2025/012028 | P5002900H | AYUNTAMIENTO DE ANIu00D1ON. | T1 | 10 | 0 | 1 | 3 | 0 | 0 | 10 | 0 | 5 | 0 | 5 | 0 | 0 | 34 |
| EXP2025/012039 | P2231500F | AYUNTAMIENTO TAMARITE DE LITERA. | T1 | 10 | 0 | 1 | 3 | 10 | 10 | 10 | 10 | 5 | 5 | 5 | 5 | 5 | 79 |
| EXP2025/012043 | P2418500A | AYUNTAMIENTO DE VALDERREY. | T1 | 10 | 0 | 1 | 3 | 10 | 10 | 10 | 10 | 5 | 0 | 5 | 5 | 5 | 74 |
| EXP2025/012050 | P0406300D | AYUNTAMIENTO DE MARIA. | T1 | 10 | 0 | 1 | 3 | 10 | 10 | 10 | 10 | 5 | 5 | 5 | 5 | 5 | 79 |
| EXP2025/012082 | P2106800B | AYUNTAMIENTO DE SANTA OLALLA DE CALA. | T1 | 5 | 0 | 1 | 3 | 0 | 0 | 10 | 0 | 0 | 0 | 0 | 0 | 5 | 24 |
| EXP2025/012087 | P3002500A | AYUNTAMIENTO DE LORQUI. | T1 | 10 | 0 | 1 | 3 | 10 | 10 | 10 | 10 | 5 | 5 | 5 | 5 | 5 | 79 |
| EXP2025/012094 | P5025500I | AYUNTAMIENTO DE TAUSTE. | T1 | 10 | 0 | 1 | 3 | 0 | 0 | 0 | 10 | 5 | 5 | 5 | 0 | 5 | 44 |
| EXP2025/012098 | P3709200D | AYUNTAMIENTO DE CASTELLANOS DE MORISCOS. | T1 | 10 | 0 | 1 | 3 | 10 | 0 | 10 | 10 | 5 | 5 | 5 | 0 | 5 | 64 |
| EXP2025/012108 | P2308800H | AYUNTAMIENTO DE TORREPEROGIL. | T1 | 10 | 0 | 1 | 3 | 10 | 0 | 10 | 10 | 5 | 0 | 0 | 5 | 0 | 54 |
| EXP2025/012113 | P3902400E | AYUNTAMIENTO DE COMILLAS. | T1 | 10 | 0 | 1 | 3 | 10 | 0 | 10 | 10 | 5 | 5 | 5 | 5 | 5 | 69 |
| EXP2025/012133 | P4410400H | AYUNTAMIENTO DE ESCUCHA. | T1 | 10 | 0 | 1 | 3 | 10 | 10 | 10 | 10 | 5 | 5 | 5 | 0 | 0 | 69 |
| EXP2025/012137 | P0400003J | AYUNTAMIENTO DE BALANEGRA. | T1 | 5 | 0 | 1 | 3 | 10 | 10 | 10 | 0 | 5 | 5 | 5 | 5 | 0 | 59 |
| EXP2025/012144 | P4618100D | AYUNTAMIENTO DE NAVARRES. | T1 | 10 | 0 | 1 | 3 | 10 | 0 | 10 | 10 | 5 | 5 | 5 | 5 | 5 | 69 |
| EXP2025/012154 | P4420200J | AYUNTAMIENTO DE LA PUEBLA DE HIJAR. | T1 | 7 | 0 | 1 | 3 | 10 | 0 | 10 | 10 | 5 | 0 | 0 | 0 | 5 | 51 |
| EXP2025/012157 | P1203900D | AYUNTAMIENTO DE CASTELLNOVO. | T1 | 10 | 0 | 1 | 3 | 10 | 10 | 10 | 10 | 5 | 5 | 5 | 5 | 5 | 79 |
| EXP2025/012158 | P0821300A | AJUNTAMENT DE VILASSAR DE DALT. | T1 | 7 | 0 | 1 | 3 | 10 | 0 | 10 | 10 | 5 | 0 | 5 | 0 | 0 | 51 |
| EXP2025/012180 | P1916900B | AYUNTAMIENTO DE HORCHE. | T1 | 10 | 0 | 1 | 3 | 10 | 0 | 10 | 10 | 5 | 5 | 5 | 5 | 5 | 69 |
| EXP2025/012188 | P2305900I | AYUNTAMIENTO DE MARMOLEJO. | T1 | 10 | 0 | 1 | 3 | 0 | 0 | 10 | 10 | 5 | 0 | 5 | 5 | 5 | 54 |
| EXP2025/012202 | P1214400B | AYUNTAMIENTO DE SANT JOAN DE MORO. | T1 | 10 | 0 | 1 | 3 | 10 | 10 | 10 | 10 | 5 | 5 | 5 | 5 | 5 | 79 |
| EXP2025/012203 | P2310000A | AYUNTAMIENTO DE VILLATORRES. | T1 | 10 | 0 | 1 | 3 | 10 | 10 | 10 | 10 | 5 | 5 | 5 | 0 | 5 | 74 |
| EXP2025/012208 | P4405600J | AYUNTAMIENTO DE CAMINREAL. | T1 | 10 | 0 | 1 | 3 | 0 | 0 | 10 | 10 | 0 | 0 | 5 | 5 | 5 | 49 |
| EXP2025/012215 | P0922600B | AYUNTAMIENTO DE MODu00DABAR DE LA EMPAREDADA. | T1 | 10 | 0 | 1 | 3 | 10 | 10 | 10 | 10 | 5 | 5 | 5 | 5 | 5 | 79 |
| EXP2025/012222 | P5009400B | AYUNTAMIENTO DE DAROCA. | T1 | 10 | 0 | 1 | 3 | 0 | 0 | 10 | 0 | 5 | 5 | 5 | 5 | 5 | 49 |
| EXP2025/012228 | P2801200C | AYUNTAMIENTO DE ANCHUELO. | T1 | 10 | 0 | 1 | 3 | 10 | 10 | 10 | 10 | 0 | 0 | 5 | 5 | 5 | 69 |
| EXP2025/012436 | P1309700A | AYUNTAMIENTO DE VILLARTA DE SAN JUAN. | T1 | 7 | 0 | 1 | 3 | 10 | 10 | 10 | 10 | 5 | 0 | 5 | 5 | 0 | 66 |
| EXP2025/012474 | P4005900H | AYUNTAMIENTO DE CEREZO DE ABAJO. | T1 | 10 | 0 | 1 | 3 | 10 | 0 | 10 | 10 | 5 | 5 | 5 | 5 | 5 | 69 |
| EXP2025/012569 | P2814700G | AYUNTAMIENTO DE TITULCIA. | T1 | 10 | 0 | 1 | 3 | 10 | 10 | 10 | 10 | 0 | 5 | 0 | 0 | 5 | 64 |
| EXP2025/012606 | P4102600F | AYUNTAMIENTO DE CASARICHE. | T1 | 10 | 0 | 1 | 3 | 10 | 0 | 10 | 10 | 5 | 0 | 5 | 5 | 5 | 64 |
| EXP2025/012662 | P4402500E | AYUNTAMIENTO DE ANDORRA. | T1 | 10 | 0 | 1 | 3 | 10 | 10 | 10 | 10 | 5 | 5 | 5 | 0 | 0 | 69 |
| EXP2025/012684 | P0518700J | AYUNTAMIENTO DE PIEDRALAVES. | T1 | 10 | 0 | 1 | 3 | 10 | 0 | 10 | 10 | 0 | 0 | 5 | 0 | 0 | 49 |
| EXP2025/012935 | P2501900A | AYUNTAMIENTO DE ALMACELLES. | T1 | 10 | 0 | 1 | 3 | 10 | 10 | 10 | 10 | 5 | 5 | 5 | 5 | 5 | 79 |
| EXP2025/013526 | P1006700G | AYUNTAMIENTO DE CONQUISTA DE LA SIERRA. | T1 | 10 | 0 | 1 | 3 | 10 | 10 | 10 | 10 | 5 | 0 | 5 | 5 | 5 | 74 |
| EXP2025/010915 | P2903100B | AYUNTAMIENTO DE EL BURGO. | T1 | 7 | 0 | 1 | 3 | 10 | 10 | 10 | 10 | 5 | 5 | 0 | 0 | 0 | 61 |
| EXP2025/010953 | P4604500A | AJUNTAMENT DE BARXETA. | T1 | 10 | 0 | 1 | 3 | 10 | 10 | 10 | 10 | 0 | 5 | 5 | 0 | 5 | 69 |
| EXP2025/010962 | P1807400E | AYUNTAMIENTO DE ESCUZAR. | T1 | 10 | 0 | 1 | 3 | 10 | 10 | 10 | 10 | 5 | 0 | 5 | 0 | 0 | 64 |
| EXP2025/010971 | P3300600H | AYUNTAMIENTO DE BIMENES. | T1 | 10 | 0 | 1 | 3 | 10 | 0 | 0 | 10 | 5 | 0 | 5 | 5 | 5 | 54 |
| EXP2025/010973 | P0824400F | AYUNTAMIENTO DE SANTA COLOMA DE CERVELLO. | T1 | 10 | 0 | 1 | 3 | 10 | 0 | 10 | 10 | 5 | 0 | 5 | 5 | 5 | 64 |
| EXP2025/011029 | P1810000H | AYUNTAMIENTO DE HUESCAR. | T1 | 10 | 0 | 1 | 3 | 10 | 10 | 0 | 10 | 0 | 5 | 5 | 0 | 5 | 59 |
| EXP2025/011049 | P4614200F | AJUNTAMENT DE GUARDAMAR DE LA SAFOR. | T1 | 10 | 0 | 1 | 3 | 10 | 0 | 10 | 10 | 5 | 5 | 5 | 5 | 5 | 69 |
| EXP2025/011066 | P3000100B | AYUNTAMIENTO DE ABANILLA. | T1 | 10 | 0 | 1 | 3 | 10 | 10 | 10 | 10 | 5 | 5 | 5 | 5 | 5 | 79 |
| EXP2025/011070 | P1403900B | AYUNTAMIENTO DE LUQUE. | T1 | 10 | 0 | 1 | 3 | 0 | 0 | 10 | 10 | 0 | 5 | 5 | 0 | 0 | 44 |
| EXP2025/011082 | P4417000I | AYUNTAMIENTO DE MUNIESA. | T1 | 10 | 0 | 1 | 3 | 10 | 0 | 10 | 10 | 5 | 5 | 5 | 5 | 0 | 64 |
| EXP2025/011083 | P4807100E | AYUNTAMIENTO DE MARKINA-XEMEIN - MARKINA-XEMEINGO UDALA. | T1 | 10 | 0 | 1 | 3 | 10 | 10 | 10 | 10 | 5 | 5 | 5 | 5 | 5 | 79 |
| EXP2025/011097 | P1304000A | AYUNTAMIENTO DE FERNAN CABALLERO. | T1 | 10 | 0 | 1 | 3 | 0 | 0 | 10 | 10 | 5 | 5 | 5 | 5 | 5 | 59 |
| EXP2025/011098 | P0408100F | AYUNTAMIENTO DE SANTA FE DE MONDUJAR. | T1 | 7 | 0 | 1 | 3 | 10 | 10 | 10 | 10 | 5 | 5 | 5 | 5 | 0 | 71 |
| EXP2025/011108 | P2802900G | AYUNTAMIENTO DE CABANILLAS DE LA SIERRA. | T1 | 10 | 0 | 1 | 3 | 10 | 0 | 10 | 10 | 5 | 5 | 5 | 5 | 5 | 69 |
| EXP2025/011122 | P1104300G | AYUNTAMIENTO DE BENALUP. | T1 | 10 | 0 | 1 | 3 | 10 | 10 | 10 | 10 | 5 | 0 | 5 | 5 | 5 | 74 |
| EXP2025/011127 | P4414900C | AYUNTAMIENTO DE MAICAS. | T1 | 10 | 0 | 1 | 3 | 10 | 10 | 10 | 10 | 5 | 0 | 5 | 5 | 5 | 74 |
| EXP2025/011142 | P1712700B | AJUNTAMENT DE PALAU-SAVERDERA. | T1 | 7 | 0 | 1 | 3 | 10 | 0 | 10 | 0 | 5 | 5 | 0 | 5 | 5 | 51 |
| EXP2025/011156 | P3302300C | AYUNTAMIENTO DE EL FRANCO. | T1 | 10 | 0 | 1 | 3 | 10 | 0 | 0 | 10 | 5 | 5 | 5 | 5 | 0 | 54 |
| EXP2025/011161 | P1102400G | AYUNTAMIENTO DE OLVERA. | T1 | 10 | 0 | 1 | 3 | 10 | 0 | 10 | 10 | 5 | 5 | 5 | 5 | 5 | 69 |
| EXP2025/011162 | P1204800E | AYUNTAMIENTO DE CORTES DE ARENOSO. | T1 | 10 | 0 | 1 | 3 | 10 | 10 | 10 | 10 | 5 | 5 | 5 | 5 | 5 | 79 |
| EXP2025/011184 | P4402300J | AYUNTAMIENTO DE ALLUEVA. | T1 | 10 | 0 | 1 | 3 | 10 | 10 | 10 | 10 | 5 | 0 | 5 | 5 | 5 | 74 |
| EXP2025/011202 | P5010700B | AYUNTAMIENTO DE LOS FAYOS. | T1 | 10 | 0 | 1 | 3 | 10 | 0 | 10 | 10 | 5 | 5 | 5 | 5 | 0 | 64 |
| EXP2025/011247 | P1812700A | AYUNTAMIENTO DE LA MALAHA. | T1 | 10 | 0 | 1 | 3 | 10 | 10 | 0 | 0 | 0 | 0 | 0 | 0 | 5 | 39 |
| EXP2025/011248 | P4604900C | AYUNTAMIENTO DE BELLUS. | T1 | 7 | 0 | 1 | 3 | 10 | 10 | 10 | 0 | 5 | 0 | 5 | 0 | 5 | 56 |
| EXP2025/011257 | P3724000I | AYUNTAMIENTO DE PEDROSILLO EL RALO. | T1 | 10 | 0 | 1 | 3 | 10 | 0 | 10 | 10 | 5 | 5 | 5 | 5 | 5 | 69 |
| EXP2025/011274 | P1214300D | AYUNTAMIENTO DE ALQUERíAS DEL NIÑO PERDIDO. | T1 | 5 | 0 | 1 | 3 | 0 | 0 | 0 | 10 | 5 | 5 | 5 | 0 | 5 | 39 |
| EXP2025/011276 | P0201000G | AYUNTAMIENTO DE ALPERA. | T1 | 10 | 0 | 1 | 3 | 10 | 0 | 10 | 10 | 5 | 5 | 5 | 5 | 5 | 69 |
| EXP2025/011277 | P4313900E | AJUNTAMENT DE SANT JAUME DELS DOMENYS. | T1 | 10 | 0 | 1 | 3 | 10 | 0 | 10 | 10 | 5 | 5 | 5 | 5 | 5 | 69 |
| EXP2025/011290 | P4109800E | AYUNTAMIENTO DE VILLANUEVA DEL ARISCAL. | T1 | 5 | 0 | 1 | 3 | 10 | 0 | 10 | 10 | 5 | 0 | 5 | 5 | 5 | 59 |
| EXP2025/011301 | P2206900I | AYUNTAMIENTO DE BENASQUE. | T1 | 10 | 0 | 1 | 3 | 10 | 0 | 10 | 10 | 5 | 5 | 5 | 5 | 5 | 69 |
| EXP2025/011309 | P4110300C | AYUNTAMIENTO DE CAÑADA ROSAL. | T1 | 10 | 0 | 1 | 3 | 10 | 0 | 10 | 10 | 5 | 5 | 5 | 5 | 5 | 69 |
| EXP2025/011310 | P3905900A | AYUNTAMIENTO DE REINOSA. | T1 | 10 | 0 | 1 | 3 | 0 | 0 | 10 | 10 | 5 | 0 | 5 | 5 | 0 | 49 |
| EXP2025/011314 | P3724800B | AYUNTAMIENTO DE PEu00D1ARANDA DE BRACAMONTE. | T1 | 10 | 0 | 1 | 3 | 10 | 10 | 10 | 10 | 5 | 5 | 5 | 5 | 5 | 79 |
| EXP2025/011315 | P1202400F | AYUNTAMIENTO DE BENAFER. | T1 | 10 | 0 | 1 | 3 | 10 | 10 | 10 | 10 | 5 | 5 | 5 | 5 | 5 | 79 |
| EXP2025/011323 | P1003100C | AYUNTAMIENTO DE BOHONAL DE IBOR. | T1 | 10 | 0 | 2 | 3 | 10 | 0 | 10 | 10 | 0 | 5 | 5 | 5 | 5 | 65 |
| EXP2025/011325 | P1914900D | AYUNTAMIENTO DE GALAPAGOS. | T1 | 10 | 0 | 1 | 3 | 10 | 0 | 10 | 10 | 5 | 5 | 5 | 5 | 5 | 69 |
| EXP2025/011327 | P4615600F | AYUNTAMIENTO DE LLANERA DE RANES. | T1 | 10 | 0 | 1 | 3 | 10 | 0 | 10 | 10 | 5 | 0 | 5 | 0 | 5 | 59 |
| EXP2025/011330 | P2409600J | AYUNTAMIENTO DE MANSILLA DE LAS MULAS. | T1 | 10 | 0 | 2 | 3 | 10 | 0 | 10 | 10 | 5 | 5 | 5 | 5 | 5 | 70 |
| EXP2025/011338 | P2507100B | AJUNTAMENT DE BOSSÒST. | T1 | 10 | 0 | 1 | 3 | 0 | 0 | 10 | 10 | 5 | 5 | 5 | 5 | 5 | 59 |
| EXP2025/011342 | P2525900C | AJUNTAMENT DE SORIGUERA. | T1 | 7 | 0 | 1 | 3 | 0 | 0 | 10 | 0 | 5 | 0 | 0 | 5 | 5 | 36 |
| EXP2025/011346 | P2505500E | AJUNTAMENT DE BELIANES. | T1 | 5 | 0 | 1 | 3 | 10 | 10 | 0 | 10 | 5 | 0 | 0 | 0 | 0 | 44 |
| EXP2025/011354 | P0524000G | AYUNTAMIENTO SOTILLO DE LA ADRADA. | T1 | 10 | 0 | 1 | 3 | 10 | 10 | 10 | 10 | 5 | 5 | 5 | 0 | 5 | 74 |
| EXP2025/011360 | P2502200E | AJUNTAMENT ALÒS DE BALAGUER. | T1 | 10 | 0 | 1 | 3 | 0 | 0 | 10 | 10 | 5 | 5 | 5 | 5 | 5 | 59 |
| EXP2025/011368 | P2006600G | AYUNTAMIENTO DE ORIO - ORIOKO UDALA. | T1 | 10 | 0 | 1 | 3 | 10 | 0 | 10 | 10 | 5 | 5 | 5 | 5 | 0 | 64 |
| EXP2025/011373 | P3422500C | AYUNTAMIENTO DE VILLAMURIEL DE CERRATO. | T1 | 10 | 0 | 1 | 3 | 10 | 0 | 10 | 10 | 5 | 5 | 5 | 5 | 5 | 69 |
| EXP2025/011376 | P2504100E | AJUNTAMENT DARTESA DE SEGRE. | T1 | 10 | 0 | 1 | 3 | 10 | 0 | 10 | 10 | 5 | 5 | 5 | 5 | 5 | 69 |
| EXP2025/011378 | P1021600J | AYUNTAMIENTO DE VILLANUEVA DE LA VERA. | T1 | 10 | 0 | 1 | 3 | 0 | 0 | 10 | 10 | 5 | 5 | 5 | 5 | 5 | 59 |
| EXP2025/011391 | P4317400B | AJUNTAMENT DE VILAVERD. | T1 | 10 | 0 | 1 | 3 | 10 | 10 | 10 | 10 | 5 | 5 | 5 | 5 | 5 | 79 |
| EXP2025/011397 | P1808600I | AYUNTAMIENTO DE GOJAR. | T1 | 10 | 0 | 1 | 3 | 10 | 0 | 10 | 10 | 5 | 5 | 5 | 5 | 5 | 69 |
| EXP2025/011414 | P1715900E | AJUNTAMENT DE RIUDELLOTS DE LA SELVA. | T1 | 10 | 0 | 1 | 3 | 10 | 0 | 10 | 0 | 5 | 0 | 5 | 5 | 5 | 54 |
| EXP2025/011424 | P2210200H | AYUNTAMIENTO DE CAMPO. | T1 | 10 | 0 | 1 | 3 | 10 | 10 | 10 | 10 | 5 | 5 | 5 | 0 | 5 | 74 |
| EXP2025/011426 | P1207500H | AJUNTAMENT DE LA MATA. | T1 | 10 | 0 | 1 | 3 | 10 | 0 | 10 | 0 | 5 | 0 | 5 | 0 | 5 | 49 |
| EXP2025/011446 | P4402600C | AYUNTAMIENTO DE ARCOS DE LAS SALINAS. | T1 | 10 | 0 | 1 | 3 | 10 | 10 | 10 | 10 | 5 | 0 | 5 | 5 | 5 | 74 |
| EXP2025/011449 | P4605300E | AJUNTAMENT DE BENEIXIDA. | T1 | 10 | 0 | 2 | 3 | 10 | 10 | 0 | 10 | 5 | 5 | 5 | 5 | 5 | 70 |
| EXP2025/011458 | P2504000G | AJUNTAMENT DARTESA DE LLEIDA. | T1 | 10 | 0 | 1 | 3 | 10 | 0 | 10 | 10 | 5 | 5 | 5 | 5 | 5 | 69 |
| EXP2025/011462 | P1721500E | AJUNTAMENT DE TOSSA DE MAR. | T1 | 10 | 0 | 1 | 3 | 10 | 0 | 10 | 10 | 5 | 5 | 5 | 5 | 5 | 69 |
| EXP2025/011468 | P4603900D | AYUNTAMIENTO DE ANNA. | T1 | 10 | 0 | 1 | 3 | 10 | 10 | 10 | 10 | 5 | 0 | 5 | 5 | 5 | 74 |
| EXP2025/011476 | P2214500G | AYUNTAMIENTO DE ESTADILLA. | T1 | 10 | 0 | 1 | 3 | 10 | 10 | 10 | 10 | 5 | 0 | 5 | 5 | 5 | 74 |
| EXP2025/011489 | P3408800E | AYUNTAMIENTO DE HUSILLOS. | T1 | 10 | 0 | 1 | 3 | 0 | 0 | 10 | 10 | 5 | 5 | 5 | 5 | 5 | 59 |
| EXP2025/011494 | P2528400A | AJUNTAMENT DE LA TORRE DE CAPDELLA. | T1 | 10 | 0 | 1 | 3 | 10 | 0 | 10 | 10 | 5 | 0 | 5 | 5 | 5 | 64 |
| EXP2025/011497 | P1001900H | AYUNTAMIENTO DE ALMARAZ. | T1 | 10 | 0 | 1 | 3 | 0 | 0 | 10 | 10 | 5 | 5 | 5 | 5 | 5 | 59 |
| EXP2025/011502 | P0804200D | AJUNTAMENT DE CANYELLES. | T1 | 10 | 0 | 1 | 3 | 10 | 0 | 10 | 10 | 5 | 5 | 5 | 5 | 5 | 69 |
| EXP2025/011524 | P2530000E | AJUNTAMENT DE VALLBONA DE LES MONGES. | T1 | 10 | 0 | 1 | 3 | 10 | 0 | 10 | 10 | 5 | 5 | 5 | 5 | 0 | 64 |
| EXP2025/011533 | P2904300G | AYUNTAMIENTO DE COLMENAR. | T1 | 7 | 0 | 1 | 3 | 10 | 10 | 10 | 10 | 5 | 5 | 5 | 5 | 0 | 71 |
| EXP2025/011541 | P4617900H | AJUNTAMENT DE MUSEROS. | T1 | 10 | 0 | 1 | 3 | 10 | 0 | 10 | 10 | 5 | 5 | 5 | 5 | 5 | 69 |
| EXP2025/011545 | P0202900G | AYUNTAMIENTO DE CHINCHILLA DE MONTEARAGON. | T1 | 10 | 0 | 1 | 3 | 0 | 0 | 10 | 10 | 5 | 5 | 5 | 5 | 5 | 59 |
| EXP2025/011549 | P4314700H | AYUNTAMIENTO DE LA SELVA. | T1 | 10 | 5 | 1 | 3 | 10 | 10 | 10 | 10 | 5 | 5 | 5 | 5 | 5 | 84 |
| EXP2025/011570 | P4626100D | AYUNTAMIENTO DE VILLARGORDO DEL CABRIEL. | T1 | 10 | 0 | 0 | 3 | 10 | 10 | 10 | 10 | 5 | 0 | 5 | 0 | 5 | 68 |
| EXP2025/011582 | P0806700A | AJUNTAMENT DE CERVELLO. | T1 | 7 | 0 | 1 | 3 | 10 | 0 | 10 | 10 | 0 | 5 | 0 | 0 | 0 | 46 |
| EXP2025/011600 | P3306900F | AYUNTAMIENTO DE SOTO DEL BARCO. | T1 | 10 | 0 | 1 | 3 | 10 | 10 | 10 | 10 | 5 | 5 | 5 | 5 | 5 | 79 |
| EXP2025/011617 | P3604400F | CONCELLO DE PONTECESURES. | T1 | 10 | 0 | 1 | 3 | 10 | 0 | 10 | 10 | 5 | 0 | 0 | 5 | 5 | 59 |
| EXP2025/011629 | P3802500C | AYUNTAMIENTO DE LA MATANZA DE ACENTEJO. | T1 | 10 | 0 | 1 | 3 | 10 | 0 | 10 | 10 | 5 | 5 | 5 | 5 | 5 | 69 |
| EXP2025/011636 | P3804700G | AYUNTAMIENTO DE TIJARAFE. | T1 | 7 | 0 | 1 | 3 | 0 | 0 | 0 | 10 | 5 | 5 | 0 | 0 | 0 | 31 |
| EXP2025/011649 | P3801000E | AYUNTAMIENTO DE BUENAVISTA DEL NORTE. | T1 | 10 | 0 | 1 | 3 | 10 | 0 | 10 | 10 | 5 | 0 | 5 | 5 | 5 | 64 |
| EXP2025/011662 | P3001400E | AYUNTAMIENTO DE CAMPOS DEL RIO. | T1 | 10 | 0 | 1 | 3 | 10 | 10 | 10 | 10 | 5 | 5 | 5 | 5 | 5 | 79 |
| EXP2025/011667 | P1210600A | AYUNTAMIENTO DE SONEJA. | T1 | 10 | 0 | 1 | 3 | 10 | 0 | 10 | 10 | 5 | 5 | 5 | 5 | 5 | 69 |
| EXP2025/011727 | P0408900I | AYUNTAMIENTO TABERNO. | T1 | 0 | 0 | 1 | 3 | 0 | 0 | 10 | 10 | 5 | 0 | 5 | 0 | 5 | 39 |
| EXP2025/011741 | P1305800C | AYUNTAMIENTO DE MORAL DE CALATRAVA. | T1 | 10 | 0 | 1 | 3 | 0 | 0 | 10 | 10 | 5 | 5 | 5 | 5 | 5 | 59 |
| EXP2025/011755 | P4302600D | AYUNTAMIENTO DE BENISANET. | T1 | 7 | 0 | 1 | 3 | 10 | 10 | 0 | 10 | 5 | 5 | 5 | 5 | 0 | 61 |
| EXP2025/011760 | P1208100F | AYUNTAMIENTO DE NAVAJAS. | T1 | 10 | 0 | 1 | 3 | 10 | 10 | 10 | 10 | 5 | 5 | 5 | 5 | 5 | 79 |
| EXP2025/011772 | P4809600B | AYUNTAMIENTO DE ORTUELLA. | T1 | 7 | 0 | 1 | 3 | 10 | 0 | 10 | 10 | 5 | 5 | 0 | 5 | 5 | 61 |
| EXP2025/011777 | P2528600F | AJUNTAMENT DE TORREFETA I FLOREJACS. | T1 | 10 | 0 | 1 | 3 | 10 | 10 | 10 | 10 | 5 | 5 | 5 | 5 | 5 | 79 |
| EXP2025/011789 | P0812100F | AJUNTAMENT DE MEDIONA. | T1 | 10 | 0 | 1 | 3 | 10 | 0 | 10 | 10 | 5 | 5 | 5 | 5 | 5 | 69 |
| EXP2025/011802 | P0823700J | AJUNTAMENT DE SANT QUIRZE DE BESORA. | T1 | 10 | 0 | 1 | 3 | 10 | 10 | 10 | 10 | 5 | 5 | 5 | 5 | 5 | 79 |
| EXP2025/011813 | P1809200G | AYUNTAMIENTO DE LOS GUAJARES. | T1 | 10 | 0 | 1 | 3 | 0 | 0 | 10 | 10 | 5 | 0 | 5 | 5 | 5 | 54 |
| EXP2025/011833 | P4614500I | AYUNTAMIENTO DE XERACO. | T1 | 10 | 0 | 1 | 3 | 10 | 0 | 0 | 10 | 5 | 0 | 5 | 5 | 5 | 54 |
| EXP2025/011854 | P4620200H | AYUNTAMIENTO DE POBLA DEL DUC. | T1 | 10 | 0 | 1 | 3 | 10 | 0 | 10 | 10 | 5 | 5 | 5 | 5 | 5 | 69 |
| EXP2025/011856 | P0921400H | AYUNTAMIENTO DE MEDINA DE POMAR. | T1 | 10 | 0 | 1 | 3 | 10 | 0 | 10 | 10 | 5 | 5 | 5 | 5 | 5 | 69 |
| EXP2025/011876 | P4016500C | AYUNTAMIENTO DE NAVALMANZANO. | T1 | 5 | 0 | 1 | 3 | 10 | 0 | 10 | 10 | 0 | 0 | 0 | 0 | 5 | 44 |
| EXP2025/011891 | P2900900H | AYUNTAMIENTO DE ALMACHAR. | T1 | 10 | 0 | 1 | 3 | 0 | 0 | 10 | 10 | 5 | 5 | 5 | 0 | 5 | 54 |
| EXP2025/011919 | P1804000F | AYUNTAMIENTO DE CANILES. | T1 | 10 | 0 | 1 | 3 | 0 | 0 | 10 | 10 | 0 | 0 | 5 | 5 | 5 | 49 |
| EXP2025/011963 | P4716600D | AYUNTAMIENTO DE TORDESILLAS. | T1 | 10 | 0 | 1 | 3 | 10 | 10 | 10 | 10 | 5 | 5 | 5 | 5 | 5 | 79 |
| EXP2025/011974 | P4625400I | AYUNTAMIENTO DE VALLANCA. | T1 | 10 | 0 | 1 | 3 | 0 | 0 | 10 | 10 | 5 | 0 | 5 | 0 | 5 | 49 |
| EXP2025/011981 | P0515600E | AYUNTAMIENTO DE NAVAHONDILLA. | T1 | 10 | 0 | 1 | 3 | 0 | 0 | 10 | 10 | 5 | 5 | 5 | 5 | 5 | 59 |
| EXP2025/011986 | P2416000D | AYUNTAMIENTO DE SANTA MARIA DEL PARAMO. | T1 | 10 | 0 | 1 | 3 | 10 | 0 | 10 | 10 | 5 | 5 | 5 | 5 | 5 | 69 |
| EXP2025/011990 | P4708700B | AYUNTAMIENTO DE MEDINA DE RIOSECO. | T1 | 7 | 0 | 1 | 3 | 10 | 10 | 10 | 10 | 5 | 5 | 0 | 5 | 0 | 66 |
| EXP2025/012014 | P4927900C | AYUNTAMIENTO DE VILLALPANDO. | T1 | 10 | 0 | 1 | 3 | 10 | 10 | 10 | 10 | 5 | 5 | 5 | 5 | 5 | 79 |
| EXP2025/012018 | P2816800C | AYUNTAMIENTO DE EL VELLON. | T1 | 10 | 0 | 1 | 3 | 10 | 0 | 10 | 10 | 5 | 5 | 5 | 5 | 0 | 64 |
| EXP2025/012025 | P1703500G | AJUNTAMENT DE CADAQUu00C9S. | T1 | 10 | 0 | 1 | 3 | 10 | 0 | 10 | 10 | 5 | 5 | 5 | 0 | 5 | 64 |
| EXP2025/012032 | P1212900C | AJUNTAMENT DE VILAFRANCA. | T1 | 10 | 0 | 1 | 3 | 0 | 0 | 10 | 10 | 5 | 5 | 5 | 5 | 5 | 59 |
| EXP2025/012033 | P1709600I | AJUNTAMENT DE LLAGOSTERA. | T1 | 10 | 0 | 1 | 3 | 10 | 0 | 10 | 10 | 5 | 5 | 5 | 5 | 5 | 69 |
| EXP2025/012037 | P1813500D | AYUNTAMIENTO DE MONACHIL. | T1 | 10 | 0 | 1 | 3 | 10 | 10 | 10 | 10 | 5 | 5 | 5 | 5 | 0 | 74 |
| EXP2025/012076 | P0405000A | AYUNTAMIENTO DE GERGAL. | T1 | 10 | 0 | 1 | 3 | 10 | 10 | 10 | 10 | 5 | 5 | 5 | 5 | 5 | 79 |
| EXP2025/012078 | P4613600H | AYUNTAMIENTO DE GILET. | T1 | 10 | 0 | 1 | 3 | 10 | 0 | 10 | 10 | 5 | 5 | 5 | 5 | 5 | 69 |
| EXP2025/012086 | P3302600F | AYUNTAMIENTO DE GRADO. | T1 | 10 | 0 | 1 | 3 | 10 | 0 | 10 | 10 | 5 | 5 | 5 | 5 | 5 | 69 |
| EXP2025/012090 | P0206700G | AYUNTAMIENTO DE RIOPAR. | T1 | 10 | 0 | 1 | 3 | 10 | 0 | 0 | 0 | 5 | 5 | 5 | 5 | 5 | 49 |
| EXP2025/012134 | P4604200H | AJUNTAMENT DAIELO DE MALFERIT. | T1 | 10 | 0 | 1 | 3 | 10 | 10 | 10 | 10 | 5 | 0 | 5 | 5 | 5 | 74 |
| EXP2025/012149 | P2211500J | AYUNTAMIENTO DE CASTEJON DE SOS. | T1 | 10 | 0 | 1 | 3 | 0 | 0 | 10 | 10 | 5 | 0 | 5 | 5 | 5 | 54 |
| EXP2025/012159 | P4808600C | ONDARROAKO UDALA/AYUNTAMIENTO DE ONDARROA. | T1 | 7 | 0 | 1 | 3 | 10 | 0 | 10 | 10 | 0 | 5 | 0 | 5 | 5 | 56 |
| EXP2025/012163 | P2808100H | AYUNTAMIENTO DE PUENTES VIEJAS. | T1 | 10 | 0 | 2 | 3 | 10 | 0 | 10 | 10 | 5 | 5 | 5 | 5 | 5 | 70 |
| EXP2025/012167 | P1920300I | AYUNTAMIENTO DE MASEGOSO DE TAJUu00D1A. | T1 | 10 | 0 | 1 | 3 | 10 | 10 | 10 | 10 | 5 | 0 | 0 | 5 | 5 | 69 |
| EXP2025/012179 | P2907900A | AYUNTAMIENTO DE PERIANA. | T1 | 10 | 0 | 1 | 3 | 10 | 0 | 10 | 10 | 5 | 5 | 5 | 5 | 5 | 69 |
| EXP2025/012183 | P3720300G | AYUNTAMIENTO DE MONTERRUBIO DE ARMUu00D1A. | T1 | 10 | 0 | 1 | 3 | 10 | 0 | 10 | 10 | 5 | 5 | 5 | 5 | 5 | 69 |
| EXP2025/012191 | P1207700D | AJUNTAMENT DE MONCOFA. | T1 | 10 | 0 | 1 | 3 | 10 | 0 | 10 | 10 | 5 | 5 | 5 | 5 | 5 | 69 |
| EXP2025/012463 | P0827400C | AYUNTAMIENTO DE SURIA. | T1 | 10 | 0 | 1 | 3 | 10 | 0 | 10 | 10 | 5 | 5 | 5 | 5 | 5 | 69 |
| EXP2025/012870 | P5013700I | AYUNTAMIENTO DE LECERA. | T1 | 5 | 0 | 1 | 3 | 10 | 10 | 10 | 10 | 0 | 0 | 5 | 5 | 0 | 59 |
| EXP2025/012883 | P3901200J | AYUNTAMIENTO DE CABEZON DE LA SAL. | T1 | 10 | 0 | 1 | 3 | 10 | 0 | 0 | 10 | 5 | 5 | 5 | 5 | 5 | 59 |
| EXP2025/012914 | P1303100J | AYUNTAMIENTO DE CARRION DE CALATRAVA. | T1 | 10 | 0 | 1 | 3 | 10 | 10 | 10 | 10 | 5 | 5 | 5 | 5 | 5 | 79 |
| EXP/100000 | P1209400I | AJUNTAMENT DE LA POBLA TORNESA. | T1 | 10 | 0 | 1 | 3 | 0 | 0 | 0 | 0 | 0 | 0 | 5 | 5 | 5 | 29 |
| EXP/100064 | P4405000C | AYUNTAMIENTO DE CALAMOCHA. | T1 | 10 | 0 | 1 | 3 | 10 | 0 | 0 | 10 | 5 | 5 | 5 | 0 | 5 | 54 |
| EXP/100106 | P3736500D | AYUNTAMIENTO DE VILLARES DE LA REINA. | T1 | 7 | 0 | 1 | 3 | 10 | 0 | 10 | 10 | 0 | 0 | 0 | 5 | 5 | 51 |
| EXP/98789 | P1715700I | AJUNTAMENT DE RIUDARENES. | T1 | 10 | 0 | 1 | 3 | 10 | 0 | 10 | 10 | 5 | 5 | 5 | 5 | 5 | 69 |
| EXP2025/010663 | P4615300C | AJUNTAMENT DE LLOCNOU DEN FENOLLET. | T1 | 10 | 0 | 1 | 3 | 10 | 10 | 10 | 10 | 5 | 0 | 5 | 5 | 5 | 74 |
| EXP2025/010816 | P4004400J | AYUNTAMIENTO DE CANTALEJO. | T1 | 10 | 0 | 1 | 3 | 10 | 10 | 10 | 10 | 5 | 0 | 5 | 0 | 5 | 69 |
| EXP2025/010835 | P4413700H | AYUNTAMIENTO DE JOSA. | T1 | 10 | 0 | 1 | 3 | 10 | 10 | 10 | 10 | 5 | 0 | 5 | 5 | 0 | 69 |
| EXP2025/010836 | P2523500C | AJUNTAMENT DE SANAu00DCJA. | T1 | 10 | 0 | 1 | 3 | 10 | 0 | 10 | 10 | 5 | 5 | 5 | 5 | 0 | 64 |
| EXP2025/010864 | P1100200C | AYUNTAMIENTO DE ALCALA DEL VALLE. | T1 | 10 | 0 | 1 | 3 | 10 | 10 | 10 | 10 | 5 | 5 | 5 | 0 | 5 | 74 |
| EXP2025/010880 | P1200400H | AYUNTAMIENTO DE ALCALA DE XIVERT. | T1 | 10 | 0 | 1 | 3 | 10 | 0 | 10 | 0 | 5 | 5 | 5 | 5 | 5 | 59 |
| EXP2025/011730 | P0819000A | AJUNTAMENT DE SALLENT. | T1 | 10 | 0 | 1 | 3 | 10 | 0 | 10 | 10 | 5 | 5 | 5 | 5 | 5 | 69 |
| EXP2025/009325 | P2531900E | AJUNTAMENT DE VINAIXA. | T1 | 7 | 0 | 1 | 3 | 10 | 10 | 10 | 0 | 5 | 5 | 0 | 0 | 0 | 51 |
| EXP2025/010130 | P2530900F | AJUNTAMENT DE VILAMOS. | T1 | 10 | 0 | 1 | 3 | 10 | 10 | 10 | 10 | 5 | 0 | 0 | 5 | 0 | 64 |
| EXP2025/010200 | P4415200G | AYUNTAMIENTO DE MAS DE LAS MATAS. | T1 | 10 | 0 | 1 | 3 | 10 | 0 | 10 | 10 | 0 | 0 | 5 | 5 | 5 | 59 |
| EXP2025/010225 | P0606700C | AYUNTAMIENTO DE HIGUERA LA REAL. | T1 | 10 | 0 | 1 | 3 | 10 | 10 | 10 | 10 | 5 | 5 | 5 | 5 | 5 | 79 |
| EXP2025/010244 | P4700600B | AYUNTAMIENTO DE ALDEA DE SAN MIGUEL. | T1 | 10 | 0 | 2 | 3 | 10 | 0 | 10 | 10 | 5 | 5 | 5 | 5 | 5 | 70 |
| EXP2025/010436 | P1808000B | AYUNTAMIENTO DE FREILA. | T1 | 10 | 0 | 2 | 3 | 10 | 10 | 0 | 10 | 5 | 0 | 0 | 5 | 5 | 60 |
| EXP2025/010724 | P4109600I | AYUNTAMIENTO DE VALENCINA DE LA CONCEPCION. | T1 | 10 | 0 | 1 | 3 | 10 | 0 | 10 | 10 | 5 | 5 | 5 | 5 | 5 | 69 |
| EXP2025/010839 | P2904900D | AYUNTAMIENTO DE CUEVAS DE SAN MARCOS. | T1 | 10 | 0 | 0 | 3 | 10 | 0 | 10 | 10 | 5 | 5 | 0 | 0 | 5 | 58 |
| EXP2025/010875 | P1211700H | AYUNTAMIENTO DE TORREBLANCA. | T1 | 10 | 0 | 1 | 3 | 0 | 0 | 0 | 10 | 5 | 5 | 5 | 5 | 5 | 49 |
| EXP2025/010955 | P2801800J | AYUNTAMIENTO BECERRIL DE LA SIERRA. | T1 | 7 | 0 | 1 | 3 | 10 | 0 | 10 | 10 | 5 | 5 | 5 | 0 | 5 | 61 |
| EXP2025/010960 | P0410300H | AYUNTAMIENTO DE ZURGENA. | T1 | 7 | 0 | 1 | 3 | 10 | 10 | 10 | 10 | 5 | 5 | 5 | 5 | 5 | 76 |
| EXP2025/010963 | P2514800H | AJUNTAMENT DE LA GUINGUETA Du00C0NEU. | T1 | 0 | 0 | 1 | 3 | 10 | 10 | 0 | 10 | 5 | 5 | 0 | 0 | 0 | 44 |
| EXP2025/010978 | P2810200B | AYUNTAMIENTO DE ORUSCO. | T1 | 7 | 0 | 1 | 3 | 10 | 0 | 10 | 10 | 0 | 5 | 0 | 5 | 0 | 51 |
| EXP2025/010993 | P4609700B | AYUNTAMIENTO DE CAUDETE DE LAS FUENTES. | T1 | 10 | 0 | 1 | 3 | 10 | 10 | 10 | 10 | 5 | 0 | 5 | 5 | 5 | 74 |
| EXP2025/011021 | P0828200F | AJUNTAMENT DE TIANA. | T1 | 10 | 0 | 1 | 3 | 10 | 0 | 10 | 10 | 5 | 5 | 5 | 5 | 5 | 69 |
| EXP2025/011032 | P0803700D | AJUNTAMENT DE CALLÚS. | T1 | 10 | 0 | 1 | 3 | 10 | 10 | 10 | 10 | 5 | 5 | 5 | 5 | 5 | 79 |
| EXP2025/011048 | P0403100A | AYUNTAMIENTO DE CANTORIA. | T1 | 10 | 0 | 1 | 3 | 10 | 10 | 10 | 10 | 5 | 5 | 5 | 5 | 5 | 79 |
| EXP2025/011176 | P3804100J | AYUNTAMIENTO VILLA SAUZAL. | T1 | 10 | 0 | 1 | 3 | 10 | 10 | 10 | 10 | 5 | 0 | 0 | 5 | 0 | 64 |
| EXP2025/011237 | P4512600J | AYUNTAMIENTO DE OROPESA Y CORCHUELA. | T1 | 10 | 5 | 1 | 3 | 10 | 10 | 10 | 10 | 5 | 5 | 5 | 5 | 5 | 84 |
| EXP2025/011239 | P1722900F | AJUNTAMENT DE VILABLAREIX. | T1 | 7 | 0 | 1 | 3 | 10 | 0 | 10 | 10 | 0 | 5 | 5 | 5 | 5 | 61 |
| EXP2025/011242 | P4613200G | AJUNTAMENT DE GAVARDA. | T1 | 10 | 0 | 1 | 3 | 10 | 10 | 10 | 10 | 5 | 0 | 5 | 5 | 5 | 74 |
| EXP2025/011272 | P4618400H | AYUNTAMIENTO DE OLOCAU. | T1 | 10 | 0 | 1 | 3 | 10 | 10 | 0 | 10 | 5 | 5 | 5 | 5 | 0 | 64 |
| EXP2025/011288 | P1205000A | AYUNTAMIENTO DE LES COVES DE VINROMÀ. | T1 | 10 | 0 | 1 | 3 | 10 | 0 | 10 | 10 | 5 | 5 | 5 | 5 | 5 | 69 |
| EXP2025/011289 | P0404400D | AYUNTAMIENTO DE FINES. | T1 | 10 | 0 | 2 | 3 | 10 | 10 | 10 | 10 | 5 | 5 | 5 | 5 | 5 | 80 |
| EXP2025/011297 | P0516300A | AYUNTAMIENTO DE NAVALUENGA. | T1 | 10 | 0 | 1 | 3 | 10 | 0 | 0 | 10 | 5 | 5 | 0 | 5 | 0 | 49 |
| EXP2025/011298 | P5000600F | AYUNTAMIENTO DE AINZON. | T1 | 7 | 0 | 1 | 3 | 0 | 0 | 10 | 10 | 0 | 5 | 5 | 0 | 5 | 46 |
| EXP2025/011316 | P4811100I | AYUNTAMIENTO DE ZARATAMO. | T1 | 10 | 0 | 1 | 3 | 0 | 0 | 10 | 10 | 0 | 5 | 5 | 5 | 0 | 49 |
| EXP2025/011326 | P4622700E | AYUNTAMIENTO DE SELLENT. | T1 | 10 | 0 | 1 | 3 | 10 | 0 | 10 | 10 | 5 | 5 | 5 | 5 | 5 | 69 |
| EXP2025/011329 | P2309400F | AYUNTAMIENTO DE VILCHES. | T1 | 10 | 0 | 1 | 3 | 10 | 0 | 10 | 10 | 5 | 5 | 5 | 5 | 5 | 69 |
| EXP2025/011336 | P1801100G | AYUNTAMIENTO DE ALDEIRE. | T1 | 10 | 0 | 1 | 3 | 0 | 0 | 10 | 10 | 0 | 0 | 5 | 0 | 5 | 44 |
| EXP2025/011358 | P0408700C | AYUNTAMIENTO DE SUFLI. | T1 | 10 | 0 | 1 | 3 | 0 | 0 | 10 | 0 | 0 | 0 | 0 | 0 | 0 | 24 |
| EXP2025/011403 | P4812800C | AYUNTAMIENTO DE ZIERBENA - ZIERBENAKO UDALA. | T1 | 10 | 0 | 1 | 3 | 10 | 0 | 10 | 10 | 5 | 5 | 5 | 5 | 5 | 69 |
| EXP2025/011415 | P1709500A | AJUNTAMENT DE LLADO. | T1 | 10 | 0 | 1 | 3 | 10 | 10 | 10 | 10 | 5 | 5 | 5 | 5 | 5 | 79 |
| EXP2025/011423 | P4623100G | AYUNTAMIENTO DE SIETE AGUAS. | T1 | 10 | 0 | 1 | 3 | 10 | 0 | 10 | 10 | 0 | 5 | 0 | 0 | 5 | 54 |
| EXP2025/011441 | P2526300E | AJUNTAMENT DE SUDANELL. | T1 | 10 | 0 | 1 | 3 | 10 | 10 | 10 | 10 | 5 | 5 | 5 | 5 | 5 | 79 |
| EXP2025/011453 | P1724800F | AJUNTAMENT DE VILOBÍ D'ONYAR. | T1 | 10 | 0 | 1 | 3 | 10 | 0 | 10 | 10 | 5 | 0 | 5 | 5 | 5 | 64 |
| EXP2025/011454 | P4712300E | AYUNTAMIENTO DE PORTILLO. | T1 | 10 | 0 | 1 | 3 | 10 | 0 | 10 | 10 | 5 | 0 | 5 | 5 | 5 | 64 |
| EXP2025/011480 | P2400400D | AYUNTAMIENTO DE ALMANZA. | T1 | 10 | 0 | 1 | 3 | 10 | 10 | 10 | 10 | 5 | 5 | 5 | 5 | 5 | 79 |
| EXP2025/011487 | P1203100A | AYUNTAMIENTO DE BORRIOL. | T1 | 10 | 0 | 1 | 3 | 10 | 0 | 10 | 10 | 5 | 5 | 5 | 5 | 5 | 69 |
| EXP2025/011490 | P1103700I | AYUNTAMIENTO DE TREBUJENA. | T1 | 10 | 0 | 1 | 3 | 10 | 0 | 10 | 10 | 5 | 0 | 5 | 5 | 0 | 59 |
| EXP2025/011491 | P1207900J | AYUNTAMIENTO DE MONTANEJOS. | T1 | 10 | 0 | 1 | 3 | 0 | 0 | 10 | 10 | 5 | 5 | 5 | 5 | 5 | 59 |
| EXP2025/011514 | P2301100J | AYUNTAMIENTO DE BAÑOS DE LA ENCINA. | T1 | 10 | 0 | 2 | 3 | 10 | 0 | 10 | 10 | 0 | 0 | 5 | 5 | 5 | 60 |
| EXP2025/011518 | P2515300H | AJUNTAMENT DE LINYOLA. | T1 | 10 | 0 | 1 | 3 | 10 | 10 | 10 | 10 | 5 | 5 | 5 | 5 | 5 | 79 |
| EXP2025/011525 | P4612900C | AJUNTAMENT DE LA FONT D/EN CARROS. | T1 | 10 | 0 | 1 | 3 | 10 | 0 | 10 | 10 | 5 | 5 | 5 | 5 | 5 | 69 |
| EXP2025/011534 | P3711700I | AYUNTAMIENTO DE DOÑINOS DE SALAMANCA. | T1 | 10 | 0 | 2 | 3 | 10 | 0 | 10 | 10 | 5 | 5 | 5 | 5 | 5 | 70 |
| EXP2025/011540 | P4505400D | AYUNTAMIENTO DE CORRAL DE ALMAGUER. | T1 | 5 | 0 | 1 | 3 | 0 | 0 | 10 | 10 | 5 | 5 | 5 | 5 | 5 | 54 |
| EXP2025/011576 | P4603400E | AJUNTAMENT D ALMOINES. | T1 | 10 | 0 | 1 | 3 | 10 | 10 | 10 | 10 | 5 | 0 | 5 | 5 | 5 | 74 |
| EXP2025/011605 | P5006200I | AYUNTAMIENTO DE EL BURGO DE EBRO. | T1 | 7 | 0 | 1 | 3 | 10 | 10 | 10 | 10 | 5 | 0 | 0 | 5 | 5 | 66 |
| EXP2025/011606 | P1925200F | AYUNTAMIENTO DE PAREJA. | T1 | 5 | 0 | 1 | 3 | 0 | 0 | 0 | 0 | 0 | 5 | 0 | 0 | 0 | 14 |
| EXP2025/011607 | P0404500A | AYUNTAMIENTO DE FIÑANA. | T1 | 10 | 0 | 1 | 3 | 10 | 10 | 10 | 10 | 5 | 5 | 5 | 5 | 5 | 79 |
| EXP2025/011610 | P1400500C | AYUNTAMIENTO DE ALMOVODAR DEL RIO. | T1 | 10 | 0 | 1 | 3 | 0 | 0 | 10 | 10 | 5 | 0 | 5 | 5 | 5 | 54 |
| EXP2025/011616 | P4624100F | AYUNTAMIENTO DE TERESA DE COFRENTES. | T1 | 10 | 0 | 2 | 3 | 10 | 10 | 10 | 10 | 5 | 5 | 0 | 5 | 5 | 75 |
| EXP2025/011621 | P2414200B | AYUNTAMIENTO DE SAHAGUN. | T1 | 10 | 0 | 1 | 3 | 10 | 0 | 10 | 10 | 5 | 0 | 5 | 0 | 5 | 59 |
| EXP2025/011625 | P2500600H | AJUNTAMENT DE LALBAGES. | T1 | 0 | 0 | 1 | 3 | 10 | 10 | 0 | 0 | 5 | 0 | 0 | 0 | 5 | 34 |
| EXP2025/011690 | P4317100H | AJUNTAMENT DE VILAPLANA. | T1 | 10 | 0 | 1 | 3 | 10 | 0 | 10 | 10 | 5 | 5 | 5 | 5 | 5 | 69 |
| EXP2025/011704 | P4013100E | AYUNTAMIENTO DE LA LOSA. | T1 | 10 | 0 | 1 | 3 | 10 | 10 | 10 | 10 | 5 | 0 | 5 | 5 | 5 | 74 |
| EXP2025/011705 | P1011800H | AYUNTAMIENTO DE MALPARTIDA DE CACERES. | T1 | 10 | 0 | 1 | 3 | 10 | 10 | 10 | 10 | 5 | 5 | 5 | 5 | 5 | 79 |
| EXP2025/011747 | P1803100E | AYUNTAMIENTO DE BERCHULES. | T1 | 7 | 0 | 2 | 3 | 0 | 0 | 10 | 0 | 5 | 0 | 5 | 5 | 5 | 42 |
| EXP2025/011751 | P0406500I | AYUNTAMIENTO DE NACIMIENTO. | T1 | 10 | 0 | 1 | 3 | 10 | 10 | 10 | 10 | 5 | 5 | 5 | 0 | 5 | 74 |
| EXP2025/011756 | P2521300J | AJUNTAMENT DE LA POBLA DE SEGUR. | T1 | 10 | 0 | 1 | 3 | 10 | 0 | 10 | 10 | 5 | 5 | 5 | 5 | 5 | 69 |
| EXP2025/011771 | P2225600B | AYUNTAMIENTO DE LA PUEBLA DE CASTRO. | T1 | 10 | 0 | 1 | 3 | 10 | 10 | 10 | 10 | 5 | 5 | 5 | 0 | 5 | 74 |
| EXP2025/011795 | P0826700G | AJUNTAMENT DE SENTMENAT. | T1 | 10 | 0 | 1 | 3 | 10 | 10 | 10 | 10 | 5 | 5 | 5 | 5 | 5 | 79 |
| EXP2025/011818 | P2511700C | AJUNTAMENT DE LA FLORESTA. | T1 | 10 | 0 | 1 | 3 | 10 | 10 | 10 | 10 | 5 | 5 | 5 | 5 | 5 | 79 |
| EXP2025/011853 | P4301900I | AJUNTAMENT DE ASCO. | T1 | 10 | 0 | 1 | 3 | 10 | 0 | 10 | 10 | 5 | 5 | 5 | 5 | 5 | 69 |
| EXP2025/011866 | P0408300B | AYUNTAMIENTO DE SERÓN. | T1 | 10 | 0 | 1 | 3 | 10 | 10 | 0 | 10 | 5 | 5 | 5 | 5 | 5 | 69 |
| EXP2025/011887 | P4316400C | AJUNTAMENT DE VANDELLOS I LHOSPITALET DE LINFANT. | T1 | 10 | 0 | 1 | 3 | 10 | 0 | 10 | 10 | 5 | 5 | 5 | 5 | 0 | 64 |
| EXP2025/011905 | P2604700A | AYUNTAMIENTO DE CERVERA DEL RIO ALHAMA. | T1 | 10 | 0 | 1 | 3 | 0 | 0 | 10 | 10 | 5 | 5 | 5 | 5 | 5 | 59 |
| EXP2025/011980 | P2517000B | AJUNTAMENT DE MIRALCAMP. | T1 | 10 | 0 | 1 | 3 | 10 | 0 | 10 | 10 | 5 | 0 | 5 | 5 | 0 | 59 |
| EXP2025/012008 | P1305200F | AYUNTAMIENTO DE MALAGON. | T1 | 10 | 0 | 1 | 3 | 10 | 10 | 10 | 10 | 5 | 5 | 5 | 5 | 5 | 79 |
| EXP2025/012042 | P0508900H | AYUNTAMIENTO DE GUISANDO. | T1 | 0 | 0 | 1 | 3 | 0 | 0 | 10 | 0 | 0 | 0 | 0 | 5 | 5 | 24 |
| EXP2025/012051 | P2203400C | AYUNTAMIENTO DE ANSO. | T1 | 10 | 0 | 1 | 3 | 10 | 10 | 10 | 10 | 0 | 0 | 5 | 5 | 5 | 69 |
| EXP2025/012074 | P0309600E | M.I. AYUNTAMIENTO DE ONIL. | T1 | 10 | 0 | 1 | 3 | 10 | 0 | 10 | 10 | 5 | 5 | 5 | 5 | 5 | 69 |
| EXP2025/012081 | P2801700B | AYUNTAMIENTO DE BATRES. | T1 | 10 | 0 | 1 | 3 | 10 | 0 | 10 | 0 | 0 | 5 | 5 | 5 | 5 | 54 |
| EXP2025/012110 | P2102500B | AYUNTAMIENTO DE CORTEGANA. | T1 | 0 | 0 | 1 | 3 | 10 | 0 | 10 | 10 | 5 | 0 | 5 | 5 | 5 | 54 |
| EXP2025/012114 | P3301200F | AYUNTAMIENTO DE CANGAS DE ONIS. | T1 | 10 | 0 | 1 | 3 | 0 | 0 | 0 | 10 | 5 | 0 | 5 | 5 | 5 | 44 |
| EXP2025/012120 | P2229800D | AYUNTAMIENTO DE SECASTILLA. | T1 | 10 | 0 | 1 | 3 | 10 | 10 | 10 | 10 | 5 | 5 | 5 | 5 | 5 | 79 |
| EXP2025/012178 | P0808300H | AJUNTAMENT DE FONOLLOSA. | T1 | 7 | 0 | 1 | 3 | 0 | 0 | 0 | 10 | 5 | 5 | 5 | 5 | 5 | 46 |
| EXP2025/012189 | P1302700H | AGRUPACIÓN AYUNTAMIENTO DE CALZADA DE CALATRAVA. | T1 | 10 | 3 | 1 | 3 | 10 | 10 | 10 | 10 | 5 | 5 | 5 | 5 | 5 | 82 |
| EXP2025/012190 | P1210800G | AYUNTAMIENTO DE SUERAS. | T1 | 10 | 0 | 1 | 3 | 10 | 10 | 10 | 10 | 5 | 0 | 5 | 5 | 5 | 74 |
| EXP2025/012682 | P2901700A | AYUNTAMIENTO DE ARCHIDONA. | T1 | 10 | 0 | 1 | 3 | 10 | 10 | 10 | 10 | 5 | 5 | 5 | 5 | 5 | 79 |
| EXP2025/013534 | P0701700G | AYUNTAMIENTO DE COSTITX. | T1 | 10 | 0 | 1 | 3 | 10 | 10 | 10 | 10 | 5 | 0 | 5 | 0 | 5 | 69 |
| EXP2025/013609 | P3906800B | AYUNTAMIENTO DE RUILOBA. | T1 | 10 | 0 | 1 | 3 | 10 | 10 | 10 | 10 | 5 | 5 | 5 | 5 | 5 | 79 |
| EXP2025/013984 | P1206700E | AYUNTAMIENTO DE GELDO. | T1 | 10 | 0 | 1 | 3 | 10 | 10 | 10 | 10 | 5 | 5 | 5 | 5 | 5 | 79 |
| EXP/99635 | P1304900B | AYUNTAMIENTO DE HORCAJO DE LOS MONTES. | T1 | 10 | 0 | 2 | 3 | 0 | 0 | 10 | 10 | 5 | 5 | 5 | 0 | 5 | 55 |
| EXP/99767 | P4606200F | AJUNTAMENT DE BENIGANIM. | T1 | 10 | 0 | 1 | 3 | 10 | 10 | 10 | 10 | 5 | 0 | 5 | 5 | 5 | 74 |
| EXP2025/008825 | P2522600B | AJUNTAMENT DE RIALP. | T1 | 10 | 0 | 1 | 3 | 0 | 0 | 0 | 10 | 5 | 0 | 5 | 0 | 0 | 34 |
| EXP2025/010290 | P4614000J | AYUNTAMIENTO DE GUADASSEQUIES. | T1 | 10 | 0 | 1 | 3 | 0 | 0 | 10 | 10 | 5 | 0 | 5 | 5 | 5 | 54 |
| EXP2025/010426 | P4601200A | AYUNTAMIENTO DE ALBORACHE. | T1 | 10 | 0 | 1 | 3 | 10 | 10 | 10 | 10 | 5 | 5 | 5 | 5 | 5 | 79 |
| EXP2025/010435 | P3708700D | AYUNTAMIENTO DE CARRASCAL DE BARREGAS. | T1 | 10 | 0 | 1 | 3 | 0 | 0 | 10 | 10 | 5 | 0 | 5 | 5 | 5 | 54 |
| EXP2025/010602 | P1306100G | AYUNTAMIENTO DE PEDRO MUÑOZ. | T1 | 10 | 0 | 1 | 3 | 10 | 10 | 10 | 0 | 5 | 0 | 5 | 5 | 5 | 64 |
| EXP2025/010623 | P1201000E | AYUNTAMIENTO DE ALMEDIJAR. | T1 | 7 | 0 | 1 | 3 | 10 | 10 | 10 | 10 | 5 | 5 | 5 | 5 | 5 | 76 |
| EXP2025/010637 | P1700900B | AJUNTAMENT DARBu00DACIES. | T1 | 10 | 0 | 1 | 3 | 10 | 0 | 10 | 10 | 5 | 5 | 5 | 5 | 5 | 69 |
| EXP2025/010647 | P4600100D | AYUNTAMIENTO DE ADEMUZ. | T1 | 10 | 0 | 1 | 3 | 10 | 10 | 0 | 10 | 5 | 5 | 5 | 5 | 5 | 69 |
| EXP2025/010658 | P4612800E | AJUNTAMENT DE FOIOS. | T1 | 10 | 0 | 1 | 3 | 10 | 0 | 10 | 10 | 0 | 5 | 0 | 5 | 0 | 54 |
| EXP2025/010661 | P4007200A | AYUNTAMIENTO DE CUELLAR. | T1 | 10 | 0 | 1 | 3 | 0 | 0 | 10 | 10 | 5 | 5 | 5 | 5 | 5 | 59 |
| EXP2025/010662 | P3707800C | AYUNTAMIENTO DE CANDELARIO. | T1 | 10 | 0 | 1 | 3 | 10 | 10 | 10 | 0 | 5 | 5 | 5 | 5 | 0 | 64 |
| EXP2025/010667 | P3801300I | AYUNTAMIENTO DE FRONTERA. | T1 | 10 | 0 | 1 | 3 | 0 | 0 | 10 | 10 | 0 | 0 | 5 | 0 | 5 | 44 |
| EXP2025/010713 | P4311900G | AJUNTAMENT DE PRAT DE COMPTE. | T1 | 7 | 0 | 1 | 3 | 10 | 10 | 0 | 10 | 5 | 0 | 0 | 5 | 5 | 56 |
| EXP2025/010723 | P1706300I | AJUNTAMENT DE CRESPIA. | T1 | 10 | 0 | 1 | 3 | 10 | 10 | 10 | 10 | 0 | 0 | 5 | 0 | 5 | 64 |
| EXP2025/010759 | P3735700A | AYUNTAMIENTO DE VILLAMAYOR. | T1 | 10 | 0 | 1 | 3 | 10 | 0 | 10 | 10 | 5 | 0 | 0 | 5 | 5 | 59 |
| EXP2025/010810 | P2809100G | AYUNTAMIENTO DE MORATA DE TAJUÑA. | T1 | 10 | 0 | 1 | 3 | 10 | 0 | 10 | 10 | 0 | 5 | 5 | 5 | 5 | 64 |
| EXP2025/010815 | P4107000D | AYUNTAMIENTO PALOMARES DEL RIO. | T1 | 10 | 0 | 1 | 3 | 0 | 0 | 10 | 10 | 5 | 0 | 5 | 5 | 5 | 54 |
| EXP2025/010860 | P0401100C | AYUNTAMIENTO DE ALHAMA DE ALMERIA. | T1 | 10 | 0 | 1 | 3 | 10 | 10 | 10 | 10 | 5 | 0 | 5 | 5 | 5 | 74 |
| EXP2025/010896 | P1813300I | AYUNTAMIENTO DE MOCLIN. | T1 | 10 | 0 | 1 | 3 | 10 | 10 | 10 | 10 | 5 | 0 | 0 | 5 | 0 | 64 |
| EXP2025/010916 | P0406200F | AYUNTAMIENTO DE MACAEL. | T1 | 10 | 0 | 1 | 3 | 10 | 10 | 10 | 10 | 5 | 5 | 5 | 5 | 5 | 79 |
| EXP2025/010921 | P4011900J | AYUNTAMIENTO DE LOS HUERTOS. | T1 | 10 | 0 | 1 | 3 | 10 | 0 | 10 | 10 | 5 | 5 | 5 | 5 | 5 | 69 |
| EXP2025/010931 | P4413000C | AYUNTAMIENTO DE LA HOZ DE LA VIEJA. | T1 | 10 | 0 | 1 | 3 | 0 | 0 | 10 | 10 | 5 | 0 | 5 | 5 | 0 | 49 |
| EXP2025/010939 | P3708500H | AYUNTAMIENTO DE CARBAJOSA DE LA SAGRADA. | T1 | 10 | 0 | 1 | 3 | 10 | 10 | 0 | 10 | 0 | 5 | 5 | 5 | 0 | 59 |
| EXP2025/010940 | P1002200B | AYUNTAMIENTO ARROYO DE LA LUZ. | T1 | 10 | 0 | 1 | 3 | 0 | 0 | 10 | 10 | 5 | 5 | 5 | 0 | 5 | 54 |
| EXP2025/010964 | P2208100D | AYUNTAMIENTO DE BIESCAS. | T1 | 7 | 0 | 1 | 3 | 10 | 0 | 0 | 10 | 5 | 5 | 5 | 5 | 5 | 56 |
| EXP2025/011036 | P3800032I | AYUNTAMIENTO DE EL PINAR DE EL HIERRO. | T1 | 10 | 0 | 1 | 3 | 10 | 0 | 10 | 10 | 5 | 5 | 5 | 5 | 0 | 64 |
| EXP2025/011039 | P4807600D | UGAO-MIRABALLESEKO UDALA / AYUNTAMIENTO DE UGAO-MIRABALLES. | T1 | 7 | 0 | 1 | 3 | 10 | 10 | 10 | 10 | 5 | 5 | 0 | 5 | 5 | 71 |
| EXP2025/011065 | P4110400A | AYUNTAMIENTO DE EL CUERVO. | T1 | 10 | 0 | 1 | 3 | 0 | 0 | 10 | 10 | 0 | 0 | 5 | 5 | 5 | 49 |
| EXP2025/011088 | P1804900G | AYUNTAMIENTO DE CIJUELA. | T1 | 10 | 0 | 1 | 3 | 10 | 10 | 10 | 10 | 5 | 5 | 5 | 5 | 5 | 79 |
| EXP2025/011092 | P1803700B | AYUNTAMIENTO DE CAJAR. | T1 | 10 | 0 | 1 | 3 | 10 | 10 | 10 | 10 | 5 | 5 | 5 | 5 | 5 | 79 |
| EXP2025/011095 | P4425100G | AYUNTAMIENTO DE UTRILLAS. | T1 | 10 | 0 | 1 | 3 | 10 | 10 | 10 | 10 | 5 | 5 | 5 | 5 | 5 | 79 |
| EXP2025/011107 | P4415100I | AYUNTAMIENTO DE MARTIN DEL RIO. | T1 | 10 | 0 | 1 | 3 | 10 | 0 | 10 | 10 | 5 | 0 | 5 | 5 | 5 | 64 |
| EXP2025/011110 | P4606900A | AJUNTAMENT DE BENISSANO. | T1 | 7 | 0 | 1 | 3 | 0 | 0 | 10 | 10 | 0 | 0 | 0 | 0 | 5 | 36 |
| EXP2025/011118 | P4108200I | AYUNTAMIENTO DE LA RODA DE ANDALUCIA. | T1 | 10 | 0 | 1 | 3 | 10 | 0 | 10 | 10 | 0 | 5 | 5 | 5 | 5 | 64 |
| EXP2025/011151 | P2507400F | AJUNTAMENT DE CAMARASA. | T1 | 10 | 0 | 1 | 3 | 10 | 10 | 10 | 10 | 5 | 5 | 5 | 5 | 5 | 79 |
| EXP2025/011198 | P2101100B | AYUNTAMIENTO DE BEAS. | T1 | 10 | 0 | 1 | 3 | 0 | 0 | 10 | 10 | 5 | 0 | 5 | 5 | 5 | 54 |
| EXP2025/011250 | P3002800E | AYUNTAMIENTO DE MORATALLA. | T1 | 10 | 0 | 1 | 3 | 0 | 0 | 10 | 10 | 5 | 0 | 5 | 0 | 5 | 49 |
| EXP2025/011763 | P1801400A | AYUNTAMIENTO DE ALHAMA DE GRANADA. | T1 | 10 | 0 | 1 | 3 | 0 | 0 | 10 | 0 | 5 | 5 | 5 | 0 | 5 | 44 |
| EXP2025/012006 | P2509100J | AJUNTAMENT DEL COGUL. | T1 | 10 | 0 | 1 | 3 | 10 | 0 | 10 | 10 | 5 | 5 | 5 | 5 | 5 | 69 |
| EXP2025/010555 | P2530700J | AGRUPACIÓN DEL AJUNTAMENT DE VILALLER. | T1 | 7 | 1 | 1 | 3 | 0 | 0 | 10 | 10 | 0 | 0 | 0 | 5 | 0 | 37 |
| EXP2025/010556 | P3004200F | AYUNTAMIENTO DE VILLANUEVA DEL RIO SEGURA. | T1 | 10 | 0 | 1 | 3 | 10 | 10 | 10 | 10 | 5 | 5 | 5 | 0 | 5 | 74 |
| EXP2025/010640 | P0307100H | AJUNTAMENT DE GATA DE GORGOS. | T1 | 10 | 0 | 2 | 3 | 10 | 0 | 10 | 10 | 5 | 5 | 5 | 5 | 5 | 70 |
| EXP2025/010703 | P4425200E | AYUNTAMIENTO DE VALACLOCHE. | T1 | 7 | 0 | 1 | 3 | 0 | 0 | 10 | 10 | 0 | 0 | 0 | 0 | 5 | 36 |
| EXP2025/010892 | P3904700F | AYUNTAMIENTO DE NOJA. | T1 | 10 | 0 | 1 | 3 | 10 | 0 | 10 | 10 | 5 | 0 | 5 | 5 | 5 | 64 |
| EXP2025/010900 | P2903200J | AYUNTAMIENTO DE CAMPILLOS. | T1 | 10 | 0 | 1 | 3 | 10 | 10 | 10 | 10 | 5 | 0 | 5 | 0 | 0 | 64 |
| EXP2025/010904 | P0943900A | AYUNTAMIENTO VILLADIEGO. | T1 | 10 | 0 | 1 | 3 | 10 | 10 | 10 | 10 | 0 | 0 | 5 | 0 | 5 | 64 |
| EXP2025/010906 | P1808100J | AYUNTAMIENTO DE FUENTE VAQUEROS. | T1 | 10 | 0 | 1 | 3 | 10 | 10 | 10 | 10 | 5 | 0 | 5 | 5 | 5 | 74 |
| EXP2025/011443 | P0524100E | AYUNTAMIENTO DE EL TIEMBLO. | T1 | 10 | 0 | 1 | 3 | 0 | 0 | 0 | 10 | 5 | 0 | 5 | 5 | 5 | 44 |
| EXP2025/012424 | P0516800J | AYUNTAMIENTO DE LAS NAVAS DEL MARQUÉS. | T1 | 10 | 0 | 1 | 3 | 10 | 10 | 0 | 10 | 5 | 5 | 0 | 0 | 0 | 54 |
| EXP2025/012020 | P4625300A | AJUNTAMENT DE VALLADA. | T1 | 10 | 0 | 1 | 3 | 10 | 10 | 10 | 10 | 5 | 0 | 5 | 5 | 0 | 69 |
| EXP2025/012024 | P4623000I | AYUNTAMIENTO DE SERRA. | T1 | 10 | 0 | 1 | 3 | 10 | 0 | 10 | 10 | 0 | 0 | 5 | 5 | 0 | 54 |
| EXP2025/011264 | P1214000J | AYUNTAMIENTO DE VIVER. | T1 | 10 | 0 | 1 | 3 | 10 | 0 | 10 | 10 | 5 | 0 | 5 | 5 | 5 | 64 |
| EXP2025/011800 | P1704000G | AJUNTAMENT DE CAMPDEVANOL. | T1 | 7 | 0 | 1 | 3 | 10 | 0 | 10 | 10 | 5 | 5 | 0 | 0 | 0 | 51 |
| EXP2025/010353 | P1805800H | AYUNTAMIENTO DE CULLAR DE VEGA. | T1 | 10 | 0 | 2 | 3 | 10 | 10 | 10 | 10 | 5 | 5 | 5 | 5 | 5 | 80 |
| EXP2025/012092 | P1812100D | AYUNTAMIENTO DE LENTEGI. | T1 | 10 | 0 | 1 | 3 | 10 | 10 | 10 | 10 | 5 | 0 | 5 | 5 | 5 | 74 |
| EXP2025/011577 | P4425400A | AYUNTAMIENTO DE VALDEALGORFA. | T1 | 10 | 0 | 1 | 3 | 0 | 0 | 10 | 10 | 5 | 5 | 5 | 5 | 5 | 59 |
| EXP2025/011186 | P4606800C | AYUNTAMIENTO DE BENIRREDRA. | T1 | 10 | 0 | 1 | 3 | 10 | 10 | 10 | 10 | 5 | 5 | 5 | 5 | 5 | 79 |
| EXP2025/011598 | P1210400F | AYUNTAMIENTO DE SEGORBE. | T1 | 10 | 0 | 1 | 3 | 10 | 10 | 10 | 10 | 0 | 0 | 5 | 5 | 5 | 69 |
| EXP2025/011878 | P4615900J | AYUNTAMIENTO DE LA LLOSA DE RANES. | T1 | 7 | 0 | 1 | 3 | 0 | 0 | 10 | 10 | 5 | 0 | 0 | 5 | 5 | 46 |
| EXP2025/011941 | P0406400B | AYUNTAMIENTO DE MOJACAR. | T1 | 7 | 0 | 2 | 3 | 10 | 0 | 10 | 10 | 5 | 5 | 5 | 0 | 0 | 57 |
| EXP2025/012199 | P4621700F | AJUNTAMENT DE RIOLA. | T1 | 10 | 0 | 1 | 3 | 10 | 10 | 10 | 10 | 5 | 5 | 5 | 5 | 5 | 79 |
| EXP2025/011633 | P4600400H | AJUNTAMENT DAGULLENT. | T1 | 10 | 0 | 1 | 3 | 10 | 10 | 0 | 10 | 5 | 0 | 5 | 0 | 5 | 59 |
| EXP2025/011945 | P4610800G | AYUNTAMIENTO DE CHELVA. | T1 | 10 | 0 | 1 | 3 | 10 | 10 | 10 | 10 | 5 | 5 | 5 | 5 | 5 | 79 |
| EXP2025/011915 | P2002800G | ZESTOAKO UDALA / AYUNTAMIENTO DE ZESTOA. | T1 | 7 | 0 | 1 | 3 | 10 | 0 | 0 | 10 | 5 | 5 | 0 | 5 | 5 | 51 |
| EXP2025/011457 | P2101400F | AYUNTAMIENTO DE BONARES. | T1 | 7 | 0 | 1 | 3 | 0 | 0 | 10 | 10 | 0 | 0 | 5 | 0 | 0 | 36 |
| EXP2025/012540 | P0516700B | AYUNTAMIENTO DE NAVARREVISCA. | T1 | 10 | 0 | 1 | 3 | 10 | 10 | 10 | 10 | 5 | 0 | 5 | 5 | 5 | 74 |
| EXP2025/011283 | P5017600G | AYUNTAMIENTO DE MORATA DE JALON. | T1 | 10 | 0 | 1 | 3 | 10 | 10 | 10 | 10 | 5 | 5 | 5 | 5 | 5 | 79 |
| EXP2025/011957 | P1818600G | AYUNTAMIENTO DE UGIJAR. | T1 | 7 | 0 | 1 | 3 | 10 | 10 | 0 | 0 | 5 | 5 | 5 | 5 | 5 | 56 |
| EXP2025/010625 | P0929800A | AYUNTAMIENTO DE QUINTANAR DE LA SIERRA. | T1 | 10 | 0 | 0 | 3 | 10 | 10 | 0 | 0 | 5 | 5 | 5 | 0 | 0 | 48 |
| EXP2025/011996 | P1602700E | AYUNTAMIENTO DE BARAJAS DE MELO. | T1 | 5 | 0 | 1 | 3 | 10 | 0 | 0 | 0 | 5 | 0 | 5 | 5 | 0 | 34 |
| EXP2025/011139 | P4613000A | AJUNTAMENT DE LA FONT DE LA FIGUERA. | T1 | 10 | 0 | 1 | 3 | 10 | 0 | 10 | 10 | 5 | 5 | 5 | 5 | 0 | 64 |
| EXP2025/011334 | P1817000A | AYUNTAMIENTO DE PURULLENA. | T1 | 10 | 0 | 1 | 3 | 0 | 0 | 10 | 10 | 5 | 0 | 5 | 5 | 5 | 54 |
| EXP2025/011081 | P4607900J | AYUNTAMIENTO DE BUÑOL. | T1 | 5 | 0 | 1 | 3 | 0 | 0 | 10 | 0 | 5 | 5 | 0 | 0 | 5 | 34 |
| EXP/100067 | P0204200J | AYUNTAMIENTO DE LETUR. | T1 | 10 | 0 | 1 | 3 | 10 | 10 | 10 | 10 | 5 | 5 | 5 | 5 | 5 | 79 |
| EXP2025/010141 | P4318000I | AJUNTAMENT DE VINYOLS I ELS ARCS. | T1 | 10 | 0 | 1 | 3 | 10 | 10 | 10 | 10 | 5 | 5 | 5 | 5 | 0 | 74 |
| EXP2025/011754 | P1603500H | AYUNTAMIENTO DE BETETA. | T1 | 5 | 0 | 1 | 3 | 0 | 0 | 10 | 0 | 0 | 0 | 5 | 5 | 5 | 34 |
| EXP2025/012077 | P0922400G | AYUNTAMIENTO DE MIRANDA DE EBRO. | T2 | 10 | 0 | 1 | 3 | 10 | 0 | 10 | 10 | 5 | 5 | 5 | 5 | 5 | 69 |
| EXP2025/011419 | P1817800D | AYUNTAMIENTO DE SANTAFE. | T2 | 10 | 0 | 1 | 3 | 0 | 0 | 10 | 10 | 5 | 5 | 5 | 0 | 5 | 54 |
| EXP2025/012045 | P3307600A | AYUNTAMIENTO DE VILLAVICIOSA. | T2 | 5 | 0 | 1 | 3 | 10 | 0 | 0 | 10 | 0 | 5 | 5 | 5 | 5 | 49 |
| EXP2025/012379 | P4625203G | AYUNTAMIENTO DE SAN ANTONIO DE BENAGEBER. | T2 | 10 | 0 | 1 | 3 | 0 | 0 | 10 | 10 | 5 | 5 | 5 | 5 | 5 | 59 |
| EXP2025/011452 | P3603300I | CONCELLO DE MOS. | T2 | 10 | 0 | 1 | 3 | 10 | 10 | 10 | 10 | 5 | 5 | 5 | 5 | 5 | 79 |
| EXP2025/011466 | P0821000G | AJUNTAMENT DE SANT FELIU DE LLOBREGAT. | T2 | 10 | 0 | 1 | 3 | 10 | 0 | 10 | 10 | 5 | 5 | 5 | 5 | 5 | 69 |
| EXP2025/011909 | P1015100I | AYUNTAMIENTO PLASENCIA. | T2 | 10 | 0 | 1 | 3 | 10 | 0 | 10 | 10 | 5 | 5 | 5 | 5 | 5 | 69 |
| EXP2025/012111 | P3802800G | EXCMO. AYUNTAMIENTO DE PUERTO DE LA CRUZ. | T2 | 10 | 0 | 1 | 3 | 10 | 0 | 10 | 10 | 5 | 0 | 5 | 5 | 5 | 64 |
| EXP2025/011190 | P1300500D | AYUNTAMIENTO DE ALCAZAR DE SAN JUAN. | T2 | 10 | 0 | 1 | 3 | 10 | 0 | 10 | 10 | 5 | 5 | 5 | 5 | 5 | 69 |
| EXP2025/011200 | P4315500A | AJUNTAMENT DE TORREDEMBARRA. | T2 | 10 | 0 | 1 | 3 | 10 | 0 | 10 | 10 | 5 | 5 | 5 | 5 | 5 | 69 |
| EXP2025/010621 | P2301000B | AYUNTAMIENTO DE BAILEN. | T2 | 10 | 0 | 1 | 3 | 0 | 0 | 10 | 10 | 5 | 5 | 5 | 5 | 5 | 59 |
| EXP2025/010117 | P3001200I | AYUNTAMIENTO DE BULLAS. | T2 | 10 | 0 | 1 | 3 | 10 | 10 | 0 | 10 | 5 | 5 | 5 | 5 | 5 | 69 |
| EXP2025/010854 | P0830300J | AJUNTAMENT DE VILANOVA DEL CAMI. | T2 | 10 | 0 | 1 | 3 | 0 | 0 | 10 | 0 | 0 | 0 | 0 | 5 | 0 | 29 |
| EXP2025/010877 | P0811700D | AJUNTAMENT DEL MASNOU. | T2 | 10 | 0 | 1 | 3 | 10 | 0 | 10 | 0 | 5 | 5 | 5 | 5 | 5 | 59 |
| EXP2025/011077 | P4105900G | AYUNTAMIENTO DE MAIRENA DEL ALJARAFE. | T2 | 7 | 0 | 1 | 3 | 0 | 0 | 10 | 10 | 5 | 5 | 5 | 5 | 5 | 56 |
| EXP2025/011262 | P2908400A | AYUNTAMIENTO DE RONDA. | T2 | 10 | 0 | 1 | 3 | 10 | 10 | 10 | 10 | 5 | 5 | 5 | 5 | 5 | 79 |
| EXP2025/011311 | P3000800G | AYUNTAMIENTO DE ALHAMA DE MURCIA. | T2 | 10 | 0 | 1 | 3 | 10 | 10 | 10 | 10 | 5 | 5 | 5 | 5 | 5 | 79 |
| EXP2025/011363 | P0403500B | AYUNTAMIENTO DE CUEVAS DEL ALMANZORA. | T2 | 10 | 0 | 1 | 3 | 10 | 10 | 10 | 10 | 5 | 5 | 5 | 5 | 5 | 79 |
| EXP2025/011530 | P4500002C | MANCOMUNIDAD DE SERVICIOS DE LA SAGRA BAJA. | T2 | 10 | 10 | 1 | 3 | 10 | 0 | 10 | 10 | 5 | 5 | 5 | 5 | 5 | 79 |
| EXP2025/011537 | P1905400F | AYUNTAMIENTO DE AZUQUECA DE HENARES. | T2 | 10 | 0 | 1 | 3 | 0 | 0 | 10 | 10 | 5 | 5 | 5 | 5 | 5 | 59 |
| EXP2025/011561 | P3000500C | AYUNTAMIENTO DE ALCANTARILLA. | T2 | 7 | 0 | 1 | 3 | 10 | 0 | 10 | 10 | 5 | 0 | 5 | 5 | 5 | 61 |
| EXP2025/011603 | P2400900C | AYUNTAMIENTO DE ASTORGA. | T2 | 10 | 0 | 1 | 3 | 0 | 0 | 0 | 10 | 0 | 0 | 5 | 0 | 5 | 34 |
| EXP2025/011619 | P1814800G | AYUNTAMIENTO DE OGIJARES. | T2 | 10 | 0 | 1 | 3 | 10 | 0 | 10 | 10 | 5 | 5 | 5 | 5 | 5 | 69 |
| EXP2025/011721 | P2101000D | AYUNTAMIENTO AYAMONTE. | T2 | 10 | 0 | 1 | 3 | 0 | 0 | 10 | 10 | 5 | 5 | 5 | 5 | 5 | 59 |
| EXP2025/011726 | P1702600F | AJUNTAMENT DE BLANES. | T2 | 10 | 0 | 2 | 3 | 10 | 0 | 10 | 0 | 5 | 5 | 5 | 5 | 5 | 60 |
| EXP2025/011782 | P0604400B | AYUNTAMIENTO DE DON BENITO. | T2 | 5 | 0 | 1 | 3 | 10 | 0 | 0 | 10 | 5 | 5 | 5 | 5 | 5 | 54 |
| EXP2025/011834 | P6700010I | CONSELL COMARCAL DEL PLA DE LESTANY. | T2 | 10 | 7 | 1 | 3 | 0 | 0 | 10 | 10 | 5 | 0 | 5 | 5 | 0 | 56 |
| EXP2025/011842 | P3001800F | AYUNTAMIENTO DE CEUTI. | T2 | 10 | 0 | 1 | 3 | 10 | 0 | 10 | 10 | 5 | 5 | 5 | 5 | 5 | 69 |
| EXP2025/011843 | P0703600G | AJUNTAMENT DE MARRATXI. | T2 | 10 | 0 | 1 | 3 | 10 | 0 | 10 | 10 | 5 | 5 | 0 | 5 | 5 | 64 |
| EXP2025/011870 | P0208100H | AYUNTAMIENTO DE VILLARROBLEDO. | T2 | 10 | 0 | 1 | 3 | 10 | 10 | 10 | 10 | 5 | 5 | 5 | 5 | 5 | 79 |
| EXP2025/011911 | P4106900F | AYUNTAMIENTO DE LOS PALACIOS Y VILLAFRANCA. | T2 | 10 | 0 | 1 | 3 | 0 | 0 | 10 | 10 | 5 | 5 | 5 | 5 | 5 | 59 |
| EXP2025/011927 | P5009500I | AYUNTAMIENTO DE EJEA DE LOS CABALLEROS. | T2 | 10 | 0 | 1 | 3 | 10 | 10 | 10 | 10 | 5 | 5 | 5 | 5 | 5 | 79 |
| EXP2025/011931 | G45483740 | ASOC COMARCAL CASTILLOS DEL MEDIO TAJO. | T2 | 10 | 10 | 1 | 3 | 10 | 0 | 10 | 10 | 5 | 5 | 5 | 5 | 5 | 79 |
| EXP2025/011992 | P2100500D | ILMO AYUNTAMIENTO DE ALMONTE. | T2 | 10 | 0 | 1 | 3 | 0 | 0 | 10 | 10 | 5 | 5 | 5 | 0 | 5 | 54 |
| EXP2025/012004 | P4621600H | AYUNTAMIENTO DE RIBA-ROJA DE TURIA. | T2 | 10 | 0 | 1 | 3 | 0 | 0 | 0 | 10 | 5 | 5 | 5 | 5 | 0 | 44 |
| EXP2025/012072 | P4108100A | AYUNTAMIENTO DE LA RINCONADA. | T2 | 7 | 0 | 1 | 3 | 10 | 10 | 10 | 10 | 5 | 5 | 5 | 5 | 5 | 76 |
| EXP2025/012132 | P3602100D | AYUNTAMIENTO DE GONDOMAR. | T2 | 7 | 0 | 1 | 3 | 10 | 0 | 10 | 0 | 0 | 5 | 0 | 0 | 5 | 41 |
| EXP2025/012171 | P0312100A | AYUNTAMIENTO DE SANTA POLA. | T2 | 10 | 0 | 1 | 3 | 10 | 0 | 10 | 10 | 5 | 5 | 5 | 5 | 5 | 69 |
| EXP2025/012212 | P3002900C | AYUNTAMIENTO DE MULA. | T2 | 10 | 0 | 1 | 3 | 10 | 10 | 10 | 10 | 5 | 5 | 5 | 5 | 5 | 79 |
| EXP2025/012952 | P1404200F | AYUNTAMIENTO DE MONTILLA. | T2 | 7 | 0 | 1 | 3 | 10 | 0 | 10 | 10 | 0 | 5 | 5 | 5 | 5 | 61 |
| EXP2025/011661 | P0405300E | AYUNTAMIENTO DE HUERCAL-OVERA. | T2 | 7 | 0 | 1 | 3 | 0 | 0 | 0 | 10 | 5 | 5 | 5 | 5 | 5 | 46 |
| EXP/99582 | P0808700I | AJUNTAMENT DE LA GARRIGA. | T2 | 10 | 0 | 1 | 3 | 10 | 0 | 10 | 10 | 0 | 0 | 5 | 5 | 5 | 59 |
| EXP/99610 | P0400600C | AYUNTAMIENTO DE ALBOX. | T2 | 10 | 0 | 1 | 3 | 10 | 10 | 10 | 10 | 5 | 5 | 5 | 5 | 5 | 79 |
| EXP2025/010395 | P2107100F | AYUNTAMIENTO DE VALVERDE DEL CAMINO. | T2 | 10 | 0 | 1 | 3 | 0 | 0 | 10 | 10 | 5 | 5 | 0 | 5 | 5 | 54 |
| EXP2025/010526 | P4601700J | AYUNTAMIENTO DE ALZIRA. | T2 | 10 | 0 | 1 | 3 | 10 | 0 | 10 | 10 | 5 | 0 | 5 | 5 | 5 | 64 |
| EXP2025/010712 | P2208300J | AYUNTAMIENTO DE BINEFAR. | T2 | 10 | 0 | 1 | 3 | 10 | 0 | 10 | 10 | 5 | 5 | 5 | 5 | 5 | 69 |
| EXP2025/010808 | P2706700H | AYUNTAMIENTO DE VIVEIRO. | T2 | 10 | 0 | 1 | 3 | 10 | 10 | 10 | 10 | 5 | 0 | 5 | 5 | 5 | 74 |
| EXP2025/010881 | P4624000H | AJUNTAMENT DE TAVERNES DE LA VALLDIGNA. | T2 | 5 | 0 | 1 | 3 | 10 | 0 | 0 | 0 | 5 | 5 | 5 | 5 | 5 | 44 |
| EXP2025/010965 | P5007400D | AYUNTAMIENTO DE CASPE. | T2 | 10 | 0 | 1 | 3 | 10 | 0 | 10 | 10 | 0 | 5 | 5 | 5 | 5 | 64 |
| EXP2025/011171 | P4422900C | AYUNTAMIENTO DE TERUEL. | T2 | 10 | 0 | 1 | 3 | 10 | 0 | 10 | 10 | 5 | 5 | 5 | 5 | 5 | 69 |
| EXP2025/011197 | P0206900C | AYUNTAMIENTO DE LA RODA. | T2 | 10 | 0 | 1 | 3 | 10 | 0 | 10 | 10 | 0 | 5 | 5 | 5 | 5 | 64 |
| EXP2025/009290 | P1404900A | AYUNTAMIENTO DE PALMA DEL RIO. | T2 | 10 | 0 | 1 | 3 | 10 | 0 | 10 | 10 | 5 | 5 | 5 | 5 | 5 | 69 |
| EXP2025/010073 | P1500200I | CONCELLO DE AMES. | T2 | 10 | 0 | 1 | 3 | 0 | 0 | 10 | 10 | 5 | 0 | 0 | 5 | 0 | 44 |
| EXP2025/011967 | P3903500A | AYUNTAMIENTO DE LAREDO. | T2 | 10 | 0 | 1 | 3 | 10 | 0 | 10 | 10 | 5 | 5 | 5 | 5 | 0 | 64 |
| EXP2025/011227 | P4315700G | AYUNTAMIENTO DE TORTOSA. | T2 | 10 | 0 | 2 | 3 | 10 | 0 | 0 | 0 | 0 | 0 | 0 | 5 | 5 | 35 |
| EXP2025/011229 | P3301400B | AYUNTAMIENTO DE CARREÑO. | T2 | 10 | 0 | 1 | 3 | 0 | 0 | 10 | 10 | 5 | 5 | 5 | 5 | 5 | 59 |
| EXP2025/011279 | P0400300J | AYUNTAMIENTO DE ADRA. | T2 | 10 | 0 | 1 | 3 | 10 | 0 | 10 | 10 | 5 | 5 | 5 | 5 | 5 | 69 |
| EXP2025/011306 | P3004500I | AYUNTAMIENTO DE LOS ALCAZARES. | T2 | 10 | 0 | 1 | 3 | 10 | 0 | 10 | 10 | 5 | 5 | 5 | 5 | 5 | 69 |
| EXP2025/011320 | P1101400H | AYUNTAMIENTO DE CONIL DE LA FRA. | T2 | 10 | 0 | 1 | 3 | 10 | 0 | 10 | 10 | 5 | 5 | 5 | 5 | 5 | 69 |
| EXP2025/011324 | P4601300I | AYUNTAMIENTO DE ALBORAYA. | T2 | 10 | 0 | 1 | 3 | 10 | 0 | 10 | 10 | 5 | 5 | 5 | 5 | 5 | 69 |
| EXP2025/011333 | P0405200G | AYUNTAMIENTO DE HUERCAL DE ALMERIA. | T2 | 10 | 0 | 1 | 3 | 10 | 0 | 10 | 10 | 5 | 5 | 5 | 5 | 5 | 69 |
| EXP2025/011379 | P4318500H | AJUNTAMENT DE SALOU. | T2 | 10 | 0 | 1 | 3 | 10 | 0 | 10 | 10 | 5 | 5 | 5 | 5 | 5 | 69 |
| EXP2025/011385 | P1208200D | AYUNTAMIENTO DE NULES. | T2 | 10 | 0 | 1 | 3 | 10 | 0 | 10 | 10 | 5 | 5 | 5 | 5 | 5 | 69 |
| EXP2025/011395 | P0703100H | AJUNTAMENT DE LLUCMAJOR. | T2 | 10 | 0 | 1 | 3 | 10 | 0 | 10 | 10 | 5 | 5 | 5 | 5 | 5 | 69 |
| EXP2025/011463 | P0200900I | AYUNTAMIENTO DE ALMANSA. | T2 | 10 | 0 | 2 | 3 | 10 | 0 | 10 | 10 | 5 | 5 | 5 | 5 | 5 | 70 |
| EXP2025/011471 | P4101700E | AYUNTAMIENTO DE BORMUJOS. | T2 | 10 | 0 | 1 | 3 | 10 | 0 | 10 | 10 | 5 | 5 | 5 | 5 | 5 | 69 |
| EXP2025/011548 | P0819600H | AJUNTAMENT DE SANT ANDREU DE LLAVANERES. | T2 | 10 | 0 | 1 | 3 | 10 | 0 | 10 | 10 | 5 | 5 | 5 | 5 | 0 | 64 |
| EXP2025/011554 | P2300200I | AYUNTAMIENTO DE ALCALA LA REAL. | T2 | 10 | 0 | 1 | 3 | 10 | 10 | 10 | 10 | 5 | 5 | 5 | 5 | 5 | 79 |
| EXP2025/011566 | P5027700C | AYUNTAMIENTO DE UTEBO. | T2 | 10 | 0 | 1 | 3 | 10 | 0 | 10 | 10 | 5 | 5 | 5 | 5 | 5 | 69 |
| EXP2025/011568 | P1801800B | AYUNTAMIENTO DE ALMUÑECAR. | T2 | 10 | 0 | 0 | 3 | 0 | 0 | 10 | 10 | 5 | 5 | 5 | 5 | 5 | 58 |
| EXP2025/011573 | P4512300G | AGRUPACIÓN DE AYUNTAMIENTO DE OLIAS. | T2 | 10 | 1 | 1 | 3 | 10 | 10 | 10 | 10 | 5 | 5 | 5 | 5 | 5 | 80 |
| EXP2025/011575 | P1900000I | DIPUTACIÓN DE GUADALAJARA. | T2 | 10 | 10 | 1 | 3 | 10 | 0 | 10 | 10 | 5 | 5 | 5 | 5 | 5 | 79 |
| EXP2025/011587 | P3804600I | AYUNTAMIENTO DE TEGUESTE. | T2 | 10 | 0 | 1 | 3 | 10 | 0 | 10 | 10 | 5 | 0 | 5 | 5 | 5 | 64 |
| EXP2025/011593 | P3002600I | AYUNTAMIENTO DE MAZARRON. | T2 | 10 | 0 | 1 | 3 | 10 | 0 | 10 | 10 | 5 | 5 | 5 | 5 | 5 | 69 |
| EXP2025/011594 | P3001500B | AYUNTAMIENTO DE CARAVACA DE LA CRUZ. | T2 | 10 | 0 | 1 | 3 | 10 | 10 | 10 | 10 | 5 | 5 | 5 | 5 | 5 | 79 |
| EXP2025/011620 | P5008900B | AYUNTAMIENTO DE CUARTE DE HUERVA. | T2 | 10 | 0 | 1 | 3 | 0 | 0 | 10 | 10 | 5 | 5 | 5 | 5 | 5 | 59 |
| EXP2025/011658 | P0825000C | AYUNTAMIENTO DE SANTA MARGARIDA DE MONTBUI. | T2 | 10 | 0 | 1 | 3 | 10 | 0 | 10 | 10 | 5 | 5 | 5 | 5 | 5 | 69 |
| EXP2025/011683 | P5612701B | MANCOMUNIDAD DE MUNICIPIOS SIBERIA I. | T2 | 10 | 7 | 1 | 3 | 10 | 10 | 10 | 10 | 5 | 5 | 5 | 5 | 5 | 86 |
| EXP2025/011698 | P0407500H | AYUNTAMIENTO DE PULPI. | T2 | 10 | 0 | 1 | 3 | 10 | 10 | 10 | 10 | 5 | 0 | 5 | 5 | 5 | 74 |
| EXP2025/011703 | P3905200F | AYUNTAMIENTO DE PIELAGOS. | T2 | 10 | 0 | 1 | 3 | 10 | 0 | 10 | 10 | 5 | 0 | 5 | 5 | 5 | 64 |
| EXP2025/011743 | P4625100E | AYUNTAMIENTO DE UTIEL. | T2 | 10 | 0 | 1 | 3 | 10 | 0 | 10 | 10 | 5 | 5 | 5 | 5 | 5 | 69 |
| EXP2025/011752 | P2900800J | AYUNTAMIENTO DE ALHAURIN EL GRANDE. | T2 | 10 | 0 | 1 | 3 | 10 | 0 | 10 | 10 | 5 | 5 | 5 | 5 | 5 | 69 |
| EXP2025/011778 | P0807100C | AJUNTAMENT DE CORBERA DE LLOBREGAT. | T2 | 10 | 0 | 2 | 3 | 10 | 10 | 0 | 10 | 0 | 5 | 0 | 5 | 5 | 60 |
| EXP2025/011840 | P1303900C | AYUNTAMIENTO DE DAIMIEL. | T2 | 5 | 0 | 1 | 3 | 10 | 0 | 10 | 10 | 5 | 5 | 5 | 0 | 5 | 59 |
| EXP2025/011863 | P2607100A | AYUNTAMIENTO DE HARO. | T2 | 10 | 0 | 1 | 3 | 10 | 10 | 10 | 10 | 5 | 0 | 5 | 5 | 5 | 74 |
| EXP2025/011888 | P1809100I | AYUNTAMIENTO DE GUADIX. | T2 | 10 | 0 | 1 | 3 | 10 | 0 | 10 | 10 | 5 | 5 | 5 | 5 | 5 | 69 |
| EXP2025/011913 | P2305800A | AYUNTAMIENTO DE MANCHA REAL. | T2 | 10 | 0 | 2 | 3 | 10 | 0 | 10 | 10 | 5 | 5 | 5 | 5 | 5 | 70 |
| EXP2025/011914 | P2104400C | AYUNTAMIENTO DE LEPE. | T2 | 7 | 0 | 1 | 3 | 10 | 10 | 10 | 10 | 5 | 5 | 5 | 5 | 5 | 76 |
| EXP2025/011983 | P2414500E | AYUNTAMIENTO DE SAN ANDRES DEL RABANEDO. | T2 | 10 | 0 | 1 | 3 | 10 | 0 | 10 | 10 | 0 | 5 | 5 | 5 | 5 | 64 |
| EXP2025/011989 | P4318100G | AYUNTAMIENTO DE DELTEBRE. | T2 | 10 | 0 | 1 | 3 | 10 | 0 | 10 | 10 | 0 | 0 | 5 | 5 | 5 | 59 |
| EXP2025/012011 | P2816000J | AYUNTAMIENTO DE VALDEMORILLO. | T2 | 7 | 0 | 1 | 3 | 0 | 0 | 10 | 10 | 5 | 5 | 0 | 5 | 5 | 51 |
| EXP2025/012013 | P1405600F | AYUNTAMIENTO DE PUENTE GENIL. | T2 | 5 | 0 | 1 | 3 | 0 | 0 | 10 | 10 | 5 | 5 | 5 | 5 | 5 | 54 |
| EXP2025/012036 | P1808300F | AYUNTAMIENTO DE LAS GABIAS. | T2 | 10 | 0 | 1 | 3 | 10 | 10 | 10 | 10 | 0 | 0 | 5 | 5 | 5 | 69 |
| EXP2025/012041 | P4616100F | AYUNTAMIENTO DE MANISES. | T2 | 10 | 0 | 1 | 3 | 10 | 0 | 10 | 10 | 5 | 5 | 5 | 5 | 5 | 69 |
| EXP2025/012052 | P3803200I | AYUNTAMIENTO EL ROSARIO. | T2 | 10 | 0 | 1 | 3 | 10 | 10 | 10 | 10 | 5 | 5 | 5 | 5 | 5 | 79 |
| EXP2025/012054 | P4305200J | AJUNTAMENT DE CUNIT. | T2 | 10 | 0 | 1 | 3 | 10 | 0 | 10 | 10 | 5 | 5 | 5 | 5 | 0 | 64 |
| EXP2025/012057 | P1103900E | AYUNTAMIENTO DE VEJER. | T2 | 10 | 0 | 1 | 3 | 10 | 0 | 10 | 0 | 5 | 5 | 5 | 5 | 5 | 59 |
| EXP2025/012059 | P1308700B | AYUNTAMIENTO DE VALDEPEÑAS. | T2 | 10 | 0 | 1 | 3 | 10 | 10 | 10 | 0 | 5 | 5 | 5 | 5 | 5 | 69 |
| EXP2025/012060 | P0609500D | AYUNTAMIENTO DE OLIVENZA. | T2 | 10 | 0 | 1 | 3 | 10 | 10 | 10 | 10 | 5 | 0 | 5 | 5 | 5 | 74 |
| EXP2025/012104 | P1801500H | AYUNTAMIENTO DE ALHENDIN. | T2 | 10 | 0 | 1 | 3 | 10 | 10 | 10 | 10 | 5 | 5 | 5 | 5 | 5 | 79 |
| EXP2025/012141 | P1400700I | AYUNTAMIENTO DE BAENA. | T2 | 7 | 0 | 1 | 3 | 10 | 0 | 10 | 10 | 5 | 5 | 0 | 5 | 5 | 61 |
| EXP2025/012142 | P4508200E | AYUNTAMIENTO DE ILLESCAS. | T2 | 10 | 0 | 1 | 3 | 10 | 0 | 10 | 10 | 5 | 5 | 5 | 5 | 5 | 69 |
| EXP2025/012175 | P4513300F | AGRUPACIÓN AYUNTAMIENTO DE PEPINO. | T2 | 10 | 10 | 1 | 3 | 10 | 0 | 10 | 10 | 5 | 5 | 5 | 5 | 5 | 79 |
| EXP2025/012221 | P1400010C | MANCOMUNIDAD DE MUNICIPIOS DEL VALLE DEL GUADIATO. | T2 | 10 | 10 | 1 | 3 | 0 | 0 | 10 | 10 | 0 | 0 | 5 | 5 | 5 | 59 |
| EXP2025/012381 | P0309400J | AYUNTAMIENTO DE LA NUCIA. | T2 | 7 | 0 | 1 | 3 | 10 | 0 | 10 | 10 | 0 | 0 | 5 | 5 | 5 | 56 |
| EXP2025/012404 | P4104700B | AYUNTAMIENTO DE GINES. | T2 | 10 | 0 | 1 | 3 | 10 | 10 | 10 | 0 | 5 | 0 | 5 | 5 | 5 | 64 |
| EXP2025/012415 | P3501500G | AYUNTAMIENTO DE LA OLIVA. | T2 | 10 | 0 | 1 | 3 | 10 | 10 | 10 | 10 | 5 | 0 | 5 | 5 | 5 | 74 |
| EXP2025/011192 | P2806800E | AYUNTAMIENTO DE GUADARRAMA. | T2 | 10 | 0 | 1 | 3 | 10 | 10 | 10 | 10 | 5 | 5 | 5 | 5 | 5 | 79 |
| EXP2025/011201 | P4518800J | AGRUPACIÓN DEL AYUNTAMIENTO DE VILLAFRANCA DE LOS CABALLEROS. | T2 | 10 | 3 | 1 | 3 | 10 | 10 | 10 | 10 | 5 | 5 | 5 | 5 | 5 | 82 |
| EXP2025/011214 | P0826000B | AJUNTAMENT DE SANTA PERPETUA DE MOGODA. | T2 | 10 | 0 | 1 | 3 | 10 | 0 | 10 | 10 | 5 | 5 | 5 | 5 | 5 | 69 |
| EXP2025/011224 | P1907000B | AYUNTAMIENTO DE CABANILLAS DEL CAMPO. | T2 | 10 | 0 | 1 | 3 | 10 | 10 | 10 | 10 | 5 | 5 | 0 | 5 | 5 | 74 |
| EXP2025/011230 | P2221800B | AYUNTAMIENTO DE MONZON. | T2 | 10 | 0 | 1 | 3 | 10 | 10 | 10 | 10 | 5 | 5 | 5 | 5 | 5 | 79 |
| EXP2025/011244 | P1712400I | AJUNTAMENT DE PALAFRUGELL. | T2 | 10 | 0 | 1 | 3 | 10 | 0 | 10 | 10 | 5 | 5 | 5 | 5 | 5 | 69 |
| EXP2025/011258 | P2300300G | AYUNTAMIENTO DE ALCAUDETE. | T2 | 0 | 0 | 2 | 3 | 0 | 0 | 10 | 10 | 5 | 0 | 5 | 0 | 5 | 40 |
| EXP2025/011260 | P1102800H | AYUNTAMIENTO DE PUERTO REAL. | T2 | 10 | 0 | 1 | 3 | 10 | 0 | 10 | 10 | 5 | 0 | 5 | 5 | 5 | 64 |
| EXP2025/011271 | P1401700H | AYUNTAMIENTO DE LA CARLOTA. | T2 | 10 | 0 | 2 | 3 | 10 | 10 | 10 | 10 | 5 | 5 | 5 | 5 | 5 | 80 |
| EXP2025/011337 | P3002200H | AYUNTAMIENTO DE JUMILLA. | T2 | 10 | 0 | 1 | 3 | 10 | 0 | 10 | 10 | 5 | 5 | 5 | 5 | 5 | 69 |
| EXP2025/011352 | P3123200B | AYUNTAMIENTO DE TUDELA. | T2 | 10 | 0 | 1 | 3 | 10 | 0 | 10 | 10 | 5 | 5 | 5 | 5 | 5 | 69 |
| EXP2025/011405 | P1705200B | AJUNTAMENT DE CASTELLO Du00B4EMPURIES. | T2 | 10 | 0 | 1 | 3 | 10 | 0 | 10 | 10 | 5 | 5 | 5 | 5 | 5 | 69 |
| EXP2025/011411 | P0808800G | Ajuntament de Gavu00E0. | T2 | 10 | 0 | 1 | 3 | 10 | 0 | 10 | 10 | 5 | 5 | 5 | 0 | 5 | 64 |
| EXP2025/011412 | P4301400J | AJUNTAMENT DAMPOSTA. | T2 | 7 | 0 | 1 | 3 | 10 | 0 | 10 | 10 | 5 | 5 | 0 | 0 | 5 | 56 |
| EXP2025/011422 | P2608400D | AYUNTAMIENTO DE LARDERO. | T2 | 10 | 0 | 1 | 3 | 0 | 0 | 10 | 10 | 5 | 5 | 5 | 5 | 5 | 59 |
| EXP2025/011428 | P4801900D | AYUNTAMIENTO DE BASAURI - BASAURIKO UDALA. | T2 | 10 | 0 | 1 | 3 | 10 | 0 | 10 | 10 | 0 | 5 | 5 | 5 | 5 | 64 |
| EXP2025/011444 | P2805400E | AYUNTAMIENTO DE EL ESCORIAL. | T2 | 10 | 0 | 1 | 3 | 10 | 0 | 10 | 10 | 5 | 5 | 0 | 5 | 0 | 59 |
| EXP2025/011473 | P2107900I | AYUNTAMIENTO DE PUNTA UMBRIA. | T2 | 10 | 0 | 1 | 3 | 10 | 0 | 10 | 10 | 5 | 5 | 5 | 5 | 5 | 69 |
| EXP2025/011477 | P1812300J | EXCMO. AYUNTAMIENTO DE LOJA. | T2 | 10 | 0 | 1 | 3 | 10 | 10 | 10 | 10 | 0 | 0 | 5 | 0 | 5 | 64 |
| EXP2025/011506 | P0810900A | AYUNTAMIENTO DE MALGRAT. | T2 | 10 | 0 | 1 | 3 | 10 | 10 | 10 | 10 | 5 | 5 | 5 | 5 | 0 | 74 |
| EXP2025/011531 | P0308900J | AYUNTAMIENTO DE MONOVAR. | T2 | 10 | 0 | 1 | 3 | 10 | 10 | 10 | 10 | 5 | 5 | 5 | 5 | 0 | 74 |
| EXP2025/011542 | P0307900A | AYUNTAMIENTO DE IBI. | T2 | 10 | 0 | 1 | 3 | 10 | 10 | 10 | 10 | 5 | 5 | 5 | 5 | 5 | 79 |
| EXP2025/011552 | P2103500A | AYUNTAMIENTO DE GIBRALEON. | T2 | 0 | 0 | 1 | 3 | 10 | 0 | 10 | 0 | 5 | 5 | 5 | 5 | 0 | 44 |
| EXP2025/011562 | P0100200E | AYUNTAMIENTO DE AMURRIO - AMURRIOKO UDALA. | T2 | 10 | 0 | 1 | 3 | 10 | 10 | 10 | 10 | 5 | 5 | 5 | 5 | 5 | 79 |
| EXP2025/011599 | P0704400A | AJUNTAMENT DE SA POBLA. | T2 | 10 | 0 | 1 | 3 | 10 | 10 | 10 | 10 | 5 | 5 | 5 | 5 | 5 | 79 |
| EXP2025/011609 | P4701100B | AYUNTAMIENTO DE ARROYO DE LA ENCOMIENDA. | T2 | 10 | 0 | 1 | 3 | 10 | 10 | 10 | 10 | 5 | 5 | 5 | 5 | 5 | 79 |
| EXP2025/011615 | P4517400J | AYUNTAMIENTO DE TORRIJOS. | T2 | 10 | 0 | 1 | 3 | 10 | 10 | 10 | 10 | 5 | 5 | 5 | 5 | 5 | 79 |
| EXP2025/011624 | P3190300H | AYUNTAMIENTO DE BERRIOZAR. | T2 | 10 | 0 | 1 | 3 | 10 | 10 | 10 | 10 | 5 | 0 | 5 | 5 | 5 | 74 |
| EXP2025/011701 | P1721200B | AJUNTAMENT DE TORROELLA DE MONTGRI. | T2 | 10 | 0 | 1 | 3 | 10 | 0 | 10 | 10 | 5 | 5 | 5 | 5 | 5 | 69 |
| EXP2025/011715 | P3004400B | EXCMO.AYUNTAMIENTO DE SANTOMERA. | T2 | 10 | 0 | 1 | 3 | 10 | 0 | 10 | 10 | 5 | 5 | 5 | 5 | 5 | 69 |
| EXP2025/011735 | P3710700J | AYUNTAMIENTO CIUDAD RODRIGO. | T2 | 10 | 0 | 1 | 3 | 10 | 0 | 10 | 10 | 5 | 5 | 5 | 5 | 5 | 69 |
| EXP2025/011738 | P1100800J | AYUNTAMIENTO DE LOS BARRIOS. | T2 | 10 | 0 | 2 | 3 | 10 | 10 | 10 | 10 | 5 | 5 | 5 | 5 | 5 | 80 |
| EXP2025/011740 | P3004100H | AYUNTAMIENTO DE LA UNION. | T2 | 10 | 0 | 1 | 3 | 10 | 0 | 10 | 10 | 5 | 5 | 5 | 5 | 5 | 69 |
| EXP2025/011774 | P3600600E | CONCELLO DE CAMBADOS. | T2 | 7 | 0 | 1 | 3 | 0 | 0 | 10 | 10 | 0 | 5 | 5 | 0 | 5 | 46 |
| EXP2025/011796 | P4309300D | AJUNTAMENT DE MONT-ROIG DEL CAMP. | T2 | 10 | 0 | 1 | 3 | 10 | 0 | 10 | 10 | 5 | 0 | 0 | 5 | 5 | 59 |
| EXP2025/011849 | P1800400B | AYUNTAMIENTO DE ALBOLOTE. | T2 | 10 | 0 | 1 | 3 | 10 | 0 | 10 | 10 | 5 | 5 | 0 | 0 | 5 | 59 |
| EXP2025/011868 | P4610400F | AYUNTAMIENTO DE QUART DE POBLET. | T2 | 10 | 0 | 1 | 3 | 10 | 0 | 10 | 10 | 5 | 5 | 5 | 5 | 5 | 69 |
| EXP2025/011902 | P0901800C | AYUNTAMIENTO DE ARANDA DE DUERO. | T2 | 10 | 0 | 2 | 3 | 10 | 0 | 10 | 10 | 5 | 5 | 5 | 5 | 0 | 65 |
| EXP2025/011907 | P1507400H | CONCELLO DE RIBEIRA. | T2 | 10 | 0 | 1 | 3 | 10 | 0 | 10 | 10 | 5 | 5 | 5 | 5 | 5 | 69 |
| EXP2025/011917 | P4106000E | AYUNTAMIENTO DE MARCHENA. | T2 | 10 | 0 | 1 | 3 | 10 | 10 | 10 | 10 | 5 | 0 | 5 | 5 | 5 | 74 |
| EXP2025/011920 | P4516400A | AGRUPACIÓN DEL AYUNTAMIENTO DE SONSECA CON CASALGORDO. | T2 | 10 | 3 | 1 | 3 | 10 | 10 | 10 | 10 | 5 | 5 | 5 | 5 | 5 | 82 |
| EXP2025/011960 | P1103000D | AYUNTAMIENTO ROTA. | T2 | 10 | 0 | 1 | 3 | 10 | 0 | 10 | 10 | 5 | 5 | 5 | 5 | 5 | 69 |
| EXP2025/011972 | P1902900H | AYUNTAMIENTO DE ALOVERA. | T2 | 10 | 0 | 1 | 3 | 10 | 0 | 10 | 10 | 5 | 5 | 5 | 5 | 5 | 69 |
| EXP2025/011975 | P0808500C | AJUNTAMENT DE LES FRANQUESES DEL VALLÈS. | T2 | 10 | 0 | 1 | 3 | 10 | 0 | 10 | 10 | 5 | 5 | 5 | 5 | 5 | 69 |
| EXP2025/011994 | P4516200E | AYUNTAMIENTO DE SESEu00D1A. | T2 | 10 | 0 | 0 | 3 | 10 | 0 | 10 | 10 | 5 | 5 | 5 | 5 | 5 | 68 |
| EXP2025/011998 | P0601100A | AYUNTAMIENTO DE ALMENDRALEJO. | T2 | 10 | 0 | 1 | 3 | 10 | 10 | 10 | 10 | 5 | 5 | 5 | 5 | 5 | 79 |
| EXP2025/012010 | P1802400J | AYUNTAMIENTO DE BAZA. | T2 | 10 | 0 | 1 | 3 | 10 | 10 | 10 | 10 | 5 | 5 | 5 | 5 | 5 | 79 |
| EXP2025/012031 | P4601100C | AYUNTAMIENTO DE ALBERIC. | T2 | 10 | 0 | 1 | 3 | 10 | 0 | 10 | 10 | 5 | 5 | 5 | 5 | 5 | 69 |
| EXP2025/012044 | P4503700I | AGRUPACIÓN DE AYUNTAMIENTO DE EL CARPIO DE TAJO. | T2 | 10 | 5 | 1 | 3 | 10 | 10 | 10 | 10 | 5 | 5 | 5 | 5 | 5 | 84 |
| EXP2025/012058 | P4618300J | AYUNTAMIENTO DE OLIVA. | T2 | 10 | 0 | 1 | 3 | 10 | 10 | 10 | 10 | 5 | 5 | 5 | 5 | 5 | 79 |
| EXP2025/012088 | P4105800I | AYUNTAMIENTO DE MAIRENA DEL ALCOR. | T2 | 7 | 0 | 0 | 3 | 10 | 10 | 0 | 0 | 5 | 0 | 5 | 5 | 5 | 50 |
| EXP2025/012097 | P4500004I | MANCOMUNIDAD DE MUNICIPIOS SAGRA ALTA. | T2 | 10 | 5 | 1 | 3 | 10 | 0 | 10 | 10 | 5 | 5 | 5 | 5 | 5 | 74 |
| EXP2025/012151 | P2102100A | AYUNTAMIENTO DE CARTAYA. | T2 | 10 | 0 | 1 | 3 | 10 | 10 | 10 | 10 | 5 | 0 | 5 | 0 | 5 | 69 |
| EXP2025/012206 | P1307800A | AYUNTAMIENTO DE SOCUELLAMOS. | T2 | 10 | 0 | 1 | 3 | 10 | 10 | 10 | 10 | 0 | 5 | 5 | 5 | 5 | 74 |
| EXP2025/012216 | P1400046G | MANCOMUNIDAD COMARCA CORDOBESA ALTO GUADALQUIVIR. | T2 | 10 | 5 | 1 | 3 | 10 | 10 | 10 | 10 | 5 | 5 | 5 | 0 | 0 | 74 |
| EXP2025/012510 | P4617300A | AYUNTAMIENTO DE MONCADA. | T2 | 10 | 0 | 1 | 3 | 10 | 0 | 0 | 0 | 0 | 0 | 0 | 0 | 0 | 24 |
| EXP2025/012846 | P0823800H | AYTO DE SAN QUIRCE DEL VALLES. | T2 | 10 | 0 | 1 | 3 | 10 | 10 | 10 | 10 | 5 | 0 | 5 | 5 | 5 | 74 |
| EXP2025/012865 | P4601900F | AYUNTAMIENTO DE LA ALCUDIA. | T2 | 10 | 0 | 0 | 3 | 10 | 10 | 0 | 10 | 5 | 5 | 5 | 0 | 5 | 63 |
| EXP2025/013602 | P2807300E | AYUNTAMIENTO DE HUMANES DE MADRID. | T2 | 7 | 0 | 1 | 3 | 10 | 0 | 0 | 10 | 5 | 5 | 0 | 0 | 0 | 41 |
| EXP2025/011043 | P4313800G | AJUNTAMENT DE LA RAPITA. | T2 | 10 | 0 | 1 | 3 | 10 | 0 | 10 | 10 | 0 | 0 | 5 | 5 | 5 | 59 |
| EXP2025/011062 | P2601800B | AYUNTAMIENTO DE ARNEDO. | T2 | 10 | 0 | 1 | 3 | 10 | 10 | 10 | 10 | 5 | 0 | 5 | 5 | 5 | 74 |
| EXP2025/011076 | P0615800J | AYUNTAMIENTO DE ZAFRA. | T2 | 10 | 0 | 1 | 3 | 10 | 10 | 10 | 10 | 5 | 5 | 5 | 5 | 5 | 79 |
| EXP2025/011094 | P4610700I | AYUNTAMIENTO DE CULLERA. | T2 | 10 | 0 | 1 | 3 | 10 | 0 | 10 | 10 | 5 | 5 | 5 | 5 | 5 | 69 |
| EXP2025/011141 | P0812400J | AJUNTAMENT DE MONTCADA I REIXAC. | T2 | 7 | 0 | 1 | 3 | 0 | 0 | 10 | 10 | 5 | 5 | 5 | 5 | 5 | 56 |
| EXP2025/011160 | P4227700D | AYUNTAMIENTO DE SORIA. | T2 | 10 | 0 | 1 | 3 | 10 | 0 | 10 | 10 | 5 | 5 | 5 | 5 | 5 | 69 |
| EXP2025/011173 | P0301800I | AYUNTAMIENTO DE ALTEA. | T2 | 10 | 0 | 1 | 3 | 10 | 0 | 10 | 10 | 5 | 5 | 5 | 5 | 5 | 69 |
| EXP2025/011213 | P3000300H | AYUNTAMIENTO DE AGUILAS. | T2 | 10 | 0 | 1 | 3 | 10 | 0 | 10 | 10 | 5 | 5 | 5 | 5 | 5 | 69 |
| EXP2025/011266 | P1405500H | AYUNTAMIENTO DE PRIEGO DE CORDOBA. | T2 | 10 | 0 | 1 | 3 | 10 | 10 | 10 | 0 | 5 | 0 | 5 | 0 | 0 | 54 |
| EXP2025/011299 | P4105500E | AYUNTAMIENTO DE LORA DEL RIO. | T2 | 10 | 0 | 1 | 3 | 0 | 0 | 10 | 10 | 0 | 0 | 5 | 0 | 5 | 44 |
| EXP2025/011304 | P3729600A | AYUNTAMIENTO DE SANTA MARTA DE TORMES. | T2 | 10 | 0 | 1 | 3 | 10 | 0 | 10 | 10 | 5 | 0 | 0 | 5 | 5 | 59 |
| EXP2025/011305 | P4102100G | AYUNTAMIENTO DE CAMAS. | T2 | 7 | 0 | 1 | 3 | 10 | 0 | 10 | 10 | 5 | 0 | 5 | 5 | 5 | 61 |
| EXP2025/011307 | P0800600I | AJUNTAMENT DARENYS DE MAR. | T2 | 10 | 0 | 1 | 3 | 10 | 10 | 10 | 10 | 0 | 0 | 5 | 5 | 0 | 64 |
| EXP2025/011308 | P1810300B | AYUNTAMIENTO DE HUETOR VEGA. | T2 | 10 | 0 | 1 | 3 | 10 | 0 | 10 | 10 | 5 | 5 | 5 | 5 | 5 | 69 |
| EXP2025/011313 | P4625800J | AYUNTAMIENTO DE VILAMARXANT. | T2 | 10 | 0 | 1 | 3 | 10 | 10 | 10 | 0 | 5 | 5 | 5 | 5 | 0 | 64 |
| EXP2025/011340 | P4106500D | AYUNTAMIENTO DE MORÓN DE LA FRONTERA. | T2 | 10 | 0 | 1 | 3 | 10 | 10 | 10 | 10 | 5 | 0 | 5 | 5 | 5 | 74 |
| EXP2025/011369 | P2817200E | AYUNTAMIENTO DE VILLALBILLA. | T2 | 10 | 0 | 1 | 3 | 10 | 0 | 10 | 10 | 5 | 5 | 5 | 5 | 5 | 69 |
| EXP2025/011390 | P3902000C | AYUNTAMIENTO DE CASTRO URDIALES. | T2 | 10 | 0 | 1 | 3 | 10 | 10 | 10 | 10 | 5 | 5 | 5 | 5 | 5 | 79 |
| EXP2025/011455 | P3004300D | AYUNTAMIENTO DE YECLA. | T2 | 10 | 0 | 1 | 3 | 10 | 10 | 10 | 10 | 5 | 5 | 5 | 5 | 5 | 79 |
| EXP2025/011456 | P4608300B | AJUNTAMENT DE CANALS. | T2 | 10 | 0 | 1 | 3 | 10 | 0 | 10 | 10 | 5 | 5 | 5 | 5 | 5 | 69 |
| EXP2025/011485 | P3001300G | AYUNTAMIENTO DE CALASPARRA. | T2 | 10 | 0 | 1 | 3 | 10 | 0 | 10 | 10 | 5 | 5 | 5 | 5 | 5 | 69 |
| EXP2025/011493 | P3501200D | AYUNTAMIENTO DE INGENIO. | T2 | 10 | 0 | 1 | 3 | 10 | 0 | 10 | 10 | 5 | 5 | 5 | 5 | 5 | 69 |
| EXP2025/011499 | P3001700H | AYUNTAMIENTO DE CEHEGIN. | T2 | 10 | 0 | 2 | 3 | 10 | 0 | 10 | 10 | 5 | 5 | 5 | 5 | 5 | 70 |
| EXP2025/011503 | P5000038I | COMARCA DEL CAMPO DE CARIÑENA. | T2 | 7 | 5 | 1 | 3 | 10 | 10 | 10 | 0 | 5 | 5 | 5 | 5 | 5 | 71 |
| EXP2025/011510 | P1305300D | AYUNTAMIENTO DE MANZANARES. | T2 | 10 | 0 | 1 | 3 | 10 | 10 | 10 | 10 | 5 | 5 | 5 | 5 | 5 | 79 |
| EXP2025/011515 | P4611300G | AYUNTAMIENTO DE CHIVA. | T2 | 10 | 0 | 1 | 3 | 10 | 0 | 10 | 10 | 5 | 5 | 5 | 5 | 5 | 69 |
| EXP2025/011564 | P0410200J | AYUNTAMIENTO DE VICAR. | T2 | 10 | 0 | 1 | 3 | 10 | 0 | 10 | 10 | 5 | 5 | 5 | 5 | 5 | 69 |
| EXP2025/011614 | P3001900D | AYUNTAMIENTO DE CIEZA. | T2 | 7 | 0 | 1 | 3 | 0 | 0 | 10 | 10 | 5 | 5 | 5 | 0 | 5 | 51 |
| EXP2025/011628 | P2804000D | AYUNTAMIENTO DE CIEMPOZUELOS. | T2 | 10 | 0 | 1 | 3 | 10 | 0 | 10 | 10 | 5 | 5 | 5 | 5 | 5 | 69 |
| EXP2025/011644 | P4620700G | AYUNTAMIENTO DE PUu00C7OL. | T2 | 10 | 0 | 1 | 3 | 10 | 10 | 10 | 10 | 5 | 5 | 5 | 5 | 5 | 79 |
| EXP2025/011664 | P4509900I | AGRUPACIÓN DEL AYUNTAMIENTO DE MENASALBAS. | T2 | 10 | 10 | 1 | 3 | 10 | 10 | 10 | 10 | 5 | 5 | 5 | 5 | 5 | 89 |
| EXP2025/011717 | P0811300C | AYUNTAMIENTO DE MARTORELL. | T2 | 10 | 0 | 1 | 3 | 10 | 0 | 10 | 10 | 5 | 5 | 5 | 5 | 5 | 69 |
| EXP2025/011737 | P4617400I | AJUNTAMENT DE MONTSERRAT. | T2 | 10 | 0 | 1 | 3 | 10 | 0 | 10 | 10 | 5 | 5 | 5 | 5 | 5 | 69 |
| EXP2025/011767 | P0304900D | AYUNTAMIENTO DE CALLOSA DE SEGURA. | T2 | 10 | 0 | 1 | 3 | 10 | 0 | 10 | 10 | 5 | 5 | 5 | 5 | 5 | 69 |
| EXP2025/011779 | P2422600C | AYUNTAMIENTO DE VILLAQUILAMBRE. | T2 | 10 | 0 | 1 | 3 | 10 | 0 | 10 | 10 | 5 | 5 | 5 | 5 | 5 | 69 |
| EXP2025/011788 | P1307100F | AYUNTAMIENTO DE PUERTOLLANO. | T2 | 10 | 0 | 1 | 3 | 10 | 0 | 0 | 0 | 0 | 0 | 0 | 0 | 0 | 24 |
| EXP2025/011804 | P2816700E | AYUNTAMIENTO DE VELILLA DE SAN ANTONIO. | T2 | 10 | 0 | 1 | 3 | 10 | 10 | 10 | 10 | 5 | 5 | 5 | 5 | 5 | 79 |
| EXP2025/011826 | P0827000A | AJUNTAMENT DE SITGES. | T2 | 10 | 0 | 1 | 3 | 10 | 0 | 10 | 10 | 5 | 5 | 5 | 5 | 5 | 69 |
| EXP2025/011859 | P1212600I | AYUNTAMIENTO DE LA VALL DUIXO. | T2 | 10 | 0 | 1 | 3 | 10 | 0 | 10 | 10 | 5 | 5 | 0 | 0 | 5 | 59 |
| EXP2025/011867 | P0815500D | AJUNTAMENT DE PALAU SOLITA I PLEGAMANS. | T2 | 5 | 0 | 1 | 3 | 10 | 0 | 10 | 10 | 0 | 5 | 0 | 0 | 0 | 44 |
| EXP2025/011879 | P4104900H | AYUNTAMIENTO DE GUILLENA. | T2 | 10 | 0 | 1 | 3 | 0 | 0 | 10 | 10 | 5 | 5 | 5 | 5 | 5 | 59 |
| EXP2025/011896 | P0704200E | AJUNTAMENT DE POLLENSA. | T2 | 10 | 0 | 1 | 3 | 10 | 0 | 10 | 10 | 5 | 5 | 5 | 5 | 5 | 69 |
| EXP2025/011906 | P1710200E | AJUNTAMENT DE LLORET DE MAR. | T2 | 10 | 0 | 1 | 3 | 10 | 0 | 10 | 10 | 5 | 5 | 5 | 5 | 5 | 69 |
| EXP2025/011928 | P2104200G | AYUNTAMIENTO DE ISLA CRISTINA. | T2 | 10 | 0 | 1 | 3 | 10 | 0 | 10 | 10 | 5 | 5 | 5 | 5 | 5 | 69 |
| EXP2025/011930 | P2309200J | AYUNTAMIENTO DE UBEDA. | T2 | 10 | 0 | 1 | 3 | 10 | 0 | 10 | 10 | 5 | 5 | 5 | 5 | 5 | 69 |
| EXP2025/011938 | P2517200H | AJUNTAMENT DE MOLLERUSSA. | T2 | 10 | 0 | 1 | 3 | 10 | 10 | 10 | 10 | 5 | 5 | 5 | 5 | 5 | 79 |
| EXP2025/012007 | P2308600B | AYUNTAMIENTO DE TORREDELCAMPO. | T2 | 10 | 0 | 1 | 3 | 10 | 10 | 10 | 10 | 5 | 5 | 5 | 5 | 5 | 79 |
| EXP2025/012047 | P3306000E | AYUNTAMIENTO DE SAN MARTIN DEL REY AURELIO. | T2 | 7 | 0 | 1 | 3 | 10 | 10 | 0 | 10 | 0 | 0 | 0 | 5 | 5 | 51 |
| EXP2025/012899 | P3303100F | AYUNTAMIENTO DE LANGREO. | T2 | 10 | 0 | 1 | 3 | 10 | 0 | 10 | 10 | 5 | 5 | 5 | 5 | 5 | 69 |
| EXP2025/013043 | P4515700E | AGRUPACIÓN AYUNTAMIENTO DE SANTA CRUZ DE LA ZARZA. | T2 | 10 | 10 | 1 | 3 | 10 | 10 | 10 | 10 | 5 | 5 | 5 | 5 | 5 | 89 |
| EXP2025/010824 | P2306100E | EXCMO AYUNTAMIENTO DE MENGIBAR. | T2 | 10 | 0 | 1 | 3 | 10 | 10 | 10 | 10 | 5 | 5 | 5 | 5 | 5 | 79 |
| EXP2025/010825 | P4000018D | MANCOMUNIDAD DE MUNICIPIOS LA ATALAYA. | T2 | 10 | 3 | 2 | 3 | 0 | 0 | 0 | 0 | 0 | 0 | 0 | 0 | 0 | 18 |
| EXP2025/010867 | P4616700C | AJUNTAMENT DE MASSANASSA. | T2 | 10 | 0 | 1 | 3 | 10 | 0 | 10 | 10 | 5 | 5 | 5 | 5 | 5 | 69 |
| EXP2025/010941 | P4800019D | MANCOMUNIDAD DE SERVICIOS DE URIBE KOSTA ZERBITZU MANKOMUNITATEA. | T2 | 5 | 5 | 1 | 3 | 10 | 0 | 10 | 0 | 5 | 5 | 0 | 5 | 0 | 49 |
| EXP2025/011014 | P0306300E | AYUNTAMIENTO DE DENIA. | T2 | 10 | 0 | 1 | 3 | 0 | 0 | 10 | 10 | 5 | 5 | 5 | 5 | 5 | 59 |
| EXP2025/011044 | P1802300B | AYUNTAMIENTO DE ATARFE. | T2 | 10 | 0 | 1 | 3 | 10 | 0 | 10 | 10 | 5 | 5 | 5 | 5 | 5 | 69 |
| EXP2025/011101 | P4809500D | AYUNTAMIENTO DE SANTURTZI - SANTURTZIKO UDALA. | T2 | 10 | 0 | 1 | 3 | 0 | 0 | 10 | 10 | 5 | 5 | 5 | 5 | 5 | 59 |
| EXP2025/011111 | P0301500E | AYUNTAMIENTO DE ALMORADI. | T2 | 10 | 0 | 1 | 3 | 10 | 0 | 10 | 10 | 5 | 5 | 5 | 5 | 5 | 69 |
| EXP2025/011292 | P4609600D | AYUNTAMIENTO DE CATARROJA. | T2 | 10 | 0 | 1 | 3 | 10 | 0 | 10 | 10 | 5 | 5 | 5 | 5 | 5 | 69 |
| EXP2025/011295 | P2300500B | AYUNTAMIENTO DE ANDUJAR. | T2 | 10 | 0 | 1 | 3 | 0 | 0 | 10 | 10 | 5 | 5 | 5 | 5 | 5 | 59 |
| EXP2025/011318 | P1705300J | AJUNTAMENT DE CASTELL DARO. | T2 | 7 | 0 | 1 | 3 | 10 | 0 | 10 | 10 | 5 | 5 | 0 | 5 | 5 | 61 |
| EXP2025/011366 | P1101600C | AYUNTAMIENTO DE CHIPIONA. | T2 | 0 | 0 | 1 | 3 | 10 | 0 | 10 | 10 | 5 | 5 | 5 | 5 | 5 | 59 |
| EXP2025/011478 | P4808000F | AYUNTAMIENTO DE MUNGIA - MUNGIAKO UDALA. | T2 | 7 | 0 | 1 | 3 | 10 | 0 | 10 | 10 | 5 | 5 | 0 | 5 | 5 | 61 |
| EXP2025/011492 | P0410000D | AYUNTAMIENTO DE VERA. | T2 | 10 | 0 | 1 | 3 | 10 | 0 | 10 | 10 | 5 | 5 | 5 | 5 | 5 | 69 |
| EXP2025/011595 | P4104400I | AYUNTAMIENTO DE GELVES. | T2 | 10 | 0 | 1 | 3 | 0 | 0 | 10 | 10 | 5 | 0 | 5 | 0 | 0 | 44 |
| EXP2025/011618 | P1200500E | AJUNTAMENT DE LALCORA. | T2 | 10 | 0 | 2 | 3 | 10 | 0 | 10 | 10 | 5 | 5 | 5 | 5 | 5 | 70 |
| EXP2025/011677 | P2813200I | AYUNTAMIENTO DE SAN MARTIN DE LA VEGA. | T2 | 10 | 0 | 1 | 3 | 0 | 0 | 10 | 10 | 5 | 5 | 0 | 5 | 5 | 54 |
| EXP2025/011708 | P0311900E | AYUNTAMIENTO DE SANT JOAN DALACANT. | T2 | 10 | 0 | 1 | 3 | 10 | 0 | 10 | 10 | 5 | 5 | 5 | 5 | 5 | 69 |
| EXP2025/011734 | P4601500D | AYUNTAMIENTO DE ALCASSER. | T2 | 10 | 0 | 1 | 3 | 10 | 0 | 10 | 10 | 5 | 5 | 5 | 5 | 5 | 69 |
| EXP2025/011759 | P1202800G | AYUNTAMIENTO DE BENICASSIM. | T2 | 10 | 0 | 2 | 3 | 10 | 0 | 10 | 10 | 5 | 5 | 5 | 5 | 5 | 70 |
| EXP2025/011761 | P3000900E | AYUNTAMIENTO DE ARCHENA. | T2 | 10 | 0 | 1 | 3 | 10 | 0 | 10 | 10 | 5 | 5 | 5 | 5 | 5 | 69 |
| EXP2025/011851 | P1305600G | AYUNTAMIENTO DE MIGUELTURRA. | T2 | 10 | 0 | 1 | 3 | 0 | 0 | 10 | 10 | 5 | 5 | 5 | 5 | 5 | 59 |
| EXP2025/011869 | P2100116I | MANCOMUNIDAD DE MUNICIPIOS BETURIA. | T2 | 10 | 7 | 1 | 3 | 10 | 10 | 10 | 10 | 5 | 0 | 5 | 0 | 5 | 76 |
| EXP2025/011889 | P3802600A | AYUNTAMIENTO DE LA OROTAVA. | T2 | 10 | 0 | 1 | 3 | 10 | 10 | 10 | 10 | 5 | 0 | 5 | 5 | 5 | 74 |
| EXP2025/012001 | P1401300G | AYUNTAMIENTO DE CABRA. | T2 | 5 | 0 | 1 | 3 | 10 | 0 | 10 | 10 | 5 | 5 | 0 | 5 | 5 | 59 |
| EXP2025/012119 | P0805000G | AJUNTAMENT DE CASTELLAR DEL VALLu00C8S. | T2 | 7 | 0 | 1 | 3 | 10 | 0 | 10 | 10 | 0 | 0 | 5 | 5 | 5 | 56 |
| EXP2025/012176 | P4105300J | AYUNTAMIENTO DE LEBRIJA. | T2 | 10 | 0 | 1 | 3 | 10 | 0 | 10 | 10 | 5 | 0 | 0 | 0 | 5 | 54 |
| EXP2025/012374 | P2800900I | AYUNTAMIENTO DE ALGETE. | T2 | 10 | 0 | 1 | 3 | 0 | 0 | 10 | 10 | 5 | 5 | 5 | 5 | 5 | 59 |
| EXP2025/012689 | P1100600D | AYUNTAMIENTO DE ARCOS DE LA FRONTERA. | T2 | 10 | 0 | 1 | 3 | 10 | 0 | 10 | 10 | 0 | 5 | 5 | 5 | 5 | 64 |
| EXP2025/012806 | P3303500G | AYUNTAMIENTO DE LLANERA. | T2 | 10 | 0 | 1 | 3 | 10 | 0 | 0 | 10 | 5 | 5 | 5 | 5 | 5 | 59 |
| EXP2025/010568 | P0615300A | AYUNTAMIENTO DE VILLANUEVA DE LA SERENA. | T2 | 10 | 0 | 1 | 3 | 10 | 10 | 10 | 10 | 5 | 5 | 5 | 5 | 5 | 79 |
| EXP2025/010766 | P4107700I | AYUNTAMIENTO DE LA PUEBLA DE CAZALLA. | T2 | 10 | 0 | 1 | 3 | 0 | 0 | 10 | 10 | 5 | 0 | 5 | 5 | 5 | 54 |
| EXP2025/010865 | P4102000I | AYUNTAMIENTO DE LAS CABEZAS DE SAN JUAN. | T2 | 10 | 0 | 1 | 3 | 0 | 0 | 10 | 10 | 5 | 5 | 5 | 5 | 5 | 59 |
| EXP2025/010952 | P3003800D | AYUNTAMIENTO DE LAS TORRES DE COTILLAS. | T2 | 5 | 0 | 0 | 3 | 0 | 0 | 10 | 10 | 5 | 5 | 5 | 5 | 5 | 53 |
| EXP2025/010975 | P0705500G | AJUNTAMENT DE SANTA MARGALIDA. | T2 | 10 | 0 | 1 | 3 | 10 | 10 | 10 | 10 | 0 | 0 | 5 | 5 | 0 | 64 |
| EXP2025/011037 | P4107900E | AYUNTAMIENTO DE LA PUEBLA DEL RIO. | T2 | 10 | 0 | 1 | 3 | 10 | 0 | 10 | 0 | 5 | 5 | 5 | 5 | 5 | 59 |
| EXP2025/011073 | P4101100H | AYUNTAMIENTO DE EL ARAHAL. | T2 | 10 | 0 | 1 | 3 | 10 | 10 | 10 | 10 | 0 | 0 | 5 | 5 | 0 | 64 |
| EXP2025/011121 | P3604200J | CONCELLO DE PONTEAREAS. | T2 | 10 | 0 | 1 | 3 | 10 | 0 | 10 | 10 | 5 | 5 | 5 | 5 | 5 | 69 |
| EXP2025/011145 | P0305900C | AYUNTAMIENTO DE CREVILLENT. | T2 | 7 | 0 | 1 | 3 | 10 | 0 | 10 | 10 | 5 | 5 | 5 | 5 | 5 | 66 |
| EXP2025/011159 | P0810500I | AJUNTAMENT DE LLINARS DEL VALLES. | T2 | 10 | 0 | 1 | 3 | 10 | 0 | 10 | 10 | 5 | 5 | 0 | 5 | 0 | 59 |
| EXP2025/011944 | P1815600J | AYUNTAMIENTO DE PELIGROS. | T2 | 10 | 0 | 1 | 3 | 10 | 0 | 0 | 10 | 5 | 5 | 5 | 0 | 5 | 54 |
| EXP2025/012046 | P0823000E | AJUNTAMENT DE PREMIÀ DE DALT. | T2 | 10 | 0 | 1 | 3 | 10 | 0 | 10 | 0 | 5 | 5 | 0 | 5 | 5 | 54 |
| EXP2025/010387 | P1307900I | AYUNTAMIENTO DE LA SOLANA. | T2 | 10 | 0 | 1 | 3 | 10 | 0 | 10 | 10 | 5 | 5 | 5 | 5 | 5 | 69 |
| EXP2025/010893 | P2300900D | AYUNTAMIENTO DE BAEZA. | T2 | 10 | 0 | 1 | 3 | 0 | 0 | 0 | 0 | 5 | 5 | 0 | 5 | 5 | 34 |
| EXP2025/010908 | P3200900C | CONCELLO DE BARBADAS. | T2 | 10 | 0 | 1 | 3 | 10 | 0 | 10 | 10 | 5 | 5 | 5 | 0 | 0 | 59 |
| EXP2025/011970 | P2817600F | AYUNTAMIENTO DE VILLANUEVA DE LA CAÑADA. | T2 | 10 | 0 | 1 | 3 | 10 | 0 | 10 | 10 | 5 | 5 | 5 | 5 | 5 | 69 |
| EXP2025/011844 | P0802300D | AJUNTAMENT DE BIGUES I RIELLS DEL FAI. | T2 | 10 | 0 | 1 | 3 | 10 | 0 | 0 | 10 | 5 | 5 | 5 | 5 | 5 | 59 |
| EXP2025/011985 | P1812800I | AYUNTAMIENTO DE MARACENA. | T2 | 10 | 0 | 1 | 3 | 10 | 10 | 10 | 10 | 0 | 0 | 5 | 5 | 5 | 69 |
| EXP2025/011641 | P4614700E | AJUNTAMENT DE XATIVA. | T2 | 10 | 0 | 1 | 3 | 10 | 0 | 10 | 10 | 5 | 5 | 5 | 5 | 5 | 69 |
| EXP2025/012069 | P3907300B | AYUNTAMIENTO DE SANTA CRUZ DE BEZANA. | T2 | 5 | 0 | 1 | 3 | 0 | 0 | 0 | 10 | 5 | 5 | 5 | 5 | 5 | 44 |
| EXP2025/011555 | P3300200G | AYUNTAMIENTO DE ALLER. | T2 | 10 | 0 | 1 | 3 | 0 | 0 | 10 | 10 | 5 | 0 | 5 | 5 | 5 | 54 |
| EXP2025/009650 | P4605100I | AYUNTAMIENTO DE BENAGUASIL. | T2 | 10 | 0 | 1 | 3 | 10 | 10 | 10 | 10 | 5 | 5 | 5 | 5 | 5 | 79 |
| EXP2025/011067 | P4812400B | AYUNTAMIENTO DE ERANDIO. | T2 | 10 | 0 | 1 | 3 | 10 | 0 | 10 | 10 | 0 | 5 | 5 | 5 | 5 | 64 |
| EXP2025/012107 | P4803400C | DURANGOKO UDALA / AYUNTAMIENTO DE DURANGO. | T2 | 7 | 0 | 1 | 3 | 10 | 0 | 10 | 10 | 0 | 5 | 5 | 5 | 5 | 61 |
| EXP2025/011321 | P0829600F | AYUNTAMIENTO DE VALLIRANA. | T2 | 10 | 0 | 1 | 3 | 10 | 10 | 10 | 10 | 5 | 5 | 5 | 5 | 0 | 74 |
| EXP2025/011942 | P3602900G | CONCELLO DE MOAÑA. | T2 | 7 | 0 | 1 | 3 | 0 | 0 | 10 | 10 | 5 | 5 | 0 | 5 | 0 | 46 |
| EXP2025/012021 | P4618600C | AJUNTAMENT DONTINYENT. | T2 | 10 | 0 | 1 | 3 | 10 | 0 | 10 | 10 | 5 | 5 | 5 | 5 | 5 | 69 |
| EXP2025/011781 | P0800900C | AYUNTAMIENTO DE ARGENTONA. | T2 | 10 | 0 | 1 | 3 | 10 | 0 | 10 | 10 | 0 | 5 | 5 | 0 | 0 | 54 |
| EXP2025/012683 | P0402900E | AYUNTAMIENTO DE BERJA. | T2 | 10 | 0 | 1 | 3 | 10 | 10 | 10 | 10 | 5 | 5 | 5 | 0 | 5 | 74 |
| EXP2025/011438 | P1712500F | AJUNTAMENT DE PALAMÓS. | T2 | 7 | 0 | 2 | 3 | 10 | 0 | 10 | 10 | 5 | 5 | 5 | 5 | 5 | 67 |
| EXP2025/011398 | P3303700C | AYUNTAMIENTO DE MIERES. | T2 | 10 | 0 | 1 | 3 | 10 | 0 | 10 | 10 | 5 | 5 | 5 | 5 | 5 | 69 |
| EXP2025/010817 | P0608800I | AYUNTAMIENTO DE MONTIJO. | T2 | 7 | 0 | 1 | 3 | 10 | 0 | 10 | 10 | 5 | 5 | 5 | 5 | 5 | 66 |
| EXP2025/011191 | P2806500A | AYUNTAMIENTO DE GETAFE. | T3 | 7 | 0 | 1 | 3 | 10 | 0 | 10 | 10 | 5 | 5 | 5 | 5 | 5 | 66 |
| EXP2025/011194 | P2905400D | AYUNTAMIENTO DE FUENGIROLA. | T3 | 7 | 0 | 1 | 3 | 10 | 0 | 10 | 10 | 5 | 5 | 5 | 5 | 5 | 66 |
| EXP2025/011322 | P4109100J | AYUNTAMIENTO DE SEVILLA. | T3 | 10 | 0 | 1 | 3 | 10 | 0 | 10 | 10 | 5 | 5 | 5 | 0 | 5 | 64 |
| EXP2025/011093 | P4516600F | AYUNTAMIENTO DE TALAVERA DE LA REINA. | T3 | 10 | 0 | 1 | 3 | 10 | 0 | 0 | 0 | 0 | 5 | 0 | 0 | 0 | 29 |
| EXP2025/011536 | P0106800F | VITORIA-GASTEIZKO UDALA-AYUNTAMIENTO DE VITORIA-GASTEIZ. | T3 | 10 | 0 | 1 | 3 | 10 | 10 | 10 | 10 | 5 | 5 | 5 | 5 | 0 | 74 |
| EXP2025/012019 | P0306600H | AYUNTAMIENTO DE ELDA. | T3 | 10 | 0 | 1 | 3 | 10 | 10 | 10 | 10 | 5 | 5 | 5 | 5 | 5 | 79 |
| EXP2025/012030 | P3003000A | AYUNTAMIENTO DE MURCIA. | T3 | 10 | 0 | 1 | 3 | 10 | 0 | 10 | 10 | 5 | 5 | 5 | 5 | 0 | 64 |
| EXP2025/012040 | P1102200A | AYUNTAMIENTO DE LA LINEA. | T3 | 10 | 0 | 1 | 3 | 10 | 0 | 10 | 10 | 5 | 0 | 5 | 5 | 5 | 64 |
| EXP2025/012096 | P0601500B | AYUNTAMIENTO DE BADAJOZ. | T3 | 10 | 7 | 1 | 3 | 0 | 0 | 10 | 10 | 5 | 5 | 5 | 5 | 5 | 66 |
| EXP2025/012220 | P2902500D | AYUNTAMIENTO DE BENALMADENA. | T3 | 10 | 0 | 1 | 3 | 10 | 0 | 10 | 10 | 5 | 5 | 5 | 5 | 5 | 69 |
| EXP2025/012229 | P2409100A | AYUNTAMIENTO DE LEON. | T3 | 10 | 0 | 1 | 3 | 10 | 0 | 10 | 10 | 5 | 5 | 5 | 5 | 5 | 69 |
| EXP2025/011123 | P6400601H | MANCOMUNIDAD DE MUNICIPIOS DE LOS PEDROCHES. | T3 | 10 | 10 | 1 | 3 | 0 | 0 | 10 | 10 | 5 | 0 | 5 | 5 | 0 | 59 |
| EXP/100066 | P4312500D | AJUNTAMENT DE REUS. | T3 | 10 | 0 | 1 | 3 | 10 | 0 | 10 | 10 | 5 | 5 | 5 | 5 | 0 | 64 |
| EXP2025/011900 | P0816800G | AJUNTAMENT DEL PRAT DE LLOBREGAT. | T3 | 10 | 0 | 1 | 3 | 10 | 0 | 10 | 10 | 5 | 5 | 5 | 5 | 5 | 69 |
| EXP2025/011232 | P2004900C | IRUNGO UDALA / AYUNTAMIENTO DE IRUN. | T3 | 10 | 0 | 1 | 3 | 10 | 10 | 10 | 10 | 5 | 5 | 5 | 5 | 5 | 79 |
| EXP2025/011367 | P0818300F | AJUNTAMENT DE RUBI. | T3 | 10 | 0 | 1 | 3 | 10 | 0 | 10 | 10 | 5 | 5 | 5 | 5 | 5 | 69 |
| EXP2025/011382 | P3907500G | AYUNTAMIENTO DE SANTANDER. | T3 | 10 | 0 | 1 | 3 | 10 | 0 | 10 | 10 | 5 | 5 | 5 | 5 | 5 | 69 |
| EXP2025/011431 | P0501900E | AYUNTAMIENTO DE AVILA. | T3 | 10 | 0 | 1 | 3 | 10 | 0 | 10 | 10 | 5 | 5 | 5 | 5 | 5 | 69 |
| EXP2025/011694 | P3300400C | AYUNTAMIENTO DE AVILu00C9S. | T3 | 10 | 0 | 1 | 3 | 10 | 0 | 10 | 10 | 0 | 5 | 5 | 0 | 5 | 59 |
| EXP2025/011731 | P4022600C | AYUNTAMIENTO DE SEGOVIA. | T3 | 10 | 0 | 1 | 3 | 0 | 0 | 10 | 10 | 5 | 5 | 5 | 5 | 5 | 59 |
| EXP2025/011828 | P2908200E | AYUNTAMIENTO RINCON DE LA VICTORIA. | T3 | 10 | 0 | 1 | 3 | 10 | 0 | 10 | 10 | 5 | 0 | 5 | 5 | 0 | 59 |
| EXP2025/011836 | P2909401H | MANCOMUNIDAD MUNICIPIOS COSTA SOL AXARQUIA. | T3 | 10 | 10 | 1 | 3 | 0 | 0 | 10 | 10 | 5 | 5 | 5 | 5 | 0 | 64 |
| EXP2025/011935 | P0805500F | AYUNTAMIENTO DE CASTELLDEFELS. | T3 | 10 | 0 | 1 | 3 | 10 | 0 | 10 | 10 | 5 | 5 | 5 | 5 | 5 | 69 |
| EXP2025/012012 | P3727600C | AYUNTAMIENTO DE SALAMANCA. | T3 | 7 | 0 | 1 | 3 | 10 | 0 | 10 | 10 | 5 | 5 | 5 | 5 | 5 | 66 |
| EXP2025/012121 | P1213500J | AYUNTAMIENTO DE VILA-REAL. | T3 | 10 | 0 | 1 | 3 | 10 | 10 | 10 | 10 | 5 | 5 | 5 | 5 | 0 | 74 |
| EXP2025/012135 | P3802300H | AYUNTAMIENTO DE SAN CRISTOBAL DE LA LAGUNA. | T3 | 10 | 0 | 1 | 3 | 10 | 10 | 10 | 10 | 5 | 5 | 5 | 0 | 5 | 74 |
| EXP2025/012168 | P4619200A | AYUNTAMIENTO DE PATERNA. | T3 | 10 | 0 | 1 | 3 | 0 | 0 | 10 | 0 | 5 | 0 | 0 | 5 | 0 | 34 |
| EXP2025/012568 | P2812300H | AYUNTAMIENTO DE RIVAS VACIAMADRID. | T3 | 0 | 0 | 1 | 3 | 10 | 0 | 10 | 0 | 0 | 0 | 0 | 5 | 0 | 29 |
| EXP2025/011235 | P2305000H | EXCMO AYUNTAMIENTO DE JAEN. | T3 | 10 | 0 | 2 | 3 | 10 | 10 | 10 | 10 | 5 | 5 | 5 | 5 | 5 | 80 |
| EXP2025/011410 | P1507900G | CONCELLO DE SANTIAGO DE COMPOSTELA. | T3 | 10 | 0 | 1 | 3 | 10 | 0 | 10 | 10 | 5 | 5 | 5 | 5 | 5 | 69 |
| EXP2025/011420 | P5390001E | MANCOMUNIDAD DE LALACANTI. | T3 | 10 | 5 | 1 | 3 | 10 | 0 | 10 | 10 | 5 | 5 | 5 | 5 | 5 | 74 |
| EXP2025/011517 | P1103100B | AYUNTAMIENTO DE SAN FERNANDO. | T3 | 5 | 0 | 1 | 3 | 10 | 0 | 10 | 10 | 5 | 5 | 0 | 5 | 5 | 59 |
| EXP2025/011592 | P3412000F | AYUNTAMIENTO DE PALENCIA. | T3 | 10 | 0 | 1 | 3 | 10 | 10 | 10 | 10 | 5 | 5 | 5 | 5 | 5 | 79 |
| EXP2025/011623 | P2810600C | AYUNTAMIENTO DE PARLA. | T3 | 10 | 0 | 1 | 3 | 10 | 0 | 10 | 10 | 5 | 5 | 5 | 5 | 5 | 69 |
| EXP2025/011764 | P0812000H | AJUNTAMENT DE MATARu00D3. | T3 | 10 | 0 | 1 | 3 | 10 | 0 | 10 | 10 | 0 | 5 | 5 | 5 | 5 | 64 |
| EXP2025/011819 | P1003800H | AYUNTAMIENTO DE CACERES. | T3 | 10 | 0 | 1 | 3 | 10 | 0 | 10 | 10 | 5 | 5 | 5 | 5 | 5 | 69 |
| EXP2025/011847 | P0818600I | AJUNTAMENT DE SABADELL. | T3 | 10 | 0 | 1 | 3 | 10 | 0 | 10 | 10 | 5 | 5 | 5 | 5 | 5 | 69 |
| EXP2025/012117 | P0608300J | AYUNTAMIENTO DE MERIDA. | T3 | 10 | 0 | 1 | 3 | 10 | 0 | 10 | 10 | 5 | 0 | 5 | 5 | 5 | 64 |
| EXP2025/012204 | P4518100E | AGRUPACION DEL AYUNTAMIENTO DE VALMOJADO. | T3 | 10 | 10 | 1 | 3 | 10 | 10 | 10 | 10 | 5 | 5 | 5 | 5 | 5 | 89 |
| EXP2025/012876 | P1600000B | DIPUTACIëN PROVINCIA DE CUENCA. | T3 | 10 | 10 | 1 | 3 | 10 | 0 | 0 | 10 | 5 | 5 | 5 | 5 | 5 | 69 |
| EXP2025/012906 | P4718700J | AYUNTAMIENTO DE VALLADOLID. | T3 | 10 | 0 | 1 | 3 | 10 | 0 | 10 | 10 | 5 | 5 | 5 | 5 | 5 | 69 |
| EXP2025/013187 | P0827900B | AYUNTAMIENTO DE TERRASSA. | T3 | 7 | 0 | 1 | 3 | 10 | 0 | 10 | 10 | 5 | 5 | 5 | 5 | 5 | 66 |
| EXP2025/014661 | P3302400A | AYUNTAMIENTO DE GIJON. | T3 | 10 | 0 | 1 | 3 | 10 | 0 | 10 | 10 | 5 | 5 | 5 | 5 | 5 | 69 |
| EXP2025/011028 | P1103200J | AYUNTAMIENTO DE SANLUCAR DE BARRAMEDA. | T3 | 10 | 0 | 1 | 3 | 10 | 10 | 10 | 10 | 5 | 5 | 5 | 5 | 5 | 79 |
| EXP2025/011199 | P2801300A | AYUNTAMIENTO DE ARANJUEZ. | T3 | 10 | 0 | 1 | 3 | 10 | 0 | 10 | 10 | 5 | 5 | 5 | 5 | 5 | 69 |
| EXP2025/011319 | P2305500G | EXCMO. AYUNTAMIENTO DE LINARES. | T3 | 10 | 0 | 1 | 3 | 10 | 10 | 10 | 10 | 5 | 5 | 5 | 5 | 5 | 79 |
| EXP2025/011437 | P4624600E | AYUNTAMIENTO DE TORRENT. | T3 | 0 | 0 | 1 | 3 | 10 | 0 | 10 | 10 | 5 | 5 | 5 | 5 | 5 | 59 |
| EXP2025/011486 | P1102000E | AYUNTAMIENTO DE JEREZ DE LA FRONTERA. | T3 | 10 | 0 | 1 | 3 | 10 | 0 | 10 | 10 | 5 | 5 | 5 | 5 | 5 | 69 |
| EXP2025/011551 | P0809500B | AJUNTAMENT DE GRANOLLERS. | T3 | 10 | 0 | 1 | 3 | 10 | 0 | 10 | 10 | 5 | 5 | 5 | 5 | 5 | 69 |
| EXP2025/011553 | P0401300I | AYUNTAMIENTO DE ALMERIA. | T3 | 10 | 0 | 2 | 3 | 10 | 0 | 10 | 10 | 5 | 5 | 5 | 5 | 5 | 70 |
| EXP2025/011716 | P2217300I | AYUNTAMIENTO DE HUESCA. | T3 | 10 | 0 | 1 | 3 | 10 | 0 | 10 | 10 | 5 | 5 | 5 | 5 | 5 | 69 |
| EXP2025/011825 | P3001600J | AYUNTAMIENTO DE CARTAGENA. | T3 | 10 | 0 | 1 | 3 | 10 | 0 | 10 | 10 | 5 | 5 | 5 | 0 | 5 | 64 |
| EXP2025/011858 | P4801700H | AYUNTAMIENTO DE BARAKALDO - BARAKALDOKO UDALA. | T3 | 10 | 0 | 1 | 3 | 10 | 0 | 10 | 10 | 5 | 5 | 5 | 5 | 5 | 69 |
| EXP2025/011982 | P4516900J | AYUNTAMIENTO DE TOLEDO. | T3 | 10 | 0 | 1 | 3 | 10 | 0 | 10 | 10 | 5 | 5 | 5 | 5 | 5 | 69 |
| EXP2025/012150 | P2804900E | AYUNTAMIENTO DE COSLADA. | T3 | 10 | 0 | 1 | 3 | 10 | 0 | 10 | 10 | 5 | 5 | 5 | 5 | 5 | 69 |
| EXP2025/012425 | P0830200B | Ayuntamiento de Viladecans. | T3 | 10 | 0 | 1 | 3 | 10 | 0 | 10 | 10 | 5 | 5 | 5 | 5 | 5 | 69 |
| EXP2025/012469 | P3502000G | AYUNTAMIENTO DE SAN BARTOLOME DE TIRAJANA. | T3 | 10 | 0 | 1 | 3 | 10 | 0 | 10 | 10 | 5 | 5 | 5 | 5 | 5 | 69 |
| EXP2025/012872 | P4802400D | AYUNTAMIENTO DE BILBAO. | T3 | 10 | 0 | 1 | 3 | 10 | 0 | 0 | 10 | 5 | 5 | 5 | 5 | 5 | 59 |
| EXP/99793 | P0309900I | AYUNTAMIENTO DE ORIHUELA. | T3 | 10 | 0 | 1 | 3 | 0 | 0 | 10 | 10 | 5 | 5 | 5 | 5 | 5 | 59 |
| EXP2025/011005 | P3002700G | AYUNTAMIENTO DE MOLINA DE SEGURA. | T3 | 7 | 0 | 1 | 3 | 10 | 0 | 10 | 10 | 5 | 5 | 5 | 5 | 5 | 66 |
| EXP2025/011109 | P5030300G | AYUNTAMIENTO DE ZARAGOZA. | T3 | 10 | 0 | 1 | 3 | 10 | 0 | 10 | 10 | 5 | 5 | 5 | 0 | 0 | 59 |
| EXP2025/011256 | P2515100B | AJUNTAMENT DE LLEIDA. | T3 | 10 | 0 | 1 | 3 | 10 | 0 | 10 | 10 | 5 | 5 | 5 | 5 | 5 | 69 |
| EXP2025/011732 | P0306500J | AYUNTAMIENTO ELCHE. | T3 | 10 | 0 | 1 | 3 | 10 | 0 | 0 | 10 | 5 | 5 | 5 | 0 | 5 | 54 |
| EXP2025/011746 | P2804500C | AYUNTAMIENTO DE COLMENAR VIEJO. | T3 | 5 | 0 | 1 | 3 | 10 | 0 | 10 | 10 | 5 | 5 | 5 | 5 | 5 | 64 |
| EXP2025/012075 | P1808900C | AYUNTAMIENTO DE GRANADA. | T3 | 10 | 0 | 1 | 3 | 10 | 0 | 10 | 10 | 5 | 5 | 5 | 5 | 5 | 69 |
| EXP/99605 | P2411800B | AYUNTAMIENTO DE PONFERRADA. | T3 | 10 | 0 | 1 | 3 | 0 | 0 | 10 | 10 | 5 | 5 | 5 | 5 | 5 | 59 |
| EXP2025/010016 | P0410400F | AYUNTAMIENTO DE EL EJIDO. | T3 | 10 | 0 | 1 | 3 | 10 | 10 | 10 | 10 | 5 | 5 | 5 | 5 | 5 | 79 |
| EXP2025/011164 | P1303400D | AYUNTAMIENTO DE CIUDAD REAL. | T3 | 10 | 0 | 1 | 3 | 10 | 0 | 10 | 10 | 5 | 5 | 5 | 5 | 5 | 69 |
| EXP2025/010618 | P0701100J | AJUNTAMENT DE CALVIA. | T3 | 10 | 0 | 1 | 3 | 10 | 10 | 10 | 10 | 5 | 5 | 5 | 5 | 5 | 79 |
| EXP2025/010837 | P3002400D | AYUNTAMIENTO DE LORCA. | T3 | 10 | 0 | 1 | 3 | 0 | 0 | 10 | 10 | 5 | 0 | 5 | 5 | 5 | 54 |
| EXP2025/011785 | P4930500F | AYUNTAMIENTO DE ZAMORA. | T3 | 10 | 0 | 1 | 3 | 10 | 0 | 10 | 10 | 5 | 5 | 5 | 5 | 0 | 64 |
| EXP2025/012670 | P4315000B | AYUNTAMIENTO DE TARRAGONA. | T3 | 10 | 0 | 1 | 3 | 10 | 0 | 10 | 10 | 5 | 5 | 5 | 5 | 0 | 64 |
Proyectos subvencionados del tramo 1 en relación con la disposición duodécima de la resolución de convocatoria (proyectos presentados por entidades locales con una población igual o inferior a 10.000 habitantes)
Solicitudes propuestas como subvencionables
Proyectos subvencionados del tramo 2 en relación con la disposición duodécima de la resolución de convocatoria (proyectos presentados por entidades locales con una población superior a 10.000 habitantes e inferior o igual a 50.000 habitantes)
Solicitudes admitidas que adquieren la condición de beneficiarias tramo 2
Proyectos subvencionados del tramo 3 en relación con la disposición duodécima de la resolución de convocatoria (proyectos presentados por entidades locales con una población superior a 50.000 habitantes)
Solicitudes admitidas que adquieren la condición de beneficiarias tramo 3
| NIF | Expediente | Entidad local | Criterios de exclusión |
|---|---|---|---|
| G13980404 | EXP2025/011001 | ASOC EL CAPITAN ANIMAL PROJECT. | 1 |
| G20079703 | EXP2025/012102 | DEBABARRENA ESKUALDEKO MANKOMUNITATEA. | 15, 18, 38 |
| G66791922 | EXP2025/011670 | ASSOCIACIO PETJADES GATS I GOSSOS DE PUIG-REIG. | 1 |
| P0103000F | EXP2025/011588 | LABASTIDAKO UDALA - AYUNTAMIENTO DE LABASTIDA. | 10, 15, 18 |
| P0103300J | EXP2025/011150 | AYUNTAMIENTO DE LAGUARDIA - LAGUARDIAKO UDALA. | 12, 16, 18 |
| P0104300I | EXP2025/011579 | AYUNTAMIENTO DE IRUÑA DE OCA. | 9 |
| P0106300G | EXP2025/011246 | AYUNTAMIENTO DE VALDEGOVIA. | 9, 15, 18, 20 |
| P0107100J | EXP2025/010834 | ZAMBRANAKO UDALA - AYUNTAMIENTO DE ZAMBRANA. | 10, 15, 18 |
| P0200500G | EXP2025/011923 | AYUNTAMIENTO DE ALBOREA. | 10, 14 |
| P0203400G | EXP2025/010924 | AYUNTAMIENTO DE FUENTEALBILLA. | 10, 20, 22, 24, 26, 28 |
| P0203700J | EXP2025/012438 | AYUNTAMIENTO DE HELLIN. | 10, 12, 16 |
| P0308100G | EXP2025/011069 | AJUNTAMENT DE XALO. | 9 |
| P0308800B | EXP2025/011113 | AYUNTAMIENTO DE MONFORTE DEL CID. | 18 |
| P0309300B | EXP2025/012130 | AYUNTAMIENTO DE NOVELDA. | 20 |
| P0310100C | EXP2025/011011 | AJUNTAMENT DE PEDREGUER. | 9 |
| P0310500D | EXP2025/012126 | AYUNTAMIENTO DE PINOSO. | 9,14 |
| P0312900D | EXP2025/011940 | AYUNTAMIENTO DE TIBI. | 10 |
| P0313700G | EXP2025/010755 | AYUNTAMIENTO DE LA VALL DE LAGUAR. | 10, 14, 15, 18 |
| P0402700I | EXP2025/011673 | AYUNTAMIENTO DE BENIZALON. | 10, 12, 15, 16, 18, 20 |
| P0403800F | EXP2025/013061 | AYUNTAMIENTO DE DALIAS. | 4 |
| P0406800C | EXP2025/012016 | AYUNTAMIENTO OLULA DE CASTRO. | 24 |
| P0407200E | EXP2025/012259 | AYUNTAMIENTO DE PARTALOA. | 4 |
| P0407400A | EXP2025/013181 | AYUNTAMIENTO DE PECHINA. | 10 |
| P0407600F | EXP2025/011687 | AYUNTAMIENTO DE PURCHENA. | 9, 20 |
| P0408200D | EXP2025/013604 | AYUNTAMIENTO DE SENES. | 10 |
| P0409500F | EXP2025/013519 | AYUNTAMIENTO DE ULEILA DEL CAMPO. | 24 |
| P0409700B | EXP2025/010728 | AYUNTAMIENTO DE VELEFIQUE. | 9, 14 |
| P0410100B | EXP2025/011864 | AYUNTAMIENTO DE VIATOR. | 10, 14 |
| P0505700E | EXP2025/010062 | AYUNTAMIENTO DE CEBREROS. | 9, 15 |
| P0513200F | EXP2025/010767 | AYUNTAMIENTO DE MOMBELTRAN. | 15 |
| P0516500F | EXP2025/011355 | AYUNTAMIENTO NAVARREDONDA DE GREDOS. | 12, 16, 18 |
| P0516600D | EXP2025/012836 | AYUNTAMIENTO DE NAVARREDONDILLA. | 10, 14 |
| P0519500C | EXP2025/011380 | AYUNTAMIENTO DE RIOFRIO. | 9, 12, 15, 16, 18, 24 |
| P0521200F | EXP2025/012837 | AYUNTAMIENTO DE SAN JUAN DEL MOLINILLO. | 10, 12, 16, 18, 20, 22, 24, 26, 28 |
| P0522000I | EXP2025/010967 | AYUNTAMIENTO SAN PEDRO DEL ARROYO. | 10 |
| P0602800E | EXP2025/012224 | AYUNTAMIENTO DE CAMPANARIO. | 4 |
| P0607400I | EXP2025/011167 | AYUNTAMIENTO DE LLERENA. | 15 |
| P0608000F | EXP2025/011952 | AYUNTAMIENTO DE MEDELLIN. | 16 |
| P0610300F | EXP2025/009971 | AYUNTAMIENTO DE PUEBLA DE LA CALZADA. | 9, 18 |
| P0612300D | EXP2025/010879 | AYUNTAMIENTO DE SAN VICENTE DE ALCANTARA. | 10, 12, 16, 18, 20, 22, 24, 26, 28 |
| P0701400D | EXP2025/010868 | AJUNTAMENT DE CAPDEPERA. | 14 |
| P0702700F | EXP2025/011798 | AJUNTAMENT DINCA. | 10, 12 |
| P0703900A | EXP2025/012808 | AYUNTAMIENTO DE MURO. | 6, 12, 14 |
| P0704000I | EXP2025/011692 | AJUNTAMENT DE PALMA. | 10, 12, 14, 20 |
| P0704700D | EXP2025/012022 | AJUNTAMENT DE SENCELLES. | 9, 14, 20 |
| P0704900J | EXP2025/012200 | AJUNTAMENT DE SANT JOAN. | 35 |
| P0705600E | EXP2025/011332 | AJUNTAMENT DE SANTA MARIA DEL CAMI. | 35 |
| P0705900I | EXP2025/012450 | AYUNTAMIENTO DE SES SALINES. | 10, 18, 22 |
| P0706100E | EXP2025/011388 | AJUNTAMENT DE SOLLER. | 9, 14 |
| P0800100J | EXP2025/011792 | AYUNTAMIENTO DE ABRERA. | 10, 20 |
| P0800800E | EXP2025/011532 | AYUNTAMIENTO DE ARGENSOLA. | 9 |
| P0801200G | EXP2025/012703 | AJUNTAMENT DE AVINYÓ. | 9, 35 |
| P0803100G | EXP2025/011409 | AJUNTAMENT DE CALAF. | 14, 35 |
| P0804300B | EXP2025/012839 | AYUNTAMIENTO DE CAPELLADES. | 9, 24, 26 |
| P0805400I | EXP2025/010577 | AJUNTAMENT DE CASTELLCIR. | 10, 14, 22, 24, 26, 28, 35 |
| P0806500E | EXP2025/011263 | AJUNTAMENT DE CASTELLVI DE ROSANES. | 9, 11, 13, 17, 19, 21, 23, 25, 27 |
| P0806600C | EXP2025/011481 | AJUNTAMENT DE CENTELLES. | 16, 20, 22, 24, 26, 28, 35 |
| P0809000C | EXP2025/013019 | AYUNTAMIENTO DE GELIDA. | 14 |
| P0810100H | EXP2025/011808 | AJUNTAMENT D´IGUALADA. | 35 |
| P0811400A | EXP2025/011236 | AJUNTAMENT DE MARTORELLES. | 9 |
| P0812300B | EXP2025/012116 | AJUNTAMENT DE MOLLET DEL VALLES. | 20 |
| P0813500F | EXP2025/013563 | AYUNTAMIENTO DE MONTORNES DEL VALLES. | 10 |
| P0815200A | EXP2025/012143 | AJUNTAMENT DORRIUS. | 20, 35 |
| P0820800A | EXP2025/011429 | AJUNTAMENT DE SANT FOST DE CAMPSENTELLES. | 35 |
| P0820900I | EXP2025/011807 | AJUNTAMENT DE SANT FELIU DE CODINES. | 9, 16, 20 |
| P0823500D | EXP2025/012458 | AYUNTAMIENTO DE SANT POL DE MAR. | 10 |
| P0824600A | EXP2025/011287 | AJUNTAMENT DE SANTA EUGENIA DE BERGA. | 15 |
| P0824800G | EXP2025/011722 | AJUNTAMENT DE SANTA EULÀLIA DE RONÇANA. | 9 |
| P0826500A | EXP2025/012185 | AJUNTAMENT DE SANT VICENT DE TORELLO. | 9, 20 |
| P0827600H | EXP2025/012140 | AJUNTAMENT DE TAGAMANENT. | 9, 17 |
| P0828600G | EXP2025/011222 | AJUNTAMENT DE LA TORRE DE CLARAMUNT. | 35 |
| P0942200G | EXP2025/011821 | AYUNTAMIENTO DE VALLE DE MENA. | 9, 12, 16, 18 |
| P0947300J | EXP2025/011470 | AYUNTAMIENTO DE VILLARCAYO DE MERINDAD DE CASTILLA LA VIEJA. | 10 |
| P1005000C | EXP2025/011522 | AYUNTAMIENTO CASAR DE CACERES. | 10 |
| P1006800E | EXP2025/011969 | AYUNTAMIENTO CORIA. | 10, 12, 16, 18, 20, 22, 24, 26, 28 |
| P1011200A | EXP2025/012903 | AYUNTAMIENTO DE LOGROSAN. | 9, 12, 16, 18, 20 |
| P1019400I | EXP2025/012663 | AYUNTAMIENTO DE TORREJON EL RUBIO. | 10, 12, 16, 18, 22 |
| P1019600D | EXP2025/010357 | AYUNTAMIENTO DE TORREMOCHA. | 9, 20 |
| P1101500E | EXP2025/011465 | AYUNTAMIENTO DE CHICLANA DE LA FRA. | 9, 12, 14, 16, 18, 22, 24, 26, 28 |
| P1103800G | EXP2025/010164 | AYUNTAMIENTO DE UBRIQUE. | 9, 15, 26, 28 |
| P1203300G | EXP2025/011440 | AYUNTAMIENTO DE CABANES. | 9,16 |
| P1213600H | EXP2025/011183 | AJUNTAMENT DE LA VILAVELLA. | 10 |
| P1214100H | EXP2025/011596 | AYUNTAMIENTO DE ZORITA DEL MAESTRAZGO. | 11, 22 |
| P1301300H | EXP2025/010284 | AYUNTAMIENTO DE ALMAGRO. | 15, 22 |
| P1302300G | EXP2025/011608 | AYUNTAMIENTO DE BOLAÑOS DE CALATRAVA. | 10 |
| P1303200H | EXP2025/011939 | AYUNTAMIENTO DE CARRIZOSA. | 9, 18 |
| P1304400C | EXP2025/011400 | AYUNTAMIENTO DE FUENTE EL FRESNO. | 14, 20 |
| P1306600F | EXP2025/012435 | AYUNTAMIENTO DE POZUELO DE CALATRAVA. | 9, 12, 16 |
| P1309300J | EXP2025/010769 | AYUNTAMIENTO DE VVA DE LOS INFANTES. | 15 |
| P1401800F | EXP2025/012124 | AYUNTAMIENTO DE EL CARPIO. | 9,15 |
| P1403000A | EXP2025/011895 | AYUNTAMIENTO DE FUENTE PALMERA. | 10 |
| P1405700D | EXP2025/012083 | AYUNTAMIENTO DE LA RAMBLA. | 9, 26 |
| P1406900I | EXP2025/011254 | AYUNTAMIENTO DE VILLANUEVA DE CORDOBA. | 15 |
| P1500002I | EXP2025/012950 | Mancomunidad de Municipios de la Comarca de Ferrol. | 12, 18, 20, 38 |
| P1507100D | EXP2025/011119 | CONCELLO DAS PONTES DE GARCIA RODRIGUEZ. | 10, 12, 14, 20 |
| P1607900F | EXP2025/010416 | AYUNTAMIENTO DE CUENCA. | 26 |
| P1700700F | EXP2025/011341 | AJUNTAMENT DAMER. | 35 |
| P1702800B | EXP2025/009918 | AJUNTAMENT DE BORDILS. | 35 |
| P1703000H | EXP2025/011474 | AJUNTAMENT DE BREDA. | 35 |
| P1704700B | EXP2025/012164 | AJUNTAMENT DE QUERALBS. | 9, 35 |
| P1708900D | EXP2025/012938 | AYUNTAMIENTO DE HOSTALRIC. | 35 |
| P1710100G | EXP2025/011253 | AJUNTAMENT DE LLÍVIA. | 10, 14, 20, 22, 24, 26, 28 |
| P1710700D | EXP2025/012173 | AJUNTAMENT DE MASSANES. | 12 |
| P1713200B | EXP2025/012091 | AJUNTAMENT DE PALS. | 9, 22 |
| P1715000D | EXP2025/010862 | AJUNTAMENT DE PUIGCERDA. | 10, 15, 18, 24, 35 |
| P1715400F | EXP2025/012209 | AJUNTAMENT DE RIBES DE FRESER. | 9, 11, 16, 17, 19, 21, 23, 25, 27 |
| P1715500C | EXP2025/011144 | AJUNTAMENT DE RIELLS I VIABREA. | 9 |
| P1722500D | EXP2025/010813 | AJUNTAMENT DE VERGES. | 15, 18, 35 |
| P1800700E | EXP2025/012166 | AYUNTAMIENTO DE ALBUÑOL. | 10, 20 |
| P1801200E | EXP2025/012274 | AYUNTAMIENTO DE ALFACAR. | 4 |
| P1802200D | EXP2025/012949 | AYUNTAMIENTO DE ARMILLA. | 9, 18 |
| P1804700A | EXP2025/011865 | AYUNTAMIENTO DE CASTRIL. | 26 |
| P1805100C | EXP2025/012213 | AYUNTAMIENTO DE COGOLLOS VEGA. | 10, 12, 16, 18, 20, 22, 24, 26, 28 |
| P1806400F | EXP2025/012252 | AYUNTAMIENTO DE CHURRIANA DE LA VEGA. | 4 |
| P1807300G | EXP2025/011635 | AYUNTAMIENTO DE DURCAL. | 12, 15, 20, 22, 26 |
| P1809500J | EXP2025/011786 | AYUNTAMIENTO DE GUALCHOS. | 20, 24 |
| P1810200D | EXP2025/011591 | AYUNTAMIENTO DE HUETOR TAJAR. | 10, 14 |
| P1811700B | EXP2025/011823 | AYUNTAMIENTO DE LACHAR. | 24 |
| P1814900E | EXP2025/011773 | AYUNTAMIENTO DE ORCE. | 18 |
| P1815100A | EXP2025/012067 | AYUNTAMIENTO DE OTIVAR. | 15 |
| P1816600I | EXP2025/011100 | AYUNTAMIENTO DE PORTUGOS. | 15, 22 |
| P1817400C | EXP2025/012214 | AYUNTAMIENTO DE SALAR. | 9, 12, 16, 18, 20, 22, 24, 26, 28 |
| P1818300D | EXP2025/011816 | AYUNTAMIENTO DE TREVELEZ. | 15 |
| P1819700D | EXP2025/012197 | AYUNTAMIENTO DE ZUBIA. | 22 |
| P1902600D | EXP2025/010974 | AYUNTAMIENTO DE ALMOGUERA. | 10, 16, 18, 20, 22, 24, 26, 28 |
| P1908500J | EXP2025/011883 | AYUNTAMIENTO DE EL CASAR - GUADALAJARA. | 14 |
| P1915500A | EXP2025/010912 | AYUNTAMIENTO DE GUADALAJARA. | 15 |
| P1917900A | EXP2025/012247 | AYUNTAMIENTO DE ILLANA. | 4 |
| P1931000B | EXP2025/011793 | AYUNTAMIENTO DE SIGUENZA. | 14, 20 |
| P1936100E | EXP2025/011120 | AYUNTAMIENTO DE VALDEAVERUELO. | 10, 15, 20, 22 |
| P1938600B | EXP2025/011117 | AYUNTAMIENTO DE VILLANUEVA DE LA TORRE. | 22 |
| P2003400E | EXP2025/012089 | AYUNTAMIENTO DE ELGETA. | 15 |
| P2004200H | EXP2025/010838 | AYUNTAMIENTO DE GETARIA - GETARIAKO UDALA. | 9, 11, 13, 18, 20, 22, 24, 26, 28 |
| P2007900J | EXP2025/010586 | AYUNTAMIENTO DE BERGARA - BERGARAKO UDALA. | 10, 35 |
| P2009500F | EXP2025/011182 | LASARTE ORIAKO UDALA. | 9 |
| P2103800E | EXP2025/011300 | AYUNTAMIENTO DE HIGUERA DE LA SIERRA. | 26 |
| P2106900J | EXP2025/010410 | AYUNTAMIENTO DE TRIGUEROS. | 14 |
| P2200900E | EXP2025/010913 | AYUNTAMIENTO DE AINSA-SOBRARBE. | 10 |
| P2204600G | EXP2025/011168 | AYUNTAMIENTO DE ARGUIS. | 10, 14 |
| P2208900G | EXP2025/010479 | AYUNTAMIENTO DE BOLTAÑA. | 14, 18 |
| P2210500A | EXP2025/012172 | AYUNTAMIENTO DE CANFRANC. | 20 |
| P2224200B | EXP2025/012669 | AYUNTAMIENTO PERALTA DE ALCOFEA. | 4 |
| P2232500E | EXP2025/009623 | AYUNTAMIENTO DE TORRENTE DE CINCA. | 10, 15, 18 |
| P2302400C | EXP2025/010918 | AYUNTAMIENTO DE LA CAROLINA. | 15 |
| P2303300D | EXP2025/011504 | AYUNTAMIENTO DE FRAILES. | 15, 18 |
| P2303800C | EXP2025/010983 | AYUNTAMIENTO DE LA GUARDIA DE JAÉN. | 10, 14 |
| P2304400A | EXP2025/011433 | EXCMO AYUNTAMIENTO DE HUELMA. | 10 |
| P2306000G | EXP2025/013020 | AYUNTAMIENTO DE MARTOS. | 4 |
| P2306300A | EXP2025/011669 | AYUNTAMIENTO DE NAVAS DE SAN JUAN. | 9, 18, 20 |
| P2306500F | EXP2025/011223 | AYUNTAMIENTO DE ORCERA. | 9, 22 |
| P2308000E | EXP2025/012236 | AYUNTAMIENTO DE SANTO TOME. | 4 |
| P2309500C | EXP2025/011521 | ATUNTAMIENTO DE VILLACARRILLO. | 14 |
| P2400600I | EXP2025/011997 | AYUNTAMIENTO DE ARDON. | 9, 12, 16, 18, 20, 22, 24, 26, 28, 31, 34 |
| P2406200B | EXP2025/012186 | AYUNTAMIENTO DE CREMENES. | 16, 18 |
| P2407200A | EXP2025/011153 | AYUNTAMIENTO DE FABERO. | 10, 22, 24, 26, 28 |
| P2419100I | EXP2025/013209 | AYUNTAMIENTO DE VALENCIA DE DON JUAN. | 10, 12, 14, 18, 22, 26 |
| P2500200G | EXP2025/011185 | AJUNTAMENT DAGER. | 10, 20 |
| P2514000E | EXP2025/011448 | AJUNTAMENT DE GUIXERS. | 35 |
| P2519800C | EXP2025/012232 | AJUNTAMENT DEL PALAU DANGLESOLA. | 4 |
| P2520800J | EXP2025/012695 | AJUNTAMENT DE PINOS. | 9, 18 |
| P2524900D | EXP2025/011544 | AJUNTAMENT DE SARROCA DE LLEIDA. | 10 |
| P2525700G | EXP2025/011268 | AJUNTAMENT DE SOLSONA. | 10, 12, 16, 20, 22 |
| P2528300C | EXP2025/011228 | AJUNTAMENT DE TORREBESSES. | 9, 14, 35 |
| P2530300I | EXP2025/011855 | AJUNTAMENT DE VERDU. | 9,15 |
| P2600500I | EXP2025/011421 | AYUNTAMIENTO DE ALBELDA DE IREGUA. | 9, 16, 20 |
| P2605600B | EXP2025/012061 | AYUNTAMIENTO DE CUZCURRITA DE RIO TIRON. | 10, 12, 18 |
| P2614400F | EXP2025/011937 | AYUNTAMIENTO DE SORZANO. | 10, 12, 16, 18, 20, 22, 24, 26, 28 |
| P2800300B | EXP2025/011936 | AYUNTAMIENTO DE ALAMEDA DEL VALLE. | 10 |
| P2800400J | EXP2025/011413 | AYUNTAMIENTO DE EL ALAMO MADRID. | 9, 16, 20 |
| P2804400F | EXP2025/011259 | AYUNTAMIENTO DE COLMENAREJO. | 15 |
| P2805300G | EXP2025/012106 | AYUNTAMIENTO DE DAGANZO DE ARRIBA. | 10, 20 |
| P2809300C | EXP2025/012138 | AYUNTAMIENTO DE NAVACERRADA. | 10, 16, 18 |
| P2811300I | EXP2025/012248 | AGRUPACIÓN DEL AYUNTAMIENTO DE PINTO. | 4 |
| P2812400F | EXP2025/013530 | AYUNTAMIENTO DE ROBLEDILLO DE LA JARA. | 9, 15, 18 |
| P2813000C | EXP2025/011430 | AYUNTAMIENTO DE SAN FERNANDO DE HENARES. | 20 |
| P2814100J | EXP2025/010909 | AYUNTAMIENTO DE SEVILLA LA NUEVA. | 9, 14, 24 |
| P2814500A | EXP2025/011133 | AYUNTAMIENTO DE TALAMANCA DE JARAMA. | 14 |
| P2815400C | EXP2025/012588 | AYUNTAMIENTO DE TORRES DE LA ALAMEDA. | 12 |
| P2901800I | EXP2025/011966 | AYUNTAMIENTO DE ARDALES. | 10, 12, 16, 18 |
| P2904500B | EXP2025/011724 | AYUNTAMIENTO DE COMPETA. | 10, 12, 20 |
| P2905500A | EXP2025/011146 | AYUNTAMIENTO DE FUENTE DE PIEDRA. | 14, 18 |
| P2909100F | EXP2025/012595 | AYUNTAMIENTO DE TORROX. | 15, 20 |
| P2910300I | EXP2025/011284 | AYUNTAMIENTO DE TORREMOLINOS. | 15 |
| P3000200J | EXP2025/011901 | AYUNTAMIENTO DE ABARAN. | 12, 16, 18 |
| P3001100A | EXP2025/012242 | AYUNTAMIENTO DE BLANCA. | 4 |
| P3002300F | EXP2025/012519 | AYUNTAMIENTO DE LIBRILLA. | 15 |
| P3003500J | EXP2025/013528 | AYUNTAMIENTO DE SAN JAVIER. | 28 |
| P3003600H | EXP2025/011987 | AYUNTAMIENTO DE SAN PEDRO DEL PINATAR. | 10 |
| P3004000J | EXP/100065 | AYUNTAMIENTO DE ULEA. | 14, 15 |
| P3100600J | EXP2025/011296 | AYUNTAMIENTO DE ABLITAS. | 15 |
| P3106300A | EXP2025/011188 | AYUNTAMIENTO DE CADREITA. | 10, 12, 16, 18 |
| P3106900H | EXP2025/011571 | AYUNTAMIENTO DE CASTEJÓN. | 10, 15 |
| P3109600A | EXP2025/012868 | AYUNTAMIENTO DE ESTELLA LIZARRA. | 9, 20 |
| P3207000E | EXP/100024 | AYUNTAMIENTO DE RIBADAVIA. | 9 |
| P3301300D | EXP2025/012451 | AYUNTAMIENTO DE CARAVIA. | 10, 14 |
| P3301800C | EXP2025/012237 | AYUNTAMIENTO DE COAÑA. | 4 |
| P3303600E | EXP2025/012667 | AYUNTAMIENTO DE LLANES. | 4 |
| P3304200C | EXP2025/011742 | AYUNTAMIENTO DE NOREÑA. | 18 |
| P3304400I | EXP2025/012882 | AYTUNTAMIENTO DE OVIEDO. | 10 |
| P3304900H | EXP2025/011830 | AYUNTAMIENTO DE PILOÑA. | 9, 12, 15, 18 |
| P3305500E | EXP2025/012598 | AYUNTAMIENTO DE RIBADEDEVA. | 9, 14, 18 |
| P3305600C | EXP2025/011953 | AYUNTAMIENTO DE RIBADESELLA. | 10, 12 |
| P3406000D | EXP2025/011682 | AYUNTAMIENTO DE CISNEROS. | 10, 28 |
| P3502200C | EXP2025/012139 | AYUNTAMIENTO DE LA VILLA DE SANTA BRÍGIDA. | 12, 16 |
| P3503300J | EXP2025/011255 | AYUNTAMIENTO DE VEGA DE SAN MATEO. | 18 |
| P3602200B | EXP2025/012210 | CONCELLO DE O GROVE. | 16, 20 |
| P3700800J | EXP2025/011578 | AYUNTAMIENTO DE ALBA DE TORMES. | 18 |
| P3712800F | EXP2025/011216 | AYUNTAMIENTO DE ESPINO DE LA ORBADA. | 10 |
| P3726500F | EXP2025/012193 | AYUNTAMIENTO DE PUERTO DE BEJAR. | 9, 12, 18, 20, 22, 24, 26, 28 |
| P3732500H | EXP2025/011241 | AYUNTAMIENTO DE TERRADILLOS. | 10, 14 |
| P3801200A | EXP2025/011546 | AYUNTAMIENTO DE FASNIA. | 9, 13 |
| P3802200J | EXP2025/011339 | AYUNTAMIENTO DE ICOD DE LOS VINOS. | 10, 31, 34 |
| P3802900E | EXP/99581 | AYUNTAMIENTO DE PUNTAGORDA. | 10, 20 |
| P3804200H | EXP2025/011208 | AYUNTAMIENTO DE LOS SILOS. | 10 |
| P3805100I | EXP2025/010158 | AYUNTAMIENTO DE LA VICTORIA DE ACENTEJO. | 20 |
| P3900700J | EXP2025/011243 | AYUNTAMIENTO DE ARREDONDO. | 9, 12, 16, 20, 22, 24, 26, 28 |
| P3901100B | EXP2025/013560 | AYUNTAMIENTO DE BAREYO. | 20 |
| P4005300A | EXP2025/011364 | AYUNTAMIENTO CASTRO DE FUENTIDUEÑA. | 9, 12, 16, 18 |
| P4008800G | EXP2025/010890 | AYUNTAMIENTO DE ESPIRDO. | 9, 12, 16 |
| P4016200J | EXP2025/011811 | AYUNTAMIENTO DE NAVA DE LA ASUNCIÓN. | 28 |
| P4022300J | EXP2025/011026 | AYUNTAMIENTO DE SANTO TOME DEL PUERTO. | 14, 18 |
| P4100700F | EXP2025/011810 | AYUNTAMIENTO DE LA ALGABA. | 11, 13, 15, 18, 20, 22, 24, 26, 28 |
| P4101600G | EXP2025/011416 | AYUNTAMIENTO DE BOLLULOS DE LA MITACION. | 12 |
| P4102300C | EXP2025/012129 | AYUNTAMIENTO DE CANTILLANA. | 9, 15, 18 |
| P4102500H | EXP2025/012192 | AYUNTAMIENTO DE CARRION DE LOS CESPEDES. | 18 |
| P4102800B | EXP2025/011961 | AYUNTAMIENTOI DE CASTILLEJA DE GUZMAN. | 10 |
| P4103200D | EXP2025/011903 | AYUNTAMIENTO DE CAZALLA DE LA SIERRA. | 10, 20 |
| P4104200C | EXP2025/011112 | AYUNTAMIENTO FUENTES DE ANDALUCIA. | 10 |
| P4108900D | EXP2025/011977 | AYUNTAMIENTO DE SANTIPONCE. | 18 |
| P4109000B | EXP2025/011084 | AYUNTAMIENTO DE EL SAUCEJO. | 9, 15, 18 |
| P4110100G | EXP2025/012105 | AYUNTAMIENTO DE VILLAVERDE DEL RIO. | 14 |
| P4110500H | EXP2025/012023 | AYUNTAMIENTO DE ISLA MAYOR. | 10, 24 |
| P4200600G | EXP2025/012253 | AYUNTAMIENTO DE AGREDA. | 4 |
| P4221900F | EXP2025/011280 | AYUNTAMIENTO DE OLVEGA. | 28 |
| P4301300B | EXP2025/011757 | AYUNTAMIENTO DE L AMETLLA DE MAR. | 9, 12, 19, 35 |
| P4302200C | EXP2025/012734 | AYUNTAMIENTO DE BATEA. | 9 |
| P4303700A | EXP2025/012118 | AJUNTAMENT DE CALAFELL. | 35 |
| P4312000E | EXP2025/010622 | AJUNTAMENT DE PRATDIP. | 9, 15 |
| P4313500C | EXP2025/012099 | AJUNTAMENT DE ROQUETES. | 35 |
| P4315800E | EXP2025/011052 | AYUNTAMIENTO DE ULLDECONA. | 35 |
| P4316500J | EXP2025/011932 | AJUNTAMENT DEL VENDRELL. | 9, 15, 20 |
| P4318200E | EXP/100107 | AJUNTAMENT DE SANT JAUME DENVEJA. | 9, 14 |
| P4318300C | EXP2025/010501 | AJUNTAMENT DE CAMARLES. | 9, 24 |
| P4400400J | EXP2025/012109 | AGRUPACIÓN DEL AYUNTAMIENTO DE AGUAVIVA. | 22, 36, 39, 40, 41 |
| P4401300A | EXP2025/011350 | AYUNTAMIENTO DE ALCAÑIZ. | 10 |
| P4404000D | EXP2025/010828 | AYUNTAMIENTO DE BERGE. | 15 |
| P4406700G | EXP2025/011925 | AYUNTAMIENTO DE CASTELNOU. | 15 |
| P4411700J | EXP2025/012000 | AYUNTAMIENTO DE FUENTES CLARAS. | 14 |
| P4414000B | EXP2025/011302 | AYUNTAMIENTO DE LANZUELA. | 18, 28 |
| P4416300D | EXP2025/011995 | AYUNTAMIENTO DE MONTALBAN. | 9,18 |
| P4418100F | EXP2025/011955 | AYUNTAMIENTO DE OLIETE. | 9,16 |
| P4419000G | EXP2025/011278 | AYUNTAMIENTO DE PERACENSE. | 9, 14, 18 |
| P4422300F | EXP2025/010831 | AYUNTAMIENTO DE SARRION. | 18 |
| P4514300E | EXP2025/011496 | AYUNTAMIENTO DE QUINTANAR DE LA ORDEN. | 10, 12, 16 |
| P4515300D | EXP2025/011512 | AYUNTAMIENTO DE SAN MARTIN DE PUSA. | 15, 20 |
| P4602000D | EXP2025/011163 | AYUNTAMIENTO DE LA ALCUDIA DE CRESPINS. | 9 |
| P4605700F | EXP2025/011958 | AJUNTAMENT DE BENICOLET. | 9, 20 |
| P4607400A | EXP2025/012048 | AYUNTAMIENTO DE BOCAIRENT. | 15 |
| P4607600F | EXP2025/011165 | AJUNTAMENT DE BONREPOS I MIRAMBELL. | 15 |
| P4608600E | EXP2025/012122 | AYUNTAMIENTO DE CARCER. | 9, 24 |
| P4609200C | EXP2025/011203 | AJUNTAMENT CASTELLO RUGAT. | 10 |
| P4609800J | EXP2025/012260 | AJUNTAMENT DE CERDA. | 4 |
| P4610500C | EXP2025/012084 | AJUNTAMENT DE QUARTELL. | 10, 12, 16, 18, 20, 22, 24, 26, 28 |
| P4610600A | EXP2025/010393 | AYUNTAMIENTO QUATRETONDA. | 35 |
| P4611800F | EXP2025/012029 | AYUNTAMIENTO DE LELIANA. | 12 |
| P4612500A | EXP2025/012085 | AJUNTAMENT DE FAVARA. | 9, 20 |
| P4614100H | EXP2025/012196 | AJUNTAMENT DE GUADASSUAR. | 10, 12, 14, 20, 22, 28 |
| P4615200E | EXP2025/011922 | AYUNTAMIENTO DE LLUTXENT. | 14 |
| P4616300B | EXP2025/011267 | AYUNTAMIENTO DE MARINES. | 12 |
| P4618000F | EXP2025/012115 | AYUNTAMIENTO DE NAQUERA. | 10, 12, 16, 18, 20, 22, 24, 26, 28 |
| P4618900G | EXP2025/011434 | AJUNTAMENT DE PALMA DE GANDIA. | 9, 15 |
| P4619400G | EXP2025/012227 | AYUNTAMIENTO DE PETRES. | 14 |
| P4622200F | EXP2025/011516 | AJUNTAMENT DE SAGUNT. | 9,15 |
| P4623200E | EXP2025/011611 | AYUNTAMIENTO DE SILLA. | 35 |
| P4623400A | EXP2025/011918 | AYUNTAMIENTO DE SINARCAS. | 20 |
| P4623500H | EXP2025/011668 | AJUNTAMENT DE SOLLANA. | 10 |
| P4625200C | EXP2025/011831 | AJUNTAMENT DE VALENCIA. | 15, 20 |
| P4625600D | EXP2025/012002 | AYUNTAMIENTO DE VENTA DEL MORO. | 10 |
| P4700700J | EXP2025/012241 | AYUNTAMIENTO DE ALDEAMAYOR DE SAN MARTIN. | 4 |
| P4706700D | EXP2025/012112 | AYUNTAMIENTO DE FUENSALDAÑA. | 28 |
| P4715800A | EXP2025/011479 | AYUNTAMIENTO DE SARDON DE DUERO. | 10, 11, 13, 18, 21, 23, 25, 27 |
| P4800200J | EXP2025/011078 | ABANTO ZIERBENAKO UDALA/AYUNTAMIENTO DE ABANTO Y CIERVANA. | 10 |
| P4802700G | EXP2025/012070 | AYUNTAMIENTO DE ARTEA - ARTEAKO UDALA. | 10, 12, 16, 18, 20, 22, 24, 26, 28 |
| P4803500J | EXP2025/011177 | AYUNTAMIENTO DE EA - EAKO UDALA. | 14 |
| P4807700B | EXP2025/010934 | AYUNTAMIENTO DE MORGA - MORGAKO UDALA. | 9, 16, 18 |
| P4808300J | EXP2025/010928 | AYUNTAMIENTO DE MUSKIZ - MUSKIZKO UDALA. | 9 |
| P4809100C | EXP2025/010878 | AYUNTAMIENTO DE PORTUGALETE - PORTUGALETEKO UDALA. | 10, 26 |
| P4810000B | EXP2025/010520 | AYUNTAMIENTO DE SOPUERTA - SOPUERTAKO UDALA. | 10, 20 |
| P4810600I | EXP2025/011884 | AREATZAKO UDALA/AYUNTAMIENTO DE AREATZA. | 10, 20, 22, 24, 26, 28 |
| P4909400F | EXP2025/011585 | AYUNTAMIENTO DE FUENTESAUCO. | 10 |
| P4916300I | EXP2025/011166 | AYUNTAMIENTO DE PELEAS DE ABAJO. | 10, 11, 13, 17, 19, 21, 23, 25, 27 |
| P5002000G | EXP2025/012230 | AYUNTAMIENTO DE ALHAMA DE ARAGON. | 15 |
| P5003400H | EXP2025/012101 | AYUNTAMIENTO DE ARIZA. | 24 |
| P5005600A | EXP2025/011943 | AYUNTAMIENTO DE BOTORRITA. | 13, 14 |
| P5006700H | EXP2025/012251 | AYUNTAMIENTO DE CALATAYUD. | 4 |
| P5014800F | EXP2025/011951 | AYUNTAMIENTO DE LUCENI. | 9,18 |
| P5016400C | EXP2025/011839 | AYUNTAMIENTO DE MARÍA DE HUERVA. | 14, 20, 24, 26, 28 |
| P5025000J | EXP2025/011875 | AYUNTAMIENTO DE SOBRADIEL. | 9, 15 |
| P5029300J | EXP2025/011041 | AYUNTAMIENTO DE VILLANUEVA DE GALLEGO. | 10, 15, 26, 28 |
| P5030400E | EXP2025/011035 | AYUNTAMIENTO DE ZUERA. | 14 |
| P5100003B | EXP2025/010932 | ARABAKO LAUTADAKO CUADRILLA - CUADRILLA DE LA LLANADA ALAVESA. | 15, 38 |
| P5606301I | EXP2025/011442 | MANCOMUNIDAD DE SERVICIOS CIJARA. | 16 |
| P6700008C | EXP2025/012358 | CONSELL COMARCAL DE LALT AMPORDA. | 4 |
Inadmisión:
1. El solicitante no es una entidad local.
2. El solicitante concurre en alguna de las circunstancias del artículo 13.2 de la Ley 38/2003, de 17 de noviembre, General de Subvenciones.
3. El proyecto presentado no se ajusta a los proyectos subvencionables establecidos en la disposición cuarta de la Convocatoria.
4. Solicitud presentada fuera de plazo.
Solicitud:
5. Firma no válida o no firmada.
6. Incompleta.
7. Duplicada.
8. No presentado modelo oficial o no presentada.
Programa municipal de gestión ética de colonias felinas:
9. No está en vigor.
10. No presentado.
Anexo I. Memoria descriptiva del proyecto:
11. Firma no válida o no firmado.
12. No presentado modelo oficial o no presentado.
Anexo II. Cronograma de actuaciones:
13. Firma no válida o no firmado.
14. Incompleto.
15. Incorrecto: gastos no ajustados a la categoría seleccionada.
16. No presentado modelo oficial o no presentado.
Anexo III. Memoria técnica:
17. Firma no válida o no firmado.
18. No presentado modelo oficial o no presentado.
Acreditación válida del poder de la persona firmante de la solicitud:
19. Firma no válida o no firmada.
20. No presentada.
Declaración responsable del compromiso de cofinanciación:
21. Firma no válida o no firmada.
22. No presentada.
Declaración responsable en la que la entidad solicitante haga constar las ayudas que hayan solicitado o percibido de otras Administraciones o entidades:
23. Firma no válida o no firmada.
24. No presentada.
| CIF | Expediente | Entidad | Valoración |
|---|---|---|---|
| P1308300A | EXP2025/011814 | AYUNTAMIENTO DE TORRALBA DE CVA. | Renuncia. |
| NIF | Expediente | Entidad local | Tramo |
Cofinan. – Porcentaje |
Actuaciones | Puntos |
|---|---|---|---|---|---|---|
| P4101200F | EXP2025/011713 | AYUNTAMIENTO DE AZNALCAZAR. | T1 | 25,52 | 4 | 79 |
| P1303100J | EXP2025/012914 | AYUNTAMIENTO DE CARRION DE CALATRAVA. | T1 | 24,47 | 4 | 79 |
| P3908000G | EXP2025/011984 | AYUNTAMIENTO DE SAN VICENTE DE LA BARQUERA. | T1 | 23,31 | 4 | 79 |
| P2400400D | EXP2025/011480 | AYUNTAMIENTO DE ALMANZA. | T1 | 23,00 | 4 | 79 |
| P4425100G | EXP2025/011095 | AYUNTAMIENTO DE UTRILLAS. | T1 | 22,40 | 4 | 79 |
| P4618500E | EXP2025/012145 | AYUNTAMIENTO DE LOLLERIA. | T1 | 21,83 | 4 | 79 |
| P3906800B | EXP2025/013609 | AYUNTAMIENTO DE RUILOBA. | T1 | 21,61 | 4 | 79 |
| P1206000J | EXP2025/011784 | AYUNTAMIENTO DE FIGUEROLES. | T1 | 20,93 | 4 | 79 |
| P1011800H | EXP2025/011705 | AYUNTAMIENTO DE MALPARTIDA DE CACERES. | T1 | 20,23 | 4 | 79 |
| P1012400F | EXP2025/011978 | AYUNTAMIENTO DE MIAJADAS. | T1 | 20,11 | 4 | 79 |
| P2528900J | EXP2025/012065 | AJUNTAMENT DE TORRES DE SEGRE. | T1 | 20,06 | 4 | 79 |
| P0606700C | EXP2025/010225 | AYUNTAMIENTO DE HIGUERA LA REAL. | T1 | 20,00 | 4 | 79 |
| P2309700I | EXP2025/011712 | AYUNTAMIENTO DE VILLANUEVA DEL ARZOBISPO. | T1 | 19,98 | 4 | 79 |
| P4317400B | EXP2025/011391 | AJUNTAMENT DE VILAVERD. | T1 | 19,73 | 4 | 79 |
| P2523600A | EXP2025/013573 | AYUNTAMIENTO DE SANT GUIM DE FREIXENET. | T1 | 19,71 | 4 | 79 |
| P2501900A | EXP2025/012935 | AYUNTAMIENTO DE ALMACELLES. | T1 | 19,70 | 4 | 79 |
| P2231500F | EXP2025/012039 | AYUNTAMIENTO TAMARITE DE LITERA. | T1 | 19,56 | 4 | 79 |
| P1201200A | EXP2025/011838 | AYUNTAMIENTO DE ALTURA. | T1 | 19,35 | 4 | 79 |
| P4622400B | EXP2025/011809 | AYUNTAMIENTO DE SANT JOANET. | T1 | 19,20 | 4 | 79 |
| P4614400B | EXP2025/011749 | AYUNTAMIENTO DE JALANCE. | T1 | 19,12 | 4 | 79 |
| P0823700J | EXP2025/011802 | AJUNTAMENT DE SANT QUIRZE DE BESORA. | T1 | 18,77 | 4 | 79 |
| P0704300C | EXP2025/011770 | AJUNTAMENT DE PORRERES. | T1 | 18,70 | 4 | 79 |
| P0803700D | EXP2025/011032 | AJUNTAMENT DE CALLÚS. | T1 | 18,16 | 4 | 79 |
| P2616900C | EXP2025/012508 | AYUNTAMIENTO DE VILLAMEDIANA DE IREGUA. | T1 | 17,88 | 4 | 79 |
| P3909000F | EXP2025/011846 | AYUNTAMIENTO DE UDIAS. | T1 | 17,83 | 4 | 79 |
| P3908500F | EXP2025/012909 | AYUNTAMIENTO DE SUANCES. | T1 | 17,66 | 4 | 79 |
| P1204800E | EXP2025/011162 | AYUNTAMIENTO DE CORTES DE ARENOSO. | T1 | 17,61 | 4 | 79 |
| P0406300D | EXP2025/012050 | AYUNTAMIENTO DE MARIA. | T1 | 17,35 | 4 | 79 |
| P1803700B | EXP2025/011092 | AYUNTAMIENTO DE CAJAR. | T1 | 17,29 | 4 | 79 |
| P0922600B | EXP2025/012215 | AYUNTAMIENTO DE MODÚBAR DE LA EMPAREDADA. | T1 | 17,21 | 4 | 79 |
| P1206700E | EXP2025/013984 | AYUNTAMIENTO DE GELDO. | T1 | 17,07 | 4 | 79 |
| P4610800G | EXP2025/011945 | AYUNTAMIENTO DE CHELVA. | T1 | 17,00 | 4 | 79 |
| P4621100I | EXP2025/010608 | AYUNTAMIENTO DE RAFELGUARAF. | T1 | 16,67 | 4 | 79 |
| P1211400E | EXP2025/011129 | AYUNTAMIENTO DE TORAS. | T1 | 16,58 | 4 | 79 |
| P5017600G | EXP2025/011283 | AYUNTAMIENTO DE MORATA DE JALON. | T1 | 15,91 | 4 | 79 |
| P4404900E | EXP2025/011597 | AYUNTAMIENTO DE CALACEITE. | T1 | 15,74 | 4 | 79 |
| P2526300E | EXP2025/011441 | AJUNTAMENT DE SUDANELL. | T1 | 15,51 | 4 | 79 |
| P1203900D | EXP2025/012157 | AYUNTAMIENTO DE CASTELLNOVO. | T1 | 15,36 | 4 | 79 |
| P3001400E | EXP2025/011662 | AYUNTAMIENTO DE CAMPOS DEL RIO. | T1 | 15,28 | 4 | 79 |
| P4908100C | EXP2025/011688 | AYUNTAMIENTO DE FIGUERUELA DE ARRIBA. | T1 | 15,00 | 4 | 79 |
| P0826700G | EXP2025/011795 | AJUNTAMENT DE SENTMENAT. | T1 | 14,51 | 4 | 79 |
| P1208100F | EXP2025/011760 | AYUNTAMIENTO DE NAVAJAS. | T1 | 14,47 | 4 | 79 |
| P1709500A | EXP2025/011415 | AJUNTAMENT DE LLADO. | T1 | 14,33 | 4 | 79 |
| P0403100A | EXP2025/011048 | AYUNTAMIENTO DE CANTORIA. | T1 | 14,05 | 4 | 79 |
| P1209200C | EXP2025/011684 | AYUNTAMIENTO DE PUEBLA DE ARENOSO. | T1 | 13,87 | 4 | 79 |
| P2528600F | EXP2025/011777 | AJUNTAMENT DE TORREFETA I FLOREJACS. | T1 | 13,51 | 4 | 79 |
| P2507400F | EXP2025/011151 | AJUNTAMENT DE CAMARASA. | T1 | 13,36 | 4 | 79 |
| P4615700D | EXP2025/011116 | AJUNTAMENT DE LLAURI. | T1 | 13,02 | 4 | 79 |
| P1800005I | EXP2025/011860 | AYUNTAMIENTO DE CUEVAS DEL CAMPO. | T1 | 12,52 | 4 | 79 |
| P1804900G | EXP2025/011088 | AYUNTAMIENTO DE CIJUELA. | T1 | 12,51 | 4 | 79 |
| P3304500F | EXP2025/011396 | AYUNTAMIENTO DE PARRES. | T1 | 12,50 | 4 | 79 |
| P1010800I | EXP2025/011204 | AYUNTAMIENTO JARANDILLA DE LA VERA. | T1 | 11,51 | 4 | 79 |
| P2515300H | EXP2025/011518 | AJUNTAMENT DE LINYOLA. | T1 | 10,98 | 4 | 79 |
| P0401900F | EXP2025/011155 | AYUNTAMIENTO BACARES. | T1 | 10,78 | 4 | 79 |
| P2901700A | EXP2025/012682 | AYUNTAMIENTO DE ARCHIDONA. | T1 | 10,77 | 4 | 79 |
| P2521100D | EXP2025/011344 | AJUNTAMENT DE LA POBLA DE CERVOLES. | T1 | 10,56 | 4 | 79 |
| P4620500A | EXP2025/011408 | AYUNTAMIENTO DE LA POBLA LLARGA. | T1 | 10,01 | 4 | 79 |
| P0101500G | EXP2025/011666 | BERANTEBILLAKO UDALA - AYUNTAMIENTO DE BERANTEVILLA. | T1 | 10,00 | 4 | 79 |
| P0406200F | EXP2025/010916 | AYUNTAMIENTO DE MACAEL. | T1 | 10,00 | 4 | 79 |
| P1604200D | EXP/99580 | AYUNTAMIENTO DE BUENDÍA. | T1 | 10,00 | 4 | 79 |
| P2229800D | EXP2025/012120 | AYUNTAMIENTO DE SECASTILLA. | T1 | 10,00 | 4 | 79 |
| P2511700C | EXP2025/011818 | AJUNTAMENT DE LA FLORESTA. | T1 | 10,00 | 4 | 79 |
| P2610300B | EXP2025/011374 | AYUNTAMIENTO DE NAJERA. | T1 | 10,00 | 4 | 79 |
| P4927900C | EXP2025/012014 | AYUNTAMIENTO DE VILLALPANDO. | T1 | 10,00 | 4 | 79 |
| P3724800B | EXP2025/011314 | AYUNTAMIENTO DE PEÑARANDA DE BRACAMONTE. | T1 | 9,58 | 4 | 79 |
| P2217900F | EXP2025/012207 | AYUNTAMIENTO DE JASA. | T1 | 9,35 | 4 | 79 |
| P4606800C | EXP2025/011186 | AYUNTAMIENTO DE BENIRREDRA. | T1 | 8,09 | 4 | 79 |
| P1207200E | EXP2025/011686 | AYUNTAMIENTO DE LUCENA DEL CID. | T1 | 8,00 | 4 | 79 |
| P1214400B | EXP2025/012202 | AYUNTAMIENTO DE SANT JOAN DE MORO. | T1 | 5,74 | 4 | 79 |
| P3306900F | EXP2025/011600 | AYUNTAMIENTO DE SOTO DEL BARCO. | T1 | 5,01 | 4 | 79 |
| P0204200J | EXP/100067 | AYUNTAMIENTO DE LETUR. | T1 | 5,00 | 4 | 79 |
| P1202600A | EXP2025/011885 | AJUNTAMENT DE BENASSAL. | T1 | 5,00 | 4 | 79 |
| P2806300F | EXP2025/011435 | AYUNTAMIENTO DE GARGANTILLA DEL LOZOYA Y PINILLA DE BUITRAGO. | T1 | 5,00 | 4 | 79 |
| P4621700F | EXP2025/012199 | AJUNTAMENT DE RIOLA. | T1 | 5,00 | 4 | 79 |
| P4807100E | EXP2025/011083 | AYUNTAMIENTO DE MARKINA-XEMEIN - MARKINA-XEMEINGO UDALA. | T1 | 5,00 | 4 | 79 |
| P0705300B | EXP2025/011912 | AJUNTAMENT DE SANTA EUGENIA. | T1 | 4,76 | 4 | 79 |
| P4308700F | EXP2025/011550 | AJUNTAMENT DE MONTBLANC. | T1 | 4,76 | 4 | 79 |
| P4609400I | EXP2025/011871 | AYUNTAMIENTO DE CASTIELFABIB. | T1 | 4,12 | 4 | 79 |
| P2216300J | EXP2025/011645 | AYUNTAMIENTO DE GRAUS. | T1 | 3,95 | 4 | 79 |
| P4604600I | EXP2025/011335 | AJUNTAMENT DE BARX. | T1 | 3,76 | 4 | 79 |
| P3000100B | EXP2025/011066 | AYUNTAMIENTO DE ABANILLA. | T1 | 2,53 | 4 | 79 |
| P3002500A | EXP2025/012087 | AYUNTAMIENTO DE LORQUI. | T1 | 2,20 | 4 | 79 |
| P0406900A | EXP2025/012226 | AYUNTAMIENTO DE OLULA DEL RIO. | T1 | 2,07 | 4 | 79 |
| P1202400F | EXP2025/011315 | AYUNTAMIENTO DE BENAFER. | T1 | 1,50 | 4 | 79 |
| P0404500A | EXP2025/011607 | AYUNTAMIENTO DE FIÑANA. | T1 | 0,99 | 4 | 79 |
| P0702000A | EXP2025/012187 | AJUNTAMENT DESPORLES. | T1 | 24,04 | 3 | 76 |
| P1201000E | EXP2025/010623 | AYUNTAMIENTO DE ALMEDIJAR. | T1 | 13,18 | 3 | 76 |
| P0410300H | EXP2025/010960 | AYUNTAMIENTO DE ZURGENA. | T1 | 11,51 | 3 | 76 |
| P0600600A | EXP2025/011845 | AYUNTAMIENTO DE ALBURQUERQUE. | T1 | 5,92 | 3 | 76 |
| P3902300G | EXP2025/012198 | AYUNTAMIENTO DE COLINDRES. | T1 | 18,18 | 4 | 75 |
| P4624100F | EXP2025/011616 | AYUNTAMIENTO DE TERESA DE COFRENTES. | T1 | 17,23 | 4 | 75 |
| P0305200H | EXP2025/011707 | AYUNTAMIENTO DE CAÑADA. | T1 | 5,00 | 4 | 75 |
| P0406500I | EXP2025/011751 | AYUNTAMIENTO DE NACIMIENTO. | T1 | No ponderable | 4 | 74 |
| P0700700H | EXP2025/012079 | AJUNTAMENT DE BANYALBUFAR. | T1 | No ponderable | 4 | 74 |
| P0700800F | EXP2025/011783 | AJUNTAMENT DE BINISSALEM. | T1 | No ponderable | 4 | 74 |
| P1100300A | EXP2025/011505 | AYUNTAMIENTO DE ALGAR. | T1 | No ponderable | 4 | 74 |
| P1815000C | EXP2025/009972 | AYUNTAMIENTO DE ORGIVA. | T1 | No ponderable | 4 | 74 |
| P2528800B | EXP2025/011643 | AJUNTAMENT DE TORRELAMEU. | T1 | No ponderable | 4 | 74 |
| P3125000D | EXP2025/011581 | AYUNTAMIENTO DE BERA. | T1 | No ponderable | 4 | 74 |
| P4402300J | EXP2025/011184 | AYUNTAMIENTO DE ALLUEVA. | T1 | No ponderable | 4 | 74 |
| P4603400E | EXP2025/011576 | AJUNTAMENT D ALMOINES. | T1 | No ponderable | 4 | 74 |
| P4609700B | EXP2025/010993 | AYUNTAMIENTO DE CAUDETE DE LAS FUENTES. | T1 | No ponderable | 4 | 74 |
| P5023800E | EXP2025/010203 | AYUNTAMIENTO DE SAN MATEO DE GALLEGO. | T1 | 50,00 | 4 | 74 |
| P1813500D | EXP2025/012037 | AYUNTAMIENTO DE MONACHIL. | T1 | 40,00 | 4 | 74 |
| P4414900C | EXP2025/011127 | AYUNTAMIENTO DE MAICAS. | T1 | 40,00 | 4 | 74 |
| P2310000A | EXP2025/012203 | AYUNTAMIENTO DE VILLATORRES. | T1 | 30,00 | 4 | 74 |
| P1812100D | EXP2025/012092 | AYUNTAMIENTO DE LENTEGI. | T1 | 27,93 | 4 | 74 |
| P0516700B | EXP2025/012540 | AYUNTAMIENTO DE NAVARREVISCA. | T1 | 27,77 | 4 | 74 |
| P2418500A | EXP2025/012043 | AYUNTAMIENTO DE VALDERREY. | T1 | 27,47 | 4 | 74 |
| P4318000I | EXP2025/010141 | AJUNTAMENT DE VINYOLS I ELS ARCS. | T1 | 25,00 | 4 | 74 |
| P4617700B | EXP2025/011102 | AYUNTAMIENTO DE MONTICHELVO. | T1 | 24,00 | 4 | 74 |
| P2901300J | EXP2025/011652 | AYUNTAMIENTO DE ALOZAINA. | T1 | 23,17 | 4 | 74 |
| P2210200H | EXP2025/011424 | AYUNTAMIENTO DE CAMPO. | T1 | 21,35 | 4 | 74 |
| P1818800C | EXP2025/011691 | AYUNTAMIENTO DE VELEZ BENAUDALLA. | T1 | 20,73 | 4 | 74 |
| P4402600C | EXP2025/011446 | AYUNTAMIENTO DE ARCOS DE LAS SALINAS. | T1 | 19,91 | 4 | 74 |
| P1100200C | EXP2025/010864 | AYUNTAMIENTO DE ALCALA DEL VALLE. | T1 | 18,55 | 4 | 74 |
| P0505500I | EXP2025/012103 | AYUNTAMIENTO DE CASILLAS. | T1 | 17,65 | 4 | 74 |
| P4303100D | EXP2025/011560 | AJUNTAMENT DE LES BORGES DEL CAMP. | T1 | 15,77 | 4 | 74 |
| P3004200F | EXP2025/010556 | AYUNTAMIENTO DE VILLANUEVA DEL RIO SEGURA. | T1 | 15,29 | 4 | 74 |
| P4013100E | EXP2025/011704 | AYUNTAMIENTO DE LA LOSA. | T1 | 15,14 | 4 | 74 |
| P4602700I | EXP2025/011025 | AYUNTAMIENTO DE ALFARRASI. | T1 | 15,00 | 4 | 74 |
| P4911700E | EXP2025/011508 | AYUNTAMIENTO DE MAHIDE. | T1 | 15,00 | 4 | 74 |
| P5003800I | EXP2025/011874 | AYUNTAMIENTO DE ATECA. | T1 | 15,00 | 4 | 74 |
| P4623800B | EXP2025/011217 | AJUNTAMENT DE SUMACARCER. | T1 | 14,87 | 4 | 74 |
| P2214500G | EXP2025/011476 | AYUNTAMIENTO DE ESTADILLA. | T1 | 14,59 | 4 | 74 |
| P0524000G | EXP2025/011354 | AYUNTAMIENTO SOTILLO DE LA ADRADA. | T1 | 13,75 | 4 | 74 |
| P4309500I | EXP2025/011170 | AJUNTAMENT DE MORA LA NOVA. | T1 | 12,74 | 4 | 74 |
| P4306100A | EXP2025/011988 | AYUNTAMIENTO DE FLIX. | T1 | 12,49 | 4 | 74 |
| P4613200G | EXP2025/011242 | AJUNTAMENT DE GAVARDA. | T1 | 11,95 | 4 | 74 |
| P4606200F | EXP/99767 | AJUNTAMENT DE BENIGANIM. | T1 | 11,88 | 4 | 74 |
| P3301000J | EXP2025/012515 | AYUNTAMIENTO DE CANDAMO. | T1 | 10,76 | 4 | 74 |
| P2307300J | EXP2025/012131 | AYUNTAMIENTO DE QUESADA. | T1 | 10,71 | 4 | 74 |
| P1104300G | EXP2025/011122 | AYUNTAMIENTO DE BENALUP. | T1 | 10,00 | 4 | 74 |
| P3303000H | EXP2025/011393 | AYUNTAMIENTO DE ILLAS. | T1 | 10,00 | 4 | 74 |
| P4615300C | EXP2025/010663 | AJUNTAMENT DE LLOCNOU DEN FENOLLET. | T1 | 10,00 | 4 | 74 |
| P4619700J | EXP2025/012026 | AYUNTAMIENTO DE PILES. | T1 | 10,00 | 4 | 74 |
| P4418000H | EXP2025/011674 | AYUNTAMIENTO DE OLBA. | T1 | 9,89 | 4 | 74 |
| P0825600J | EXP2025/011934 | AJUNTAMENT DE SANTA MARIA DE MARTORELLES. | T1 | 9,32 | 4 | 74 |
| P1301900E | EXP2025/011971 | AYUNTAMIENTO DE ARGAMASILLA DE ALBA. | T1 | 9,09 | 4 | 74 |
| P0401100C | EXP2025/010860 | AYUNTAMIENTO DE ALHAMA DE ALMERIA. | T1 | 8,33 | 4 | 74 |
| P4604200H | EXP2025/012134 | AJUNTAMENT DAIELO DE MALFERIT. | T1 | 8,08 | 4 | 74 |
| P4027200G | EXP2025/011806 | AYUNTAMIENTO DE YANGUAS DE ERESMA. | T1 | 6,59 | 4 | 74 |
| P1813800H | EXP2025/011837 | AYUNTAMIENTO DE MONTEJICAR. | T1 | 5,62 | 4 | 74 |
| P1006700G | EXP2025/013526 | AYUNTAMIENTO DE CONQUISTA DE LA SIERRA. | T1 | 5,00 | 4 | 74 |
| P2225600B | EXP2025/011771 | AYUNTAMIENTO DE LA PUEBLA DE CASTRO. | T1 | 5,00 | 4 | 74 |
| P5015300F | EXP2025/011950 | AYUNTAMIENTO DE MAELLA. | T1 | 5,00 | 4 | 74 |
| P4603900D | EXP2025/011468 | AYUNTAMIENTO DE ANNA. | T1 | 4,27 | 4 | 74 |
| P1302000C | EXP2025/011386 | AYUNTAMIENTO DE ARGAMASILLA DE CALATRAVA. | T1 | 4,26 | 4 | 74 |
| P1808100J | EXP2025/010906 | AYUNTAMIENTO DE FUENTE VAQUEROS. | T1 | 4,00 | 4 | 74 |
| P1804800I | EXP2025/011231 | AYUNTAMIENTO DE CENES DE LA VEGA. | T1 | 3,63 | 4 | 74 |
| P4617000G | EXP2025/011993 | AJUNTAMENT DE MIRAMAR. | T1 | 3,54 | 4 | 74 |
| P1933800C | EXP2025/011484 | AYUNTAMIENTO DE TORREJON DEL REY. | T1 | 2,38 | 4 | 74 |
| P2607000C | EXP2025/011962 | AYUNTAMIENTO DE GRAVALOS. | T1 | 2,00 | 4 | 74 |
| P1210800G | EXP2025/012190 | AYUNTAMIENTO DE SUERAS. | T1 | 0,63 | 4 | 74 |
| P4608100F | EXP2025/010949 | AYUNTAMIENTO DE CALLES. | T1 | No ponderable | 4 | 73 |
| P4807600D | EXP2025/011039 | UGAO-MIRABALLESEKO UDALA / AYUNTAMIENTO DE UGAO-MIRABALLES. | T1 | 23,40 | 3 | 71 |
| P2304000I | EXP2025/008399 | AYUNTAMIENTO DE LAHIGUERA. | T1 | 21,44 | 3 | 71 |
| P2309600A | EXP2025/011758 | AYUNTAMIENTO DE VILLANUEVA DE LA REINA. | T1 | 20,00 | 3 | 71 |
| P4806500G | EXP2025/011706 | LEMOAKO UDALA / AYUNTAMIENTO DE LEMOA. | T1 | 15,71 | 3 | 71 |
| P1802500G | EXP2025/010910 | AYUNTAMIENTO DE BEAS DE GRANADA. | T1 | 11,50 | 3 | 71 |
| P2904300G | EXP2025/011533 | AYUNTAMIENTO DE COLMENAR. | T1 | 7,70 | 3 | 71 |
| P0408100F | EXP2025/011098 | AYUNTAMIENTO DE SANTA FE DE MONDUJAR. | T1 | 3,17 | 3 | 71 |
| P2505200B | EXP2025/014652 | AJUNTAMENT DE LA VALL DE BOÍ. | T1 | 2,64 | 3 | 71 |
| P3711700I | EXP2025/011534 | AYUNTAMIENTO DE DOÑINOS DE SALAMANCA. | T1 | 30,05 | 4 | 70 |
| P0700100A | EXP2025/011143 | AJUNTAMENT DALARO. | T1 | 28,57 | 4 | 70 |
| P2409600J | EXP2025/011330 | AYUNTAMIENTO DE MANSILLA DE LAS MULAS. | T1 | 25,55 | 4 | 70 |
| P0307100H | EXP2025/010640 | AJUNTAMENT DE GATA DE GORGOS. | T1 | 23,11 | 4 | 70 |
| P4605300E | EXP2025/011449 | AJUNTAMENT DE BENEIXIDA. | T1 | 22,98 | 4 | 70 |
| P2808100H | EXP2025/012163 | AYUNTAMIENTO DE PUENTES VIEJAS. | T1 | 10,00 | 4 | 70 |
| P4700600B | EXP2025/010244 | AYUNTAMIENTO DE ALDEA DE SAN MIGUEL. | T1 | 10,00 | 4 | 70 |
| P4411200A | EXP2025/010721 | AYUNTAMIENTO DE FOZ CALANDA. | T1 | 5,17 | 4 | 70 |
| P0408300B | EXP2025/011866 | AYUNTAMIENTO DE SERÓN. | T1 | No ponderable | 4 | 69 |
| P1001000G | EXP2025/010883 | AYUNTAMIENTO DE ALCUESCAR. | T1 | No ponderable | 4 | 69 |
| P1102600B | EXP2025/010763 | AYUNTAMIENTO DE PRADO DEL REY. | T1 | No ponderable | 4 | 69 |
| P2416000D | EXP2025/011986 | AYUNTAMIENTO DE SANTA MARIA DEL PARAMO. | T1 | No ponderable | 4 | 69 |
| P2805700H | EXP2025/011071 | AYUNTAMIENTO DE FRESNO DE TOROTE. | T1 | No ponderable | 4 | 69 |
| P2909600E | EXP2025/011535 | AYUNTAMIENTO VILLANUEVA DEL ROSARIO. | T1 | No ponderable | 4 | 69 |
| P3720300G | EXP2025/012183 | AYUNTAMIENTO DE MONTERRUBIO DE ARMUÑA. | T1 | No ponderable | 4 | 69 |
| P4003500H | EXP2025/011269 | AYUNTAMIENTO DE BERNUY DE PORREROS. | T1 | No ponderable | 4 | 69 |
| P4004400J | EXP2025/010816 | AYUNTAMIENTO DE CANTALEJO. | T1 | No ponderable | 4 | 69 |
| P4101000J | EXP2025/011557 | AYUNTAMIENTO DE ALMENSILLA. | T1 | No ponderable | 4 | 69 |
| P4410400H | EXP2025/012133 | AYUNTAMIENTO DE ESCUCHA. | T1 | No ponderable | 4 | 69 |
| P4600100D | EXP2025/010647 | AYUNTAMIENTO DE ADEMUZ. | T1 | No ponderable | 4 | 69 |
| P4612900C | EXP2025/011525 | AJUNTAMENT DE LA FONT D/EN CARROS. | T1 | No ponderable | 4 | 69 |
| P4619300I | EXP2025/011679 | AYUNTAMIENTO DE PEDRALBA. | T1 | No ponderable | 4 | 69 |
| P4620000B | EXP2025/011672 | AJUNTAMENT DE POTRIES. | T1 | No ponderable | 4 | 69 |
| P4625500F | EXP2025/011291 | AYUNTAMIENTO DE VALLES. | T1 | No ponderable | 4 | 69 |
| P4303400H | EXP2025/013603 | AYUNTAMIENTO DE BRAFIM. | T1 | 57,15 | 4 | 69 |
| P1800037B | EXP2025/011196 | AYUNTAMIENTO DE VALDERRUBIO. | T1 | 50,00 | 4 | 69 |
| P0814200B | EXP2025/010938 | AJUNTAMENT DODENA. | T1 | 46,19 | 4 | 69 |
| P4413700H | EXP2025/010835 | AYUNTAMIENTO DE JOSA. | T1 | 40,00 | 4 | 69 |
| P0205200I | EXP2025/011812 | AYUNTAMIENTO DE MOTILLEJA. | T1 | 37,50 | 4 | 69 |
| P0309600E | EXP2025/012074 | M.I. AYUNTAMIENTO DE ONIL. | T1 | 35,50 | 4 | 69 |
| P1808600I | EXP2025/011397 | AYUNTAMIENTO DE GOJAR. | T1 | 34,87 | 4 | 69 |
| P1204300F | EXP2025/011657 | AYUNTAMIENTO DE CAUDIEL. | T1 | 33,48 | 4 | 69 |
| P3724000I | EXP2025/011257 | AYUNTAMIENTO DE PEDROSILLO EL RALO. | T1 | 32,68 | 4 | 69 |
| P0309200D | EXP2025/011832 | AYUNTAMIENTO MURO DE ALCOY. | T1 | 31,85 | 4 | 69 |
| P3902400E | EXP2025/012113 | AYUNTAMIENTO DE COMILLAS. | T1 | 31,32 | 4 | 69 |
| P4309400B | EXP2025/011622 | AYUNTAMIENTO DE MORA DEBRE. | T1 | 31,25 | 4 | 69 |
| P2803800H | EXP2025/012698 | AYUNTAMIENTO DE CERCEDILLA. | T1 | 30,46 | 4 | 69 |
| P0827400C | EXP2025/012463 | AYUNTAMIENTO DE SURIA. | T1 | 30,00 | 4 | 69 |
| P1307700C | EXP2025/012056 | AYUNTAMIENTO DE SANTA CRUZ DE MUDELA. | T1 | 28,41 | 4 | 69 |
| P0806800I | EXP2025/011580 | AJUNTAMENT DE COLLBATÓ. | T1 | 28,13 | 4 | 69 |
| P1210600A | EXP2025/011667 | AYUNTAMIENTO DE SONEJA. | T1 | 27,67 | 4 | 69 |
| P4304300I | EXP2025/011873 | AJUNTAMENT DE CASTELVELL DEL CAMP. | T1 | 27,54 | 4 | 69 |
| P1721500E | EXP2025/011462 | AJUNTAMENT DE TOSSA DE MAR. | T1 | 26,93 | 4 | 69 |
| P0812100F | EXP2025/011789 | AJUNTAMENT DE MEDIONA. | T1 | 26,63 | 4 | 69 |
| P2507000D | EXP2025/011790 | AJUNTAMENT DE LES BORGES BLANQUES. | T1 | 25,98 | 4 | 69 |
| P2907900A | EXP2025/012179 | AYUNTAMIENTO DE PERIANA. | T1 | 25,87 | 4 | 69 |
| P2100700J | EXP2025/011501 | AYUNTAMIENTO DE ARACENA. | T1 | 25,81 | 4 | 69 |
| P4617800J | EXP2025/011660 | AYUNTAMIENTO DE MONTROI. | T1 | 25,81 | 4 | 69 |
| P4608200D | EXP2025/011954 | AYUNTAMIENTO DE CAMPORROBLES. | T1 | 25,67 | 4 | 69 |
| P1201800H | EXP2025/011439 | AYUNTAMIENTO DE AZUEBAR. | T1 | 25,50 | 4 | 69 |
| P2509100J | EXP2025/012006 | AJUNTAMENT DEL COGUL. | T1 | 25,49 | 4 | 69 |
| P1212500A | EXP2025/011820 | AYUNTAMIENTO DE VALL DE ALMONACID. | T1 | 25,15 | 4 | 69 |
| P1926300C | EXP2025/010120 | AYUNTAMIENTO DE PIOZ. | T1 | 25,10 | 4 | 69 |
| P2206900I | EXP2025/011301 | AYUNTAMIENTO DE BENASQUE. | T1 | 24,40 | 4 | 69 |
| P1709600I | EXP2025/012033 | AJUNTAMENT DE LLAGOSTERA. | T1 | 24,29 | 4 | 69 |
| P2504000G | EXP2025/011458 | AJUNTAMENT DARTESA DE LLEIDA. | T1 | 24,05 | 4 | 69 |
| P3108700J | EXP2025/011586 | AYUNTAMIENTO DE NOAIN (VALLE DE ELORZ). | T1 | 23,93 | 4 | 69 |
| P1205000A | EXP2025/011288 | AYUNTAMIENTO DE LES COVES DE VINROMÀ. | T1 | 23,54 | 4 | 69 |
| P2802900G | EXP2025/011108 | AYUNTAMIENTO DE CABANILLAS DE LA SIERRA. | T1 | 23,48 | 4 | 69 |
| P2900500F | EXP2025/011776 | AYUNTAMIENTO DE ALGARROBO. | T1 | 23,43 | 4 | 69 |
| P4625300A | EXP2025/012020 | AJUNTAMENT DE VALLADA. | T1 | 23,12 | 4 | 69 |
| P2008600E | EXP2025/011626 | ZUMARRAGAKO UDALA / AYUNTAMIENTO DE ZUMARRAGA. | T1 | 22,94 | 4 | 69 |
| P2800800A | EXP2025/011317 | AYUNTAMIENTO DE ALDEA DEL FRESNO. | T1 | 22,74 | 4 | 69 |
| P5000042A | EXP2025/012195 | AYUNTAMIENTO DE VILLAMAYOR DE GALLEGO. | T1 | 22,69 | 4 | 69 |
| P1703700C | EXP2025/011653 | AJUNTAMENT DE CALDES DE MALAVELLA. | T1 | 21,89 | 4 | 69 |
| P4622700E | EXP2025/011326 | AYUNTAMIENTO DE SELLENT. | T1 | 21,86 | 4 | 69 |
| P0921400H | EXP2025/011856 | AYUNTAMIENTO DE MEDINA DE POMAR. | T1 | 21,19 | 4 | 69 |
| P3302600F | EXP2025/012086 | AYUNTAMIENTO DE GRADO. | T1 | 20,99 | 4 | 69 |
| P1716900D | EXP2025/011482 | AJUNTAMENT DE ST FELIU BUIXALLEU. | T1 | 20,97 | 4 | 69 |
| P0828200F | EXP2025/011021 | AJUNTAMENT DE TIANA. | T1 | 20,75 | 4 | 69 |
| P2309400F | EXP2025/011329 | AYUNTAMIENTO DE VILCHES. | T1 | 20,64 | 4 | 69 |
| P0314100I | EXP2025/012015 | AYUNTAMIENTO DE LOS MONTESINOS. | T1 | 20,00 | 4 | 69 |
| P0700400E | EXP2025/012169 | AJUNTAMENT DALGAIDA. | T1 | 20,00 | 4 | 69 |
| P3422500C | EXP2025/011373 | AYUNTAMIENTO DE VILLAMURIEL DE CERRATO. | T1 | 20,00 | 4 | 69 |
| P4400900I | EXP2025/011964 | AYUNTAMIENTO DE ALBARRACIN. | T1 | 20,00 | 4 | 69 |
| P4614200F | EXP2025/011049 | AJUNTAMENT DE GUARDAMAR DE LA SAFOR. | T1 | 20,00 | 4 | 69 |
| P4616400J | EXP2025/010919 | AJUNTAMENT DE MASSALAVÉS. | T1 | 20,00 | 4 | 69 |
| P4625700B | EXP2025/011590 | AYUNTAMIENTO DE VILLALONGA. | T1 | 20,00 | 4 | 69 |
| P4626000F | EXP2025/010256 | AYUNTAMIENTO DE VILLAR DEL ARZOBISPO. | T1 | 20,00 | 4 | 69 |
| P2908600F | EXP2025/011665 | AYUNTAMIENTO DE SAYALONGA. | T1 | 19,50 | 4 | 69 |
| P3800500E | EXP2025/011547 | AYUNTAMIENTO DE ARICO. | T1 | 19,17 | 4 | 69 |
| P2521300J | EXP2025/011756 | AJUNTAMENT DE LA POBLA DE SEGUR. | T1 | 19,14 | 4 | 69 |
| P2801200C | EXP2025/012228 | AYUNTAMIENTO DE ANCHUELO. | T1 | 19,03 | 4 | 69 |
| P1811800J | EXP2025/011956 | AYUNTAMIENTO DE LANJARON. | T1 | 19,01 | 4 | 69 |
| P2800200D | EXP2025/010463 | AYUNTAMIENTO DE AJALVIR. | T1 | 19,00 | 4 | 69 |
| P0804200D | EXP2025/011502 | AJUNTAMENT DE CANYELLES. | T1 | 17,96 | 4 | 69 |
| P1200300J | EXP2025/011762 | AJUNTAMENT DALBOCASSER. | T1 | 17,66 | 4 | 69 |
| P2513900G | EXP2025/011602 | AJUNTAMENT DE GUISSONA. | T1 | 17,59 | 4 | 69 |
| P1210400F | EXP2025/011598 | AYUNTAMIENTO DE SEGORBE. | T1 | 17,46 | 4 | 69 |
| P2203400C | EXP2025/012051 | AYUNTAMIENTO DE ANSO. | T1 | 17,36 | 4 | 69 |
| P2802800I | EXP2025/011572 | AYUNTAMIENTO DE BUSTARVIEJO. | T1 | 17,34 | 4 | 69 |
| P4301900I | EXP2025/011853 | AJUNTAMENT DE ASCO. | T1 | 17,31 | 4 | 69 |
| P0831000E | EXP2025/010563 | AJUNTAMENT DE VILANOVA DEL VALLES. | T1 | 16,99 | 4 | 69 |
| P4402500E | EXP2025/012662 | AYUNTAMIENTO DE ANDORRA. | T1 | 16,68 | 4 | 69 |
| P0819000A | EXP2025/011730 | AJUNTAMENT DE SALLENT. | T1 | 16,67 | 4 | 69 |
| P1213900B | EXP2025/011671 | AYUNTAMIENTO DE VISTABELLA DEL MAESTRAT. | T1 | 16,59 | 4 | 69 |
| P4110300C | EXP2025/011309 | AYUNTAMIENTO DE CAÑADA ROSAL. | T1 | 16,29 | 4 | 69 |
| P4005900H | EXP2025/012474 | AYUNTAMIENTO DE CEREZO DE ABAJO. | T1 | 16,18 | 4 | 69 |
| P3109700I | EXP2025/011897 | AYUNTAMIENTO DE ESTERIBAR. | T1 | 16,08 | 4 | 69 |
| P4601400G | EXP2025/011172 | AYUNTAMIENTO DE ALBUIXECH. | T1 | 16,08 | 4 | 69 |
| P2504100E | EXP2025/011376 | AJUNTAMENT DARTESA DE SEGRE. | T1 | 15,90 | 4 | 69 |
| P1715700I | EXP/98789 | AJUNTAMENT DE RIUDARENES. | T1 | 15,00 | 4 | 69 |
| P2817900J | EXP2025/012064 | AYUNTAMIENTO DE VILLAR OLMO. | T1 | 15,00 | 4 | 69 |
| P4600300J | EXP2025/011343 | AJUNTAMENT DATZENETA DALBAIDA. | T1 | 15,00 | 4 | 69 |
| P2528500H | EXP2025/011765 | AJUNTAMENT DE TORREFARRERA. | T1 | 14,75 | 4 | 69 |
| P4620200H | EXP2025/011854 | AYUNTAMIENTO DE POBLA DEL DUC. | T1 | 14,43 | 4 | 69 |
| P1011300I | EXP2025/012027 | AYUNTAMIENTO DE LOSAR DE LA VERA. | T1 | 14,35 | 4 | 69 |
| P0106700H | EXP2025/011417 | AYUNTAMIENTO DE LEGUTIO. | T1 | 14,29 | 4 | 69 |
| P4604400D | EXP2025/011538 | AYUNTAMIENTO DE AYORA. | T1 | 13,92 | 4 | 69 |
| P5015400D | EXP2025/011351 | AYUNTAMIENTO DE MAGALLÓN. | T1 | 13,87 | 4 | 69 |
| P1204500A | EXP2025/012009 | AYUNTAMIENTO DE CINCTORRES. | T1 | 12,55 | 4 | 69 |
| P1914900D | EXP2025/011325 | AYUNTAMIENTO DE GALAPAGOS. | T1 | 12,50 | 4 | 69 |
| P0803400A | EXP2025/010132 | AJUNTAMENT DE CALDERS. | T1 | 12,46 | 4 | 69 |
| P0401700J | EXP2025/011245 | AYUNTAMIENTO DE ARBOLEAS. | T1 | 12,37 | 4 | 69 |
| P4109600I | EXP2025/010724 | AYUNTAMIENTO DE VALENCINA DE LA CONCEPCION. | T1 | 12,00 | 4 | 69 |
| P4613600H | EXP2025/012078 | AYUNTAMIENTO DE GILET. | T1 | 11,69 | 4 | 69 |
| P4607800B | EXP2025/010261 | AYUNTAMIENTO DE BUGARRA. | T1 | 11,54 | 4 | 69 |
| P1104200I | EXP/99611 | AYUNTAMIENTO DE ZAHARA DE LA SIERRA. | T1 | 11,37 | 4 | 69 |
| P2216700A | EXP2025/012201 | AYUNTAMIENTO DE GURREA DE GALLEGO. | T1 | 11,21 | 4 | 69 |
| P1700900B | EXP2025/010637 | AJUNTAMENT DARBÚCIES. | T1 | 11,14 | 4 | 69 |
| P4618100D | EXP2025/012144 | AYUNTAMIENTO DE NAVARRES. | T1 | 10,35 | 4 | 69 |
| P0612200F | EXP2025/011634 | AYUNTAMIENTO DE LOS SANTOS DE MAIMONA. | T1 | 10,04 | 4 | 69 |
| P0702900B | EXP2025/012554 | AYUNTAMIENTO DE LLOSETA. | T1 | 10,00 | 4 | 69 |
| P1916900B | EXP2025/012180 | AYUNTAMIENTO DE HORCHE. | T1 | 10,00 | 4 | 69 |
| P2612000F | EXP2025/011047 | AYUNTAMIENTO DE QUEL. | T1 | 10,00 | 4 | 69 |
| P2807700F | EXP2025/011511 | AYUNTAMIENTO DE LOZOYUELA-NAVAS-SIETEIGLESIAS. | T1 | 10,00 | 4 | 69 |
| P4011900J | EXP2025/010921 | AYUNTAMIENTO DE LOS HUERTOS. | T1 | 10,00 | 4 | 69 |
| P4812800C | EXP2025/011403 | AYUNTAMIENTO DE ZIERBENA - ZIERBENAKO UDALA. | T1 | 10,00 | 4 | 69 |
| P1203100A | EXP2025/011487 | AYUNTAMIENTO DE BORRIOL. | T1 | 9,99 | 4 | 69 |
| P1606700A | EXP2025/012049 | AYUNTAMIENTO DE CASASIMARRO. | T1 | 9,83 | 4 | 69 |
| P0201000G | EXP2025/011276 | AYUNTAMIENTO DE ALPERA. | T1 | 9,73 | 4 | 69 |
| P1719200F | EXP2025/011392 | AJUNTAMENT DE SANTA CRISTINA DARO. | T1 | 9,17 | 4 | 69 |
| P0510100A | EXP2025/011565 | AYUNTAMIENTO DE HOYOCASERO. | T1 | 9,00 | 4 | 69 |
| P0815400G | EXP2025/011632 | AJUNTAMENT DE PALAFOLLS. | T1 | 8,78 | 4 | 69 |
| P4621000A | EXP2025/010970 | AJUNTAMENT DE RAFELCOFER. | T1 | 8,71 | 4 | 69 |
| P0701700G | EXP2025/013534 | AYUNTAMIENTO DE COSTITX. | T1 | 8,61 | 4 | 69 |
| P1936900H | EXP2025/011947 | AYUNTAMIENTO DE VALDERREBOLLO. | T1 | 8,22 | 4 | 69 |
| P1207700D | EXP2025/012191 | AJUNTAMENT DE MONCOFA. | T1 | 7,87 | 4 | 69 |
| P1102400G | EXP2025/011161 | AYUNTAMIENTO DE OLVERA. | T1 | 7,78 | 4 | 69 |
| P4317100H | EXP2025/011690 | AJUNTAMENT DE VILAPLANA. | T1 | 6,25 | 4 | 69 |
| P4617900H | EXP2025/011541 | AJUNTAMENT DE MUSEROS. | T1 | 6,00 | 4 | 69 |
| P3802500C | EXP2025/011629 | AYUNTAMIENTO DE LA MATANZA DE ACENTEJO. | T1 | 5,34 | 4 | 69 |
| P1819800B | EXP2025/012071 | AYUNTAMIENTO DE ZUJAR. | T1 | 5,00 | 4 | 69 |
| P4313900E | EXP2025/011277 | AJUNTAMENT DE SANT JAUME DELS DOMENYS. | T1 | 5,00 | 4 | 69 |
| P4502300I | EXP2025/011857 | AYUNTAMIENTO DE BURGUILLOS. | T1 | 4,76 | 4 | 69 |
| P1208000H | EXP2025/011646 | AYUNTAMIENTO DE MORELLA. | T1 | 3,13 | 4 | 69 |
| P4623300C | EXP2025/011817 | AJUNTAMENT DE SIMAT DE LA VALLDIGNA. | T1 | 3,00 | 4 | 69 |
| P4604500A | EXP2025/010953 | AJUNTAMENT DE BARXETA. | T1 | 2,00 | 4 | 69 |
| P1920300I | EXP2025/012167 | AYUNTAMIENTO DE MASEGOSO DE TAJUÑA. | T1 | 1,32 | 4 | 69 |
| P2521600C | EXP/99768 | AJUNTAMENT DE PONT DE SUERT. | T1 | 1,00 | 4 | 69 |
| P1811300A | EXP2025/011345 | AYUNTAMIENTO DE JUN. | T1 | 40,00 | 1 | 69 |
| P4408600G | EXP2025/010858 | AYUNTAMIENTO DE CORTES DE ARAGON. | T1 | No ponderable | 4 | 68 |
| P4626100D | EXP2025/011570 | AYUNTAMIENTO DE VILLARGORDO DEL CABRIEL. | T1 | No ponderable | 4 | 68 |
| P5006200I | EXP2025/011605 | AYUNTAMIENTO DE EL BURGO DE EBRO. | T1 | No ponderable | 3 | 66 |
| P1309700A | EXP2025/012436 | AYUNTAMIENTO DE VILLARTA DE SAN JUAN. | T1 | 15,61 | 3 | 66 |
| P5018300C | EXP2025/011569 | AYUNTAMIENTO DE LA MUELA. | T1 | 12,33 | 3 | 66 |
| P4708700B | EXP2025/011990 | AYUNTAMIENTO DE MEDINA DE RIOSECO. | T1 | 5,00 | 3 | 66 |
| P1003100C | EXP2025/011323 | AYUNTAMIENTO DE BOHONAL DE IBOR. | T1 | 20,00 | 4 | 65 |
| P0504700F | EXP2025/011348 | AYUNTAMIENTO DE CANDELEDA. | T1 | No ponderable | 4 | 64 |
| P0701600I | EXP2025/011543 | AJUNTAMENT DE CONSELL. | T1 | No ponderable | 4 | 64 |
| P1214000J | EXP2025/011264 | AYUNTAMIENTO DE VIVER. | T1 | No ponderable | 4 | 64 |
| P2006600G | EXP2025/011368 | AYUNTAMIENTO DE ORIO - ORIOKO UDALA. | T1 | No ponderable | 4 | 64 |
| P2203500J | EXP2025/008400 | AYUNTAMIENTO DE ANTILLON. | T1 | No ponderable | 4 | 64 |
| P3904700F | EXP2025/010892 | AYUNTAMIENTO DE NOJA. | T1 | No ponderable | 4 | 64 |
| P2814400D | EXP2025/011959 | AYUNTAMIENTO SOTO DEL REAL. | T1 | 50,00 | 4 | 64 |
| P1706300I | EXP2025/010723 | AJUNTAMENT DE CRESPIA. | T1 | 49,35 | 4 | 64 |
| P4417000I | EXP2025/011082 | AYUNTAMIENTO DE MUNIESA. | T1 | 42,57 | 4 | 64 |
| P3707800C | EXP2025/010662 | AYUNTAMIENTO DE CANDELARIO. | T1 | 35,91 | 4 | 64 |
| P1703500G | EXP2025/012025 | AJUNTAMENT DE CADAQUÉS. | T1 | 32,75 | 4 | 64 |
| P5025600G | EXP2025/011520 | AYUNTAMIENTO DE TERRER. | T1 | 30,00 | 4 | 64 |
| P2219800F | EXP2025/010584 | AYUNTAMIENTO DE LASPAULES. | T1 | 29,65 | 4 | 64 |
| P4415100I | EXP2025/011107 | AYUNTAMIENTO DE MARTIN DEL RIO. | T1 | 27,57 | 4 | 64 |
| P2530000E | EXP2025/011524 | AJUNTAMENT DE VALLBONA DE LES MONGES. | T1 | 26,29 | 4 | 64 |
| P4410500E | EXP2025/011249 | AYUNTAMIENTO DE ESTERCUEL. | T1 | 26,00 | 4 | 64 |
| P4621300E | EXP2025/011881 | AYUNTAMIENTO DE REAL DE GANDIA. | T1 | 25,23 | 4 | 64 |
| P2306900H | EXP2025/011445 | AYUNTAMIENTO DE PORCUNA. | T1 | 25,00 | 4 | 64 |
| P4305600A | EXP2025/011059 | AYUNTAMIENTO DE FALSET. | T1 | 24,42 | 4 | 64 |
| P4600052G | EXP2025/011509 | ENTIDAD LOCAL MENOR MARENY DE BARRAQUETES. | T1 | 24,42 | 4 | 64 |
| P4316400C | EXP2025/011887 | AJUNTAMENT DE VANDELLOS I LHOSPITALET DE LINFANT. | T1 | 23,54 | 4 | 64 |
| P2816300D | EXP2025/011613 | AYUNTAMIENTO DE VALDEPIELAGOS DE MADRID. | T1 | 23,36 | 4 | 64 |
| P2807500J | EXP2025/011189 | AYUNTAMIENTO DE LOECHES. | T1 | 22,07 | 4 | 64 |
| P4302000G | EXP2025/012162 | AJUNTAMENT DE BANYERES DEL PENEDES. | T1 | 21,60 | 4 | 64 |
| P4613000A | EXP2025/011139 | AJUNTAMENT DE LA FONT DE LA FIGUERA. | T1 | 20,67 | 4 | 64 |
| P3709200D | EXP2025/012098 | AYUNTAMIENTO DE CASTELLANOS DE MORISCOS. | T1 | 20,43 | 4 | 64 |
| P2523500C | EXP2025/010836 | AJUNTAMENT DE SANAÜJA. | T1 | 20,36 | 4 | 64 |
| P4617200C | EXP2025/011642 | AYUNTAMIENTO DE MOIXENT. | T1 | 20,30 | 4 | 64 |
| P1935400J | EXP2025/011916 | AYUNTAMIENTO DE UCEDA. | T1 | 20,22 | 4 | 64 |
| P2803000E | EXP2025/011921 | AYUNTAMIENTO DE LA CABRERA. | T1 | 20,00 | 4 | 64 |
| P3724200E | EXP2025/011115 | AYUNTAMIENTO DE PELABRAVO. | T1 | 20,00 | 4 | 64 |
| P3804100J | EXP2025/011176 | AYUNTAMIENTO VILLA SAUZAL. | T1 | 20,00 | 4 | 64 |
| P0824400F | EXP2025/010973 | AYUNTAMIENTO DE SANTA COLOMA DE CERVELLO. | T1 | 19,45 | 4 | 64 |
| P2530900F | EXP2025/010130 | AJUNTAMENT DE VILAMOS. | T1 | 18,94 | 4 | 64 |
| P0701200H | EXP2025/011841 | AJUNTAMENT DE CAMPANET. | T1 | 18,03 | 4 | 64 |
| P2531600A | EXP2025/011328 | AJUNTAMENT DEL VILOSELL. | T1 | 17,60 | 4 | 64 |
| P2804600A | EXP2025/010976 | AYUNTAMIENTO DE COLLADO MEDIANO. | T1 | 17,57 | 4 | 64 |
| P2816800C | EXP2025/012018 | AYUNTAMIENTO DE EL VELLON. | T1 | 17,09 | 4 | 64 |
| P2903200J | EXP2025/010900 | AYUNTAMIENTO DE CAMPILLOS. | T1 | 16,67 | 4 | 64 |
| P4712300E | EXP2025/011454 | AYUNTAMIENTO DE PORTILLO. | T1 | 16,31 | 4 | 64 |
| P5010700B | EXP2025/011202 | AYUNTAMIENTO DE LOS FAYOS. | T1 | 16,00 | 4 | 64 |
| P2506900F | EXP2025/011748 | AJUNTAMENT DES BORDES. | T1 | 15,92 | 4 | 64 |
| P2215300A | EXP2025/011152 | AYUNTAMIENTO DE FONZ. | T1 | 15,81 | 4 | 64 |
| P4311000F | EXP2025/011179 | AJUNTAMENT DEL PLA DE SANTA MARIA. | T1 | 15,00 | 4 | 64 |
| P3801000E | EXP2025/011649 | AYUNTAMIENTO DE BUENAVISTA DEL NORTE. | T1 | 14,40 | 4 | 64 |
| P1724800F | EXP2025/011453 | AJUNTAMENT DE VILOBÍ D'ONYAR. | T1 | 14,00 | 4 | 64 |
| P2809100G | EXP2025/010810 | AYUNTAMIENTO DE MORATA DE TAJUÑA. | T1 | 13,19 | 4 | 64 |
| P0502100A | EXP2025/010914 | AYUNTAMIENTO DE EL BARCO DE AVILA. | T1 | 12,92 | 4 | 64 |
| P1405300C | EXP/100170 | AYUNTAMIENTO DE POSADAS. | T1 | 12,78 | 4 | 64 |
| P0312000C | EXP2025/010979 | AYUNTAMIENTO DE SAN MIGUEL DE SALINAS. | T1 | 12,30 | 4 | 64 |
| P1209500F | EXP2025/010504 | AYUNTAMIENTO DE RIBESALBES. | T1 | 10,46 | 4 | 64 |
| P0401800H | EXP2025/011261 | AYUNTAMIENTO DE ARMUÑA DE ALMANZORA. | T1 | 10,00 | 4 | 64 |
| P2230900I | EXP2025/011475 | AYUNTAMIENTO DE SIÉTAMO. | T1 | 10,00 | 4 | 64 |
| P2528400A | EXP2025/011494 | AJUNTAMENT DE LA TORRE DE CAPDELLA. | T1 | 10,00 | 4 | 64 |
| P3800032I | EXP2025/011036 | AYUNTAMIENTO DE EL PINAR DE EL HIERRO. | T1 | 10,00 | 4 | 64 |
| P4108200I | EXP2025/011118 | AYUNTAMIENTO DE LA RODA DE ANDALUCIA. | T1 | 10,00 | 4 | 64 |
| P4618400H | EXP2025/011272 | AYUNTAMIENTO DE OLOCAU. | T1 | 9,38 | 4 | 64 |
| P2814700G | EXP2025/012569 | AYUNTAMIENTO DE TITULCIA. | T1 | 8,34 | 4 | 64 |
| P0905800I | EXP2025/011370 | AYUNTAMIENTO DE BRIVIESCA. | T1 | 8,33 | 4 | 64 |
| P4102600F | EXP2025/012606 | AYUNTAMIENTO DE CASARICHE. | T1 | 5,82 | 4 | 64 |
| P0943900A | EXP2025/010904 | AYUNTAMIENTO VILLADIEGO. | T1 | 5,00 | 4 | 64 |
| P1807400E | EXP2025/010962 | AYUNTAMIENTO DE ESCUZAR. | T1 | 5,00 | 4 | 64 |
| P1925300D | EXP2025/012038 | AYUNTAMIENTO DE PASTRANA. | T1 | 5,00 | 4 | 64 |
| P4623900J | EXP2025/011359 | AYUNTAMIENTO DE TAVERNES BLANQUES. | T1 | 5,00 | 4 | 64 |
| P1813300I | EXP2025/010896 | AYUNTAMIENTO DE MOCLIN. | T1 | 2,34 | 4 | 64 |
| P1306100G | EXP2025/010602 | AYUNTAMIENTO DE PEDRO MUÑOZ. | T1 | 1,41 | 4 | 64 |
| P4026100J | EXP2025/010425 | AYUNTAMIENTO DE VEGAS DE MATUTE. | T1 | No ponderable | 2 | 64 |
| P4303300J | EXP2025/012035 | AJUNTAMENT DE BOTARELL. | T1 | 28,57 | 2 | 64 |
| P2813300G | EXP2025/010209 | AYUNTAMIENTO DE SAN MARTIN DE VALDEIGLESIAS. | T1 | 17,87 | 2 | 64 |
| P1101300J | EXP2025/011824 | AYUINTAMIENTO DE CASTELLAR DE LA FRONTERA. | T1 | 8,16 | 2 | 64 |
| P4604100J | EXP2025/011697 | AYUNTAMIENTO DE ARAS DE LOS OLMOS. | T1 | No ponderable | 4 | 63 |
| P1400006A | EXP2025/011384 | MANCOMUNIDAD DE LA SUBBETICA. | T1 | No ponderable | 4 | 62 |
| P1722900F | EXP2025/011239 | AJUNTAMENT DE VILABLAREIX. | T1 | 26,49 | 3 | 61 |
| P4809600B | EXP2025/011772 | AYUNTAMIENTO DE ORTUELLA. | T1 | 20,00 | 3 | 61 |
| P4310600D | EXP2025/011331 | AYUNTAMIENTO DEL PERELLO. | T1 | 19,01 | 3 | 61 |
| P4610100B | EXP2025/012170 | AYUNTAMIENTO DE CORTES DE PALLAS. | T1 | 16,49 | 3 | 61 |
| P2903100B | EXP2025/010915 | AYUNTAMIENTO DE EL BURGO. | T1 | 10,72 | 3 | 61 |
| P2801800J | EXP2025/010955 | AYUNTAMIENTO BECERRIL DE LA SIERRA. | T1 | 10,46 | 3 | 61 |
| P4300100G | EXP2025/011872 | AJUNTAMENT DE AIGUAMURCIA. | T1 | 5,00 | 3 | 61 |
| P4302600D | EXP2025/011755 | AYUNTAMIENTO DE BENISANET. | T1 | 5,00 | 3 | 61 |
| P2301100J | EXP2025/011514 | AYUNTAMIENTO DE BAÑOS DE LA ENCINA. | T1 | 16,79 | 4 | 60 |
| P1210900E | EXP2025/009597 | AYUNTAMIENTO TALES. | T1 | 10,46 | 4 | 60 |
| P1808000B | EXP2025/010436 | AYUNTAMIENTO DE FREILA. | T1 | 5,00 | 4 | 60 |
| P0401400G | EXP2025/011910 | AYUNTAMIENTO DE ALMOCITA. | T1 | No ponderable | 4 | 59 |
| P0407800B | EXP2025/011303 | AYUNTAMIENTO DE RIOJA. | T1 | No ponderable | 4 | 59 |
| P0705800A | EXP/99766 | AJUNTAMENT DE SELVA. | T1 | No ponderable | 4 | 59 |
| P1212900C | EXP2025/012032 | AJUNTAMENT DE VILAFRANCA. | T1 | No ponderable | 4 | 59 |
| P2303500I | EXP2025/011676 | AYUNTAMIENTO DE FUERTE DEL REY. | T1 | No ponderable | 4 | 59 |
| P4017600J | EXP2025/010366 | AYUNTAMIENTO DE ORTIGOSA DEL MONTE. | T1 | No ponderable | 4 | 59 |
| P1200400H | EXP2025/010880 | AYUNTAMIENTO DE ALCALA DE XIVERT. | T1 | 40,00 | 4 | 59 |
| P2813700H | EXP2025/011787 | AYUNTAMIENTO DE LOS SANTOS DE LA HUMOSA. | T1 | 40,00 | 4 | 59 |
| P1207900J | EXP2025/011491 | AYUNTAMIENTO DE MONTANEJOS. | T1 | 35,80 | 4 | 59 |
| P2815800D | EXP2025/011175 | AYUNTAMIENTO DE VALDEMANCO. | T1 | 32,24 | 4 | 59 |
| P3708500H | EXP2025/010939 | AYUNTAMIENTO DE CARBAJOSA DE LA SAGRADA. | T1 | 30,77 | 4 | 59 |
| P2414200B | EXP2025/011621 | AYUNTAMIENTO DE SAHAGUN. | T1 | 30,75 | 4 | 59 |
| P2502200E | EXP2025/011360 | AJUNTAMENT ALÒS DE BALAGUER. | T1 | 26,50 | 4 | 59 |
| P4007200A | EXP2025/010661 | AYUNTAMIENTO DE CUELLAR. | T1 | 26,41 | 4 | 59 |
| P2525500A | EXP2025/011728 | AJUNTAMENT DE SIDAMON. | T1 | 25,00 | 4 | 59 |
| P3901200J | EXP2025/012883 | AYUNTAMIENTO DE CABEZON DE LA SAL. | T1 | 24,84 | 4 | 59 |
| P1401500B | EXP2025/011736 | AYUNTAMIENTO DE CARCABUEY. | T1 | 24,07 | 4 | 59 |
| P4615600F | EXP2025/011327 | AYUNTAMIENTO DE LLANERA DE RANES. | T1 | 23,25 | 4 | 59 |
| P0202900G | EXP2025/011545 | AYUNTAMIENTO DE CHINCHILLA DE MONTEARAGON. | T1 | 22,76 | 4 | 59 |
| P2305100F | EXP2025/011418 | AYUNTAMIENTO DE JAMILENA. | T1 | 21,51 | 4 | 59 |
| P5020400G | EXP2025/011794 | AYUNTAMIENTO DE PASTRIZ. | T1 | 20,21 | 4 | 59 |
| P3735700A | EXP2025/010759 | AYUNTAMIENTO DE VILLAMAYOR. | T1 | 20,08 | 4 | 59 |
| P1700800D | EXP2025/011226 | AJUNTAMENT DANGLÉS. | T1 | 20,00 | 4 | 59 |
| P2517000B | EXP2025/011980 | AJUNTAMENT DE MIRALCAMP. | T1 | 20,00 | 4 | 59 |
| P4304400G | EXP2025/011612 | AJUNTAMENT DEL CATLLAR. | T1 | 20,00 | 4 | 59 |
| P4600400H | EXP2025/011633 | AJUNTAMENT DAGULLENT. | T1 | 19,92 | 4 | 59 |
| P2300700H | EXP2025/011835 | AYUNTAMIENTO DE ARJONILLA. | T1 | 19,36 | 4 | 59 |
| P3604400F | EXP2025/011617 | CONCELLO DE PONTECESURES. | T1 | 19,21 | 4 | 59 |
| P1304000A | EXP2025/011097 | AYUNTAMIENTO DE FERNAN CABALLERO. | T1 | 19,01 | 4 | 59 |
| P1001900H | EXP2025/011497 | AYUNTAMIENTO DE ALMARAZ. | T1 | 18,96 | 4 | 59 |
| P2519100H | EXP2025/011469 | AJUNTAMENT DELS OMELLONS. | T1 | 17,20 | 4 | 59 |
| P2419900B | EXP2025/011055 | AYUNTAMIENTO DE VEGA DE ESPINAREDA. | T1 | 16,55 | 4 | 59 |
| P1810000H | EXP2025/011029 | AYUNTAMIENTO DE HUESCAR. | T1 | 15,42 | 4 | 59 |
| P0814700A | EXP2025/012017 | AYUNTAMIENTO DE OLIVELLA. | T1 | 15,31 | 4 | 59 |
| P4318600F | EXP2025/011294 | AJUNTAMENT DE LAMPOLLA. | T1 | 14,48 | 4 | 59 |
| P4425400A | EXP2025/011577 | AYUNTAMIENTO DE VALDEALGORFA. | T1 | 14,01 | 4 | 59 |
| P1021600J | EXP2025/011378 | AYUNTAMIENTO DE VILLANUEVA DE LA VERA. | T1 | 13,17 | 4 | 59 |
| P1200100D | EXP2025/010558 | AYUNTAMIENTO DE ATZENETA DEL MAESTRAT. | T1 | 12,80 | 4 | 59 |
| P0822600C | EXP2025/010954 | AJUNTAMENT DE SANT MARTI DE TOUS. | T1 | 11,87 | 4 | 59 |
| P0500200A | EXP2025/011529 | AYUNTAMIENTO DE LA ADRADA. | T1 | 10,57 | 4 | 59 |
| P0515600E | EXP2025/011981 | AYUNTAMIENTO DE NAVAHONDILLA. | T1 | 10,00 | 4 | 59 |
| P1103700I | EXP2025/011490 | AYUNTAMIENTO DE TREBUJENA. | T1 | 10,00 | 4 | 59 |
| P1710900J | EXP2025/012063 | AJUNTAMENT DE MAÇANET DE LA SELVA. | T1 | 10,00 | 4 | 59 |
| P2604700A | EXP2025/011905 | AYUNTAMIENTO DE CERVERA DEL RIO ALHAMA. | T1 | 10,00 | 4 | 59 |
| P4415200G | EXP2025/010200 | AYUNTAMIENTO DE MAS DE LAS MATAS. | T1 | 10,00 | 4 | 59 |
| P4620900C | EXP2025/012125 | AJUNTAMENT DE RAFELBUNYOL. | T1 | 10,00 | 4 | 59 |
| P0201300A | EXP2025/010581 | AYUNTAMIENTO DE BALSA DE VES. | T1 | 9,43 | 4 | 59 |
| P3408800E | EXP2025/011489 | AYUNTAMIENTO DE HUSILLOS. | T1 | 6,71 | 4 | 59 |
| P1720500F | EXP2025/012959 | AYUNTAMIENTO DE SILS. | T1 | 5,00 | 4 | 59 |
| P2507100B | EXP2025/011338 | AJUNTAMENT DE BOSSÒST. | T1 | 5,00 | 4 | 59 |
| P5021600A | EXP2025/011140 | AYUNTAMIENTO DE POZUEL DE ARIZA. | T1 | 5,00 | 4 | 59 |
| P1305800C | EXP2025/011741 | AYUNTAMIENTO DE MORAL DE CALATRAVA. | T1 | 3,00 | 4 | 59 |
| P4109800E | EXP2025/011290 | AYUNTAMIENTO DE VILLANUEVA DEL ARISCAL. | T1 | No ponderable | 2 | 59 |
| P2803600B | EXP/99769 | AYUNTAMIENTO CASARRUBUELOS. | T1 | 25,00 | 2 | 59 |
| P2301700G | EXP2025/010927 | AYUNTAMIENTO CABRA DEL SANTO CRISTO. | T1 | 10,04 | 2 | 59 |
| P5013700I | EXP2025/012870 | AYUNTAMIENTO DE LECERA. | T1 | 10,00 | 2 | 59 |
| P0400003J | EXP2025/012137 | AYUNTAMIENTO DE BALANEGRA. | T1 | 1,13 | 2 | 59 |
| P2904900D | EXP2025/010839 | AYUNTAMIENTO DE CUEVAS DE SAN MARCOS. | T1 | No ponderable | 4 | 58 |
| P0406400B | EXP2025/011941 | AYUNTAMIENTO DE MOJACAR. | T1 | 37,71 | 3 | 57 |
| P1709900C | EXP2025/012490 | AYUNTAMIENTO DE LLANCA. | T1 | 24,00 | 3 | 57 |
| P4623600F | EXP2025/011650 | AYUNTAMIENTO DE SOT DE CHERA. | T1 | 26,30 | 3 | 56 |
| P4611500B | EXP2025/011720 | AJUNTAMENT DE DAIMUS. | T1 | 21,88 | 3 | 56 |
| P2208100D | EXP2025/010964 | AYUNTAMIENTO DE BIESCAS. | T1 | 20,00 | 3 | 56 |
| P4311900G | EXP2025/010713 | AJUNTAMENT DE PRAT DE COMPTE. | T1 | 20,00 | 3 | 56 |
| P4604900C | EXP2025/011248 | AYUNTAMIENTO DE BELLUS. | T1 | 11,18 | 3 | 56 |
| P4808600C | EXP2025/012159 | ONDARROAKO UDALA/AYUNTAMIENTO DE ONDARROA. | T1 | 10,00 | 3 | 56 |
| P5020200A | EXP2025/011357 | AYUNTAMIENTO DE PARACUELLOS DE JILOCA. | T1 | 10,00 | 3 | 56 |
| P1818600G | EXP2025/011957 | AYUNTAMIENTO DE UGIJAR. | T1 | 7,09 | 3 | 56 |
| P1812000F | EXP2025/011822 | AYUNTAMIENTO DE NEVADA. | T1 | 5,00 | 3 | 56 |
| P1301700I | EXP2025/011513 | AYUNTAMIENTO DE ANCHURAS. | T1 | 17,14 | 4 | 55 |
| P1304900B | EXP/99635 | AYUNTAMIENTO DE HORCAJO DE LOS MONTES. | T1 | 17,14 | 4 | 55 |
| P0403200I | EXP2025/011495 | AYUNTAMIENTO DE CARBONERAS. | T1 | 14,75 | 4 | 55 |
| P0700600J | EXP2025/012513 | AJUNTAMENT DE ARTA. | T1 | No ponderable | 4 | 54 |
| P1715900E | EXP2025/011414 | AJUNTAMENT DE RIUDELLOTS DE LA SELVA. | T1 | No ponderable | 4 | 54 |
| P1809200G | EXP2025/011813 | AYUNTAMIENTO DE LOS GUAJARES. | T1 | No ponderable | 4 | 54 |
| P1939600A | EXP2025/012128 | AYUNTAMIENTO DE YEBES. | T1 | No ponderable | 4 | 54 |
| P2211500J | EXP2025/012149 | AYUNTAMIENTO DE CASTEJON DE SOS. | T1 | No ponderable | 4 | 54 |
| P2805900D | EXP2025/011187 | AYUNTAMIENTO DE FUENTE EL SAZ DE JARAMA. | T1 | No ponderable | 4 | 54 |
| P1002200B | EXP2025/010940 | AYUNTAMIENTO ARROYO DE LA LUZ. | T1 | 50,00 | 4 | 54 |
| P3302300C | EXP2025/011156 | AYUNTAMIENTO DE EL FRANCO. | T1 | 40,00 | 4 | 54 |
| P3708700D | EXP2025/010435 | AYUNTAMIENTO DE CARRASCAL DE BARREGAS. | T1 | 37,92 | 4 | 54 |
| P4301100F | EXP2025/011640 | AYUNTAMIENTO DE ALMOSTER. | T1 | 34,83 | 4 | 54 |
| P3305700A | EXP2025/011979 | AYUNTAMIENTO DE RIBERA DE ARRIBA. | T1 | 34,65 | 4 | 54 |
| P4405000C | EXP/100064 | AYUNTAMIENTO DE CALAMOCHA. | T1 | 26,57 | 4 | 54 |
| P1400500C | EXP2025/011610 | AYUNTAMIENTO DE ALMOVODAR DEL RIO. | T1 | 23,33 | 4 | 54 |
| P4623100G | EXP2025/011423 | AYUNTAMIENTO DE SIETE AGUAS. | T1 | 22,75 | 4 | 54 |
| P4603500B | EXP2025/011753 | AJUNTAMENT DALMUSSAFES. | T1 | 20,00 | 4 | 54 |
| P1817000A | EXP2025/011334 | AYUNTAMIENTO DE PURULLENA. | T1 | 19,78 | 4 | 54 |
| P0601000C | EXP2025/011381 | AYUNTAMIENTO DE ALMENDRAL. | T1 | 19,39 | 4 | 54 |
| P4614500I | EXP2025/011833 | AYUNTAMIENTO DE XERACO. | T1 | 17,40 | 4 | 54 |
| P1300600B | EXP2025/011583 | AYUNTAMIENTO DE ALCOBA. | T1 | 17,14 | 4 | 54 |
| P2308800H | EXP2025/012108 | AYUNTAMIENTO DE TORREPEROGIL. | T1 | 16,61 | 4 | 54 |
| P0516800J | EXP2025/012424 | AYUNTAMIENTO DE LAS NAVAS DEL MARQUÉS. | T1 | 16,16 | 4 | 54 |
| P2101100B | EXP2025/011198 | AYUNTAMIENTO DE BEAS. | T1 | 15,46 | 4 | 54 |
| P2812500C | EXP2025/011584 | AYUNTAMIENTO DE ROBLEDO DE CHAVELA. | T1 | 15,20 | 4 | 54 |
| P2302600H | EXP2025/011894 | AYUNTAMIENTO DE CASTILLO DE LOCUBIN. | T1 | 15,00 | 4 | 54 |
| P2305900I | EXP2025/012188 | AYUNTAMIENTO DE MARMOLEJO. | T1 | 14,31 | 4 | 54 |
| P2307700A | EXP2025/011904 | AYUNTAMIENTO DE SANTIAGO DE CALATRAVA. | T1 | 14,24 | 4 | 54 |
| P0511500A | EXP2025/011815 | AYUNTAMIENTO DE MAELLO. | T1 | 13,90 | 4 | 54 |
| P1406700C | EXP2025/011461 | AYUNTAMIENTO DE VILLAFRANCA DE CORDOBA. | T1 | 12,50 | 4 | 54 |
| P4107000D | EXP2025/010815 | AYUNTAMIENTO PALOMARES DEL RIO. | T1 | 11,70 | 4 | 54 |
| P2900900H | EXP2025/011891 | AYUNTAMIENTO DE ALMACHAR. | T1 | 11,58 | 4 | 54 |
| P4614000J | EXP2025/010290 | AYUNTAMIENTO DE GUADASSEQUIES. | T1 | 11,56 | 4 | 54 |
| P3300600H | EXP2025/010971 | AYUNTAMIENTO DE BIMENES. | T1 | 10,00 | 4 | 54 |
| P4604700G | EXP2025/010249 | AYUNTAMIENTO DE BELGIDA. | T1 | 10,00 | 4 | 54 |
| P4612800E | EXP2025/010658 | AJUNTAMENT DE FOIOS. | T1 | 10,00 | 4 | 54 |
| P4623000I | EXP2025/012024 | AYUNTAMIENTO DE SERRA. | T1 | 10,00 | 4 | 54 |
| P1806200J | EXP2025/011766 | AYUNTAMIENTO DE CHIMENEAS. | T1 | 5,00 | 4 | 54 |
| P2801700B | EXP2025/012081 | AYUNTAMIENTO DE BATRES. | T1 | 3,95 | 4 | 54 |
| P0307700E | EXP2025/010388 | AYUNTAMIENTO DE HONDON DE LAS NIEVES. | T1 | 35,48 | 2 | 54 |
| P0907700I | EXP2025/011394 | AYUNTAMIENTO DE CARDEÑAJIMENO. | T1 | 20,00 | 2 | 54 |
| P4505400D | EXP2025/011540 | AYUNTAMIENTO DE CORRAL DE ALMAGUER. | T1 | 8,29 | 2 | 54 |
| P2102500B | EXP2025/012110 | AYUNTAMIENTO DE CORTEGANA. | T1 | 19,15 | 1 | 54 |
| P3736500D | EXP/100106 | AYUNTAMIENTO DE VILLARES DE LA REINA. | T1 | No ponderable | 3 | 51 |
| P0821300A | EXP2025/012158 | AJUNTAMENT DE VILASSAR DE DALT. | T1 | 61,85 | 3 | 51 |
| P1704000G | EXP2025/011800 | AJUNTAMENT DE CAMPDEVANOL. | T1 | 41,52 | 3 | 51 |
| P2521500E | EXP2025/011852 | AJUNTAMENT DE PONTS. | T1 | 20,00 | 3 | 51 |
| P4420200J | EXP2025/012154 | AYUNTAMIENTO DE LA PUEBLA DE HIJAR. | T1 | 18,69 | 3 | 51 |
| P4426000H | EXP2025/011780 | AYUNTAMIENTO DE VALDERROBRES. | T1 | 18,69 | 3 | 51 |
| P1405800B | EXP2025/010986 | AYUNTAMIENTO DE RUTE. | T1 | 18,21 | 3 | 51 |
| P2810200B | EXP2025/010978 | AYUNTAMIENTO DE ORUSCO. | T1 | 16,06 | 3 | 51 |
| P1712700B | EXP2025/011142 | AJUNTAMENT DE PALAU-SAVERDERA. | T1 | 13,59 | 3 | 51 |
| P1712900H | EXP2025/012100 | AJUNTAMENT DE PALAU SATOR. | T1 | 10,00 | 3 | 51 |
| P4510500D | EXP2025/010757 | AYUNTAMIENTO DE MONTEARAGON. | T1 | 10,00 | 3 | 51 |
| P2531900E | EXP2025/009325 | AJUNTAMENT DE VINAIXA. | T1 | 7,50 | 3 | 51 |
| P2002800G | EXP2025/011915 | ZESTOAKO UDALA / AYUNTAMIENTO DE ZESTOA. | T1 | 1,00 | 3 | 51 |
| P1302100A | EXP2025/011991 | AYUNTAMIENTO DE ARROBA DE LOS MONTES. | T1 | 15,15 | 4 | 50 |
| P0206700G | EXP2025/012090 | AYUNTAMIENTO DE RIOPAR. | T1 | No ponderable | 4 | 49 |
| P0516300A | EXP2025/011297 | AYUNTAMIENTO DE NAVALUENGA. | T1 | No ponderable | 4 | 49 |
| P3909400H | EXP2025/008740 | AYUNTAMIENTO DE VALDERREDIBLE. | T1 | No ponderable | 4 | 49 |
| P4110400A | EXP2025/011065 | AYUNTAMIENTO DE EL CUERVO. | T1 | No ponderable | 4 | 49 |
| P4413000C | EXP2025/010931 | AYUNTAMIENTO DE LA HOZ DE LA VIEJA. | T1 | 40,00 | 4 | 49 |
| P4203200C | EXP2025/011436 | AYUNTAMIENTO DE ALMAZAN. | T1 | 25,00 | 4 | 49 |
| P2301200H | EXP2025/012205 | AYUNTAMIENTO DE BEAS DE SEGURA. | T1 | 18,65 | 4 | 49 |
| P0518700J | EXP2025/012684 | AYUNTAMIENTO DE PIEDRALAVES. | T1 | 18,26 | 4 | 49 |
| P4811100I | EXP2025/011316 | AYUNTAMIENTO DE ZARATAMO. | T1 | 16,59 | 4 | 49 |
| P1804000F | EXP2025/011919 | AYUNTAMIENTO DE CANILES. | T1 | 16,40 | 4 | 49 |
| P0505400B | EXP2025/011681 | AYUNTAMIENTO DE CASAVIEJA. | T1 | 15,98 | 4 | 49 |
| P5009400B | EXP2025/012222 | AYUNTAMIENTO DE DAROCA. | T1 | 13,14 | 4 | 49 |
| P3002800E | EXP2025/011250 | AYUNTAMIENTO DE MORATALLA. | T1 | 12,70 | 4 | 49 |
| P1815200I | EXP2025/011559 | AYUNTAMIENTO DE OTURA. | T1 | 9,09 | 4 | 49 |
| P3905900A | EXP2025/011310 | AYUNTAMIENTO DE REINOSA. | T1 | 8,00 | 4 | 49 |
| P0402400F | EXP2025/011371 | AYUNTAMIENTO DE BENAHADUX. | T1 | 5,51 | 4 | 49 |
| P2514500D | EXP2025/010471 | AYUNTAMIENTO DE ALTO ANEU. | T1 | 5,06 | 4 | 49 |
| P1207500H | EXP2025/011426 | AJUNTAMENT DE LA MATA. | T1 | 3,81 | 4 | 49 |
| P4405600J | EXP2025/012208 | AYUNTAMIENTO DE CAMINREAL. | T1 | 3,10 | 4 | 49 |
| P1211700H | EXP2025/010875 | AYUNTAMIENTO DE TORREBLANCA. | T1 | 1,96 | 4 | 49 |
| P4625400I | EXP2025/011974 | AYUNTAMIENTO DE VALLANCA. | T1 | 1,23 | 4 | 49 |
| P0802800C | EXP2025/011079 | AYUNTAMIENTO DE CABRERA D ANOIA. | T1 | 25,00 | 2 | 49 |
| P0205700H | EXP/99615 | AYUNTAMIENTO DE OSSA DE MONTIEL. | T1 | 13,91 | 2 | 49 |
| P2422200B | EXP2025/011601 | AYUNTAMIENTO DE VILLANUEVA DE LAS MANZANAS. | T1 | 20,00 | 1 | 49 |
| P0929800A | EXP2025/010625 | AYUNTAMIENTO DE QUINTANAR DE LA SIERRA. | T1 | No ponderable | 4 | 48 |
| P4402900G | EXP2025/011799 | AYUNTAMIENTO DE ARIÑO. | T1 | No ponderable | 4 | 48 |
| P4615900J | EXP2025/011878 | AYUNTAMIENTO DE LA LLOSA DE RANES. | T1 | No ponderable | 3 | 46 |
| P0808300H | EXP2025/012178 | AJUNTAMENT DE FONOLLOSA. | T1 | 29,26 | 3 | 46 |
| P4015700J | EXP2025/011733 | AYUNTAMIENTO DE MOZONCILLO. | T1 | 16,00 | 3 | 46 |
| P5000600F | EXP2025/011298 | AYUNTAMIENTO DE AINZON. | T1 | 11,19 | 3 | 46 |
| P2216800I | EXP2025/011401 | AYUNTAMIENTO DE HECHO. | T1 | 10,00 | 3 | 46 |
| P0806700A | EXP2025/011582 | AJUNTAMENT DE CERVELLO. | T1 | 6,83 | 3 | 46 |
| P4709900G | EXP2025/012073 | AYUNTAMIENTO DE MUCIENTES. | T1 | 6,40 | 3 | 46 |
| P4421300G | EXP2025/010902 | AYUNTAMIENTO DE RUBIELOS DE MORA. | T1 | 20,00 | 4 | 45 |
| P2523400F | EXP2025/011744 | AJUNTAMENT DE SALAS DE PALLARS. | T1 | No ponderable | 3 | 45 |
| P1806000D | EXP2025/011010 | AYUNTAMIENTO DE CHAUCHINA. | T1 | No ponderable | 4 | 44 |
| P1403900B | EXP2025/011070 | AYUNTAMIENTO DE LUQUE. | T1 | 20,14 | 4 | 44 |
| P0703400B | EXP2025/012034 | AJUNTAMENT DE MANCOR DEL VALL. | T1 | 17,19 | 4 | 44 |
| P0700900D | EXP2025/011407 | AJUNTAMENT DE BUGER. | T1 | 16,76 | 4 | 44 |
| P1801100G | EXP2025/011336 | AYUNTAMIENTO DE ALDEIRE. | T1 | 14,59 | 4 | 44 |
| P1801400A | EXP2025/011763 | AYUNTAMIENTO DE ALHAMA DE GRANADA. | T1 | 10,04 | 4 | 44 |
| P3801300I | EXP2025/010667 | AYUNTAMIENTO DE FRONTERA. | T1 | 10,00 | 4 | 44 |
| P0524100E | EXP2025/011443 | AYUNTAMIENTO DE EL TIEMBLO. | T1 | 9,09 | 4 | 44 |
| P5025500I | EXP2025/012094 | AYUNTAMIENTO DE TAUSTE. | T1 | 8,74 | 4 | 44 |
| P2500300E | EXP2025/011574 | AJUNTAMENT DAGRAMUNT. | T1 | 5,00 | 4 | 44 |
| P1401000C | EXP2025/011696 | AYUNTAMIENTO DE BENAMEJI. | T1 | 4,58 | 4 | 44 |
| P3301200F | EXP2025/012114 | AYUNTAMIENTO DE CANGAS DE ONIS. | T1 | 3,85 | 4 | 44 |
| P2505500E | EXP2025/011346 | AJUNTAMENT DE BELIANES. | T1 | No ponderable | 2 | 44 |
| P2804200J | EXP2025/010597 | AYUNTAMIENTO DE COLMENAR DEL ARROYO. | T1 | 40,00 | 2 | 44 |
| P4016500C | EXP2025/011876 | AYUNTAMIENTO DE NAVALMANZANO. | T1 | 20,00 | 2 | 44 |
| P1405100G | EXP2025/011527 | AYUNTAMIENTO PEDROCHE. | T1 | 5,12 | 2 | 44 |
| P0608500E | EXP2025/011488 | AYUNTAMIENTO DE MONESTERIO. | T1 | 0,99 | 2 | 44 |
| P1407200C | EXP2025/011377 | AYUNTAMIENTO DE VILLARALTO. | T1 | No ponderable | 1 | 44 |
| P2514800H | EXP2025/010963 | AJUNTAMENT DE LA GUINGUETA DÀNEU. | T1 | 4,79 | 1 | 44 |
| P1803100E | EXP2025/011747 | AYUNTAMIENTO DE BERCHULES. | T1 | 4,60 | 3 | 42 |
| P4318400A | EXP2025/011387 | AYUNTAMIENTO DE L ALDEA. | T1 | 20,00 | 3 | 41 |
| P1903700A | EXP2025/009286 | AYUNTAMIENTO DE ANGUITA. | T1 | 10,00 | 3 | 41 |
| P1813000E | EXP2025/012153 | AYUNTAMIENTO DE ALPUJARRA DE LA SIERRA. | T1 | 6,70 | 3 | 41 |
| P5007300F | EXP2025/011498 | AYUNTAMIENTO DE CARIÑENA. | T1 | 20,15 | 4 | 39 |
| P1812700A | EXP2025/011247 | AYUNTAMIENTO DE LA MALAHA. | T1 | 19,09 | 4 | 39 |
| P1616300H | EXP2025/011528 | AYUNTAMIENTO DE LAS PEDROÑERAS. | T1 | 10,00 | 4 | 39 |
| P2406300J | EXP2025/011558 | AYUNTAMIENTO DE CUADROS. | T1 | 10,00 | 4 | 39 |
| P1214300D | EXP2025/011274 | AYUNTAMIENTO DE ALQUERíAS DEL NIÑO PERDIDO. | T1 | 12,18 | 2 | 39 |
| P0408900I | EXP2025/011727 | AYUNTAMIENTO TABERNO. | T1 | 21,94 | 1 | 39 |
| P2306600D | EXP2025/011892 | AYUNTAMIENTO DE PEAL DE BECERRO. | T1 | 25,03 | 3 | 37 |
| P2530700J | EXP2025/010555 | AJUNTAMENT DE VILALLER (AGRUPACIÓN CON AJUNTAMENT DE SENET). | T1 | 0,22 | 3 | 37 |
| P2525900C | EXP2025/011342 | AJUNTAMENT DE SORIGUERA. | T1 | No ponderable | 3 | 36 |
| P2101400F | EXP2025/011457 | AYUNTAMIENTO DE BONARES. | T1 | 18,18 | 3 | 36 |
| P0409000G | EXP2025/010277 | AYUNTAMIENTO DE TAHAL. | T1 | 16,67 | 3 | 36 |
| P4606900A | EXP2025/011110 | AJUNTAMENT DE BENISSANO. | T1 | 9,75 | 3 | 36 |
| P4600027I | EXP2025/011680 | AYUNTAMIENTO BENICULL. | T1 | 9,41 | 3 | 36 |
| P4425200E | EXP2025/010703 | AYUNTAMIENTO DE VALACLOCHE. | T1 | 3,85 | 3 | 36 |
| P4405400E | EXP2025/010698 | AYUNTAMIENTO DE CAMARENA DE LA SIERRA. | T1 | 1,96 | 3 | 36 |
| P1810400J | EXP2025/011965 | AYUNTAMIENTO DE ILLORA. | T1 | 33,33 | 4 | 34 |
| P1812200B | EXP2025/011372 | AYUNTAMIENTO DE LOBRAS. | T1 | 25,42 | 4 | 34 |
| P5002900H | EXP2025/012028 | AYUNTAMIENTO DE ANIÑÓN. | T1 | 20,00 | 4 | 34 |
| P2522600B | EXP2025/008825 | AJUNTAMENT DE RIALP. | T1 | 15,17 | 4 | 34 |
| P1717800E | EXP2025/011999 | AJUNTAMENT DE ST JOAN DE MOLLET. | T1 | 10,01 | 4 | 34 |
| P4607900J | EXP2025/011081 | AYUNTAMIENTO DE BUÑOL. | T1 | No ponderable | 2 | 34 |
| P1602700E | EXP2025/011996 | AYUNTAMIENTO DE BARAJAS DE MELO. | T1 | 50,00 | 2 | 34 |
| P1603500H | EXP2025/011754 | AYUNTAMIENTO DE BETETA. | T1 | 34,14 | 2 | 34 |
| P1402400D | EXP2025/011389 | AYUNTAMIENTO DE ENCINAS REALES. | T1 | 4,71 | 2 | 34 |
| P2500600H | EXP2025/011625 | AJUNTAMENT DE LALBAGES. | T1 | 25,49 | 1 | 34 |
| P0106100A | EXP2025/011725 | KANPEZUKO UDALA / AYUNTAMIENTO DE CAMPEZO. | T1 | 10,00 | 1 | 34 |
| P1001100E | EXP2025/010705 | AYUNTAMIENTO DE ALDEACENTENERA. | T1 | No ponderable | 0 | 34 |
| P1200200B | EXP2025/011207 | AYUNTAMIENTO DE AIN. | T1 | No ponderable | 3 | 31 |
| P2815600H | EXP2025/008805 | AYUNTAMIENTO DE VALDEAVERO. | T1 | 32,64 | 3 | 31 |
| P2512600D | EXP2025/010827 | AJUNTAMENT DE BAIX PALLARS. | T1 | 8,82 | 3 | 31 |
| P3804700G | EXP2025/011636 | AYUNTAMIENTO DE TIJARAFE. | T1 | 3,40 | 3 | 31 |
| P2307800I | EXP2025/010639 | AYUNTAMIENTO SANTIAGO-PONTONES. | T1 | 6,81 | 4 | 29 |
| P1209400I | EXP/100000 | AJUNTAMENT DE LA POBLA TORNESA. | T1 | 2,41 | 4 | 29 |
| P2612500E | EXP2025/010946 | AYUNTAMIENTO DE RINCON DE SOTO. | T1 | 20,00 | 2 | 29 |
| P1310000C | EXP2025/011711 | AYUNTAMIENTO DE RUIDERA. | T1 | 14,40 | 2 | 29 |
| P2420600E | EXP2025/011675 | AYUNTAMIENTO DE VILLABLINO. | T1 | 1,79 | 2 | 29 |
| P1401900D | EXP2025/011929 | AYUNTAMIENTO DE CASTRO DEL RIO. | T1 | 14,29 | 4 | 24 |
| P5018800B | EXP2025/011702 | AYUNTAMIENTO DE NIGUELLA. | T1 | 5,00 | 4 | 24 |
| P0408700C | EXP2025/011358 | AYUNTAMIENTO DE SUFLI. | T1 | 1,06 | 4 | 24 |
| P2106800B | EXP2025/012082 | AYUNTAMIENTO DE SANTA OLALLA DE CALA. | T1 | 1,00 | 2 | 24 |
| P0508900H | EXP2025/012042 | AYUNTAMIENTO DE GUISANDO. | T1 | 9,09 | 1 | 24 |
| P4808700A | EXP2025/011850 | AYUNTAMIENTO DE ORDUÑA. | T1 | No ponderable | 4 | 19 |
| P0405700F | EXP2025/011483 | AYUNTAMIENTO DE LAUJAR DE ANDARAX. | T1 | No ponderable | 1 | 18 |
| P1405000I | EXP2025/010601 | AYUNTAMIENTO DE PEDRO ABAD. | T1 | 5,57 | 3 | 16 |
| P0404800E | EXP2025/014756 | AYUNTAMIENTO DE LOS GALLARDOS. | T1 | 5,00 | 4 | 14 |
| P1925200F | EXP2025/011606 | AYUNTAMIENTO DE PAREJA. | T1 | No ponderable | 2 | 14 |
| P5001700C | EXP2025/012003 | AYUNTAMIENTO DE ALFAJARIN. | T1 | 20,00 | 1 | 9 |
| P1404300D | EXP2025/011893 | AYUNTAMIENTO DE MONTORO. | T1 | 10,26 | 1 | 4 |
| P2306100E | EXP2025/010824 | EXCMO AYUNTAMIENTO DE MENGIBAR. | T2 | No ponderable | 4 | 79 |
| P2908400A | EXP2025/011262 | AYUNTAMIENTO DE RONDA. | T2 | No ponderable | 4 | 79 |
| P4513300F | EXP2025/012175 | AYUNTAMIENTO DE PEPINO (Agrupación con los ayuntamientos de Lucillos, San Román de los Montes, Villacañas, Velada, Marrupe, San Bartolomé de las Abiertas, La Guardia, Belvís de la Jara, Madridejos, Camarena, Robledo del Mazo). | T2 | 64,41 | 4 | 79 |
| P3603300I | EXP2025/011452 | CONCELLO DE MOS. | T2 | 60,00 | 4 | 79 |
| P0100200E | EXP2025/011562 | AYUNTAMIENTO DE AMURRIO - AMURRIOKO UDALA. | T2 | 54,92 | 4 | 79 |
| P3004300D | EXP2025/011455 | AYUNTAMIENTO DE YECLA. | T2 | 36,00 | 4 | 79 |
| P3000800G | EXP2025/011311 | AYUNTAMIENTO DE ALHAMA DE MURCIA. | T2 | 29,75 | 4 | 79 |
| P4701100B | EXP2025/011609 | AYUNTAMIENTO DE ARROYO DE LA ENCOMIENDA. | T2 | 26,65 | 4 | 79 |
| P2308600B | EXP2025/012007 | AYUNTAMIENTO DE TORREDELCAMPO. | T2 | 25,00 | 4 | 79 |
| P0615300A | EXP2025/010568 | AYUNTAMIENTO DE VILLANUEVA DE LA SERENA. | T2 | 24,36 | 4 | 79 |
| P0208100H | EXP2025/011870 | AYUNTAMIENTO DE VILLARROBLEDO. | T2 | 23,12 | 4 | 79 |
| P2806800E | EXP2025/011192 | AYUNTAMIENTO DE GUADARRAMA. | T2 | 22,93 | 4 | 79 |
| P1802400J | EXP2025/012010 | AYUNTAMIENTO DE BAZA. | T2 | 20,00 | 4 | 79 |
| P3803200I | EXP2025/012052 | AYUNTAMIENTO EL ROSARIO. | T2 | 20,00 | 4 | 79 |
| P0400600C | EXP/99610 | AYUNTAMIENTO DE ALBOX. | T2 | 18,55 | 4 | 79 |
| P5009500I | EXP2025/011927 | AYUNTAMIENTO DE EJEA DE LOS CABALLEROS. | T2 | 17,45 | 4 | 79 |
| P0307900A | EXP2025/011542 | AYUNTAMIENTO DE IBI. | T2 | 16,20 | 4 | 79 |
| P3902000C | EXP2025/011390 | AYUNTAMIENTO DE CASTRO URDIALES. | T2 | 15,94 | 4 | 79 |
| G45483740 | EXP2025/011931 | ASOC COMARCAL CASTILLOS DEL MEDIO TAJO. | T2 | 15,52 | 4 | 79 |
| P0615800J | EXP2025/011076 | AYUNTAMIENTO DE ZAFRA. | T2 | 15,03 | 4 | 79 |
| P0704400A | EXP2025/011599 | AJUNTAMENT DE SA POBLA. | T2 | 14,86 | 4 | 79 |
| P4517400J | EXP2025/011615 | AYUNTAMIENTO DE TORRIJOS. | T2 | 14,18 | 4 | 79 |
| P2517200H | EXP2025/011938 | AJUNTAMENT DE MOLLERUSSA. | T2 | 14,01 | 4 | 79 |
| P3002900C | EXP2025/012212 | AYUNTAMIENTO DE MULA. | T2 | 12,96 | 4 | 79 |
| P1305300D | EXP2025/011510 | AYUNTAMIENTO DE MANZANARES. | T2 | 12,00 | 4 | 79 |
| P2221800B | EXP2025/011230 | AYUNTAMIENTO DE MONZON. | T2 | 11,93 | 4 | 79 |
| P0403500B | EXP2025/011363 | AYUNTAMIENTO DE CUEVAS DEL ALMANZORA. | T2 | 11,31 | 4 | 79 |
| P1900000I | EXP2025/011575 | DIPUTACIÓN DE GUADALAJARA. | T2 | 11,20 | 4 | 79 |
| P4500002C | EXP2025/011530 | MANCOMUNIDAD DE SERVICIOS DE LA SAGRA BAJA. | T2 | 11,15 | 4 | 79 |
| P3001500B | EXP2025/011594 | AYUNTAMIENTO DE CARAVACA DE LA CRUZ. | T2 | 10,50 | 4 | 79 |
| P1801500H | EXP2025/012104 | AYUNTAMIENTO DE ALHENDIN. | T2 | 10,00 | 4 | 79 |
| P4620700G | EXP2025/011644 | AYUNTAMIENTO DE PUÇOL. | T2 | 8,25 | 4 | 79 |
| P4618300J | EXP2025/012058 | AYUNTAMIENTO DE OLIVA. | T2 | 8,01 | 4 | 79 |
| P4605100I | EXP2025/009650 | AYUNTAMIENTO DE BENAGUASIL. | T2 | 7,80 | 4 | 79 |
| P0601100A | EXP2025/011998 | AYUNTAMIENTO DE ALMENDRALEJO. | T2 | 7,59 | 4 | 79 |
| P2300200I | EXP2025/011554 | AYUNTAMIENTO DE ALCALA LA REAL. | T2 | 7,54 | 4 | 79 |
| P2100116I | EXP2025/011869 | MANCOMUNIDAD DE MUNICIPIOS BETURIA. | T2 | 5,00 | 4 | 76 |
| P4108100A | EXP2025/012072 | AYUNTAMIENTO DE LA RINCONADA. | T2 | 18,40 | 3 | 76 |
| P2104400C | EXP2025/011914 | AYUNTAMIENTO DE LEPE. | T2 | 16,00 | 3 | 76 |
| P0823800H | EXP2025/012846 | AYTO DE SAN QUIRCE DEL VALLES. | T2 | No ponderable | 4 | 74 |
| P1307800A | EXP2025/012206 | AYUNTAMIENTO DE SOCUELLAMOS. | T2 | No ponderable | 4 | 74 |
| P3802600A | EXP2025/011889 | AYUNTAMIENTO DE LA OROTAVA. | T2 | No ponderable | 4 | 74 |
| P4106500D | EXP2025/011340 | AYUNTAMIENTO DE MORÓN DE LA FRONTERA. | T2 | No ponderable | 4 | 74 |
| P0829600F | EXP2025/011321 | AYUNTAMIENTO DE VALLIRANA. | T2 | 79,13 | 4 | 74 |
| P0810900A | EXP2025/011506 | AYUNTAMIENTO DE MALGRAT. | T2 | 23,28 | 4 | 74 |
| P0407500H | EXP2025/011698 | AYUNTAMIENTO DE PULPI. | T2 | 22,92 | 4 | 74 |
| P4106000E | EXP2025/011917 | AYUNTAMIENTO DE MARCHENA. | T2 | 22,29 | 4 | 74 |
| P2706700H | EXP2025/010808 | AYUNTAMIENTO DE VIVEIRO. | T2 | 20,00 | 4 | 74 |
| P0308900J | EXP2025/011531 | AYUNTAMIENTO DE MONOVAR. | T2 | 16,67 | 4 | 74 |
| P0609500D | EXP2025/012060 | AYUNTAMIENTO DE OLIVENZA. | T2 | 13,70 | 4 | 74 |
| P0402900E | EXP2025/012683 | AYUNTAMIENTO DE BERJA. | T2 | 11,36 | 4 | 74 |
| P2607100A | EXP2025/011863 | AYUNTAMIENTO DE HARO. | T2 | 11,11 | 4 | 74 |
| P3190300H | EXP2025/011624 | AYUNTAMIENTO DE BERRIOZAR. | T2 | 10,92 | 4 | 74 |
| P2601800B | EXP2025/011062 | AYUNTAMIENTO DE ARNEDO. | T2 | 10,81 | 4 | 74 |
| P4500004I | EXP2025/012097 | MANCOMUNIDAD DE MUNICIPIOS SAGRA ALTA. | T2 | 10,56 | 4 | 74 |
| P1907000B | EXP2025/011224 | AYUNTAMIENTO DE CABANILLAS DEL CAMPO. | T2 | 10,39 | 4 | 74 |
| P1400046G | EXP2025/012216 | MANCOMUNIDAD COMARCA CORDOBESA ALTO GUADALQUIVIR. | T2 | 9,09 | 4 | 74 |
| P3501500G | EXP2025/012415 | AYUNTAMIENTO DE LA OLIVA. | T2 | 5,64 | 4 | 74 |
| P5000038I | EXP2025/011503 | COMARCA DEL CAMPO DE CARIÑENA. | T2 | 7,76 | 3 | 71 |
| P1200500E | EXP2025/011618 | AJUNTAMENT DE LALCORA. | T2 | 29,10 | 4 | 70 |
| P0200900I | EXP2025/011463 | AYUNTAMIENTO DE ALMANSA. | T2 | 20,00 | 4 | 70 |
| P1202800G | EXP2025/011759 | AYUNTAMIENTO DE BENICASSIM. | T2 | 15,94 | 4 | 70 |
| P2305800A | EXP2025/011913 | AYUNTAMIENTO DE MANCHA REAL. | T2 | 15,11 | 4 | 70 |
| P3001700H | EXP2025/011499 | AYUNTAMIENTO DE CEHEGIN. | T2 | 7,94 | 4 | 70 |
| P1103000D | EXP2025/011960 | AYUNTAMIENTO ROTA. | T2 | No ponderable | 4 | 69 |
| P1802300B | EXP2025/011044 | AYUNTAMIENTO DE ATARFE. | T2 | No ponderable | 4 | 69 |
| P2804000D | EXP2025/011628 | AYUNTAMIENTO DE CIEMPOZUELOS. | T2 | No ponderable | 4 | 69 |
| P2816700E | EXP2025/011804 | AYUNTAMIENTO DE VELILLA DE SAN ANTONIO. | T2 | No ponderable | 4 | 69 |
| P3004100H | EXP2025/011740 | AYUNTAMIENTO DE LA UNION. | T2 | No ponderable | 4 | 69 |
| P3004500I | EXP2025/011306 | AYUNTAMIENTO DE LOS ALCAZARES. | T2 | No ponderable | 4 | 69 |
| P4601100C | EXP2025/012031 | AYUNTAMIENTO DE ALBERIC. | T2 | No ponderable | 4 | 69 |
| P4608300B | EXP2025/011456 | AJUNTAMENT DE CANALS. | T2 | No ponderable | 4 | 69 |
| P4318500H | EXP2025/011379 | AJUNTAMENT DE SALOU. | T2 | 80,66 | 4 | 69 |
| P1812800I | EXP2025/011985 | AYUNTAMIENTO DE MARACENA. | T2 | 42,86 | 4 | 69 |
| P0301800I | EXP2025/011173 | AYUNTAMIENTO DE ALTEA. | T2 | 40,00 | 4 | 69 |
| P3501200D | EXP2025/011493 | AYUNTAMIENTO DE INGENIO. | T2 | 40,00 | 4 | 69 |
| P4611300G | EXP2025/011515 | AYUNTAMIENTO DE CHIVA. | T2 | 40,00 | 4 | 69 |
| P4315500A | EXP2025/011200 | AJUNTAMENT DE TORREDEMBARRA. | T2 | 35,09 | 4 | 69 |
| P0922400G | EXP2025/012077 | AYUNTAMIENTO DE MIRANDA DE EBRO. | T2 | 34,77 | 4 | 69 |
| P3604200J | EXP2025/011121 | CONCELLO DE PONTEAREAS. | T2 | 33,77 | 4 | 69 |
| P0827000A | EXP2025/011826 | AJUNTAMENT DE SITGES. | T2 | 30,68 | 4 | 69 |
| P2309200J | EXP2025/011930 | AYUNTAMIENTO DE UBEDA. | T2 | 30,00 | 4 | 69 |
| P2422600C | EXP2025/011779 | AYUNTAMIENTO DE VILLAQUILAMBRE. | T2 | 30,00 | 4 | 69 |
| P1814800G | EXP2025/011619 | AYUNTAMIENTO DE OGIJARES. | T2 | 29,71 | 4 | 69 |
| P4609600D | EXP2025/011292 | AYUNTAMIENTO DE CATARROJA. | T2 | 28,79 | 4 | 69 |
| P1308700B | EXP2025/012059 | AYUNTAMIENTO DE VALDEPEÑAS. | T2 | 28,11 | 4 | 69 |
| P1208200D | EXP2025/011385 | AYUNTAMIENTO DE NULES. | T2 | 27,37 | 4 | 69 |
| P0821000G | EXP2025/011466 | AJUNTAMENT DE SANT FELIU DE LLOBREGAT. | T2 | 26,39 | 4 | 69 |
| P0825000C | EXP2025/011658 | AYUNTAMIENTO DE SANTA MARGARIDA DE MONTBUI. | T2 | 26,23 | 4 | 69 |
| P0811300C | EXP2025/011717 | AYUNTAMIENTO DE MARTORELL. | T2 | 25,89 | 4 | 69 |
| P1808300F | EXP2025/012036 | AYUNTAMIENTO DE LAS GABIAS. | T2 | 25,48 | 4 | 69 |
| P0410200J | EXP2025/011564 | AYUNTAMIENTO DE VICAR. | T2 | 25,33 | 4 | 69 |
| P1809100I | EXP2025/011888 | AYUNTAMIENTO DE GUADIX. | T2 | 25,33 | 4 | 69 |
| P0410000D | EXP2025/011492 | AYUNTAMIENTO DE VERA. | T2 | 25,00 | 4 | 69 |
| P3004400B | EXP2025/011715 | EXCMO.AYUNTAMIENTO DE SANTOMERA. | T2 | 25,00 | 4 | 69 |
| P3001300G | EXP2025/011485 | AYUNTAMIENTO DE CALASPARRA. | T2 | 24,66 | 4 | 69 |
| P1015100I | EXP2025/011909 | AYUNTAMIENTO PLASENCIA. | T2 | 24,61 | 4 | 69 |
| P3001200I | EXP2025/010117 | AYUNTAMIENTO DE BULLAS. | T2 | 23,90 | 4 | 69 |
| P0312100A | EXP2025/012171 | AYUNTAMIENTO DE SANTA POLA. | T2 | 23,81 | 4 | 69 |
| P4601300I | EXP2025/011324 | AYUNTAMIENTO DE ALBORAYA. | T2 | 23,72 | 4 | 69 |
| P1712400I | EXP2025/011244 | AJUNTAMENT DE PALAFRUGELL. | T2 | 23,52 | 4 | 69 |
| P2817600F | EXP2025/011970 | AYUNTAMIENTO DE VILLANUEVA DE LA CAÑADA. | T2 | 23,16 | 4 | 69 |
| P3000300H | EXP2025/011213 | AYUNTAMIENTO DE AGUILAS. | T2 | 23,11 | 4 | 69 |
| P1902900H | EXP2025/011972 | AYUNTAMIENTO DE ALOVERA. | T2 | 22,99 | 4 | 69 |
| P0808500C | EXP2025/011975 | AJUNTAMENT DE LES FRANQUESES DEL VALLÈS. | T2 | 22,38 | 4 | 69 |
| P0703100H | EXP2025/011395 | AJUNTAMENT DE LLUCMAJOR. | T2 | 22,21 | 4 | 69 |
| P1721200B | EXP2025/011701 | AJUNTAMENT DE TORROELLA DE MONTGRI. | T2 | 22,17 | 4 | 69 |
| P4614700E | EXP2025/011641 | AJUNTAMENT DE XATIVA. | T2 | 21,47 | 4 | 69 |
| P1705200B | EXP2025/011405 | AJUNTAMENT DE CASTELLO D'EMPURIES. | T2 | 21,24 | 4 | 69 |
| P2900800J | EXP2025/011752 | AYUNTAMIENTO DE ALHAURIN EL GRANDE. | T2 | 21,22 | 4 | 69 |
| P4618600C | EXP2025/012021 | AJUNTAMENT DONTINYENT. | T2 | 20,99 | 4 | 69 |
| P4625100E | EXP2025/011743 | AYUNTAMIENTO DE UTIEL. | T2 | 20,98 | 4 | 69 |
| P4616100F | EXP2025/012041 | AYUNTAMIENTO DE MANISES. | T2 | 20,91 | 4 | 69 |
| P3303100F | EXP2025/012899 | AYUNTAMIENTO DE LANGREO. | T2 | 20,88 | 4 | 69 |
| P1307900I | EXP2025/010387 | AYUNTAMIENTO DE LA SOLANA. | T2 | 20,54 | 4 | 69 |
| P2107900I | EXP2025/011473 | AYUNTAMIENTO DE PUNTA UMBRIA. | T2 | 20,48 | 4 | 69 |
| P4616700C | EXP2025/010867 | AJUNTAMENT DE MASSANASSA. | T2 | 20,32 | 4 | 69 |
| P0400300J | EXP2025/011279 | AYUNTAMIENTO DE ADRA. | T2 | 20,00 | 4 | 69 |
| P4101700E | EXP2025/011471 | AYUNTAMIENTO DE BORMUJOS. | T2 | 20,00 | 4 | 69 |
| P4508200E | EXP2025/012142 | AYUNTAMIENTO DE ILLESCAS. | T2 | 20,00 | 4 | 69 |
| P3001800F | EXP2025/011842 | AYUNTAMIENTO DE CEUTI. | T2 | 19,19 | 4 | 69 |
| P2208300J | EXP2025/010712 | AYUNTAMIENTO DE BINEFAR. | T2 | 18,92 | 4 | 69 |
| P5027700C | EXP2025/011566 | AYUNTAMIENTO DE UTEBO. | T2 | 18,78 | 4 | 69 |
| P2817200E | EXP2025/011369 | AYUNTAMIENTO DE VILLALBILLA. | T2 | 18,52 | 4 | 69 |
| P1810300B | EXP2025/011308 | AYUNTAMIENTO DE HUETOR VEGA. | T2 | 18,19 | 4 | 69 |
| P4422900C | EXP2025/011171 | AYUNTAMIENTO DE TERUEL. | T2 | 17,63 | 4 | 69 |
| P4902300E | EXP2025/012874 | AYUNTAMIENTO DE BENAVENTE. | T2 | 16,96 | 4 | 69 |
| P4610400F | EXP2025/011868 | AYUNTAMIENTO DE QUART DE POBLET. | T2 | 16,67 | 4 | 69 |
| P4227700D | EXP2025/011160 | AYUNTAMIENTO DE SORIA. | T2 | 16,65 | 4 | 69 |
| P2104200G | EXP2025/011928 | AYUNTAMIENTO DE ISLA CRISTINA. | T2 | 15,96 | 4 | 69 |
| P1300500D | EXP2025/011190 | AYUNTAMIENTO DE ALCAZAR DE SAN JUAN. | T2 | 15,85 | 4 | 69 |
| P4610700I | EXP2025/011094 | AYUNTAMIENTO DE CULLERA. | T2 | 15,70 | 4 | 69 |
| P0311900E | EXP2025/011708 | AYUNTAMIENTO DE SANT JOAN DALACANT. | T2 | 15,50 | 4 | 69 |
| P1710200E | EXP2025/011906 | AJUNTAMENT DE LLORET DE MAR. | T2 | 15,40 | 4 | 69 |
| P0301500E | EXP2025/011111 | AYUNTAMIENTO DE ALMORADI. | T2 | 14,72 | 4 | 69 |
| P0405200G | EXP2025/011333 | AYUNTAMIENTO DE HUERCAL DE ALMERIA. | T2 | 14,58 | 4 | 69 |
| P1507400H | EXP2025/011907 | CONCELLO DE RIBEIRA. | T2 | 14,03 | 4 | 69 |
| P3002200H | EXP2025/011337 | AYUNTAMIENTO DE JUMILLA. | T2 | 13,85 | 4 | 69 |
| P3123200B | EXP2025/011352 | AYUNTAMIENTO DE TUDELA. | T2 | 13,46 | 4 | 69 |
| P0704200E | EXP2025/011896 | AJUNTAMENT DE POLLENSA. | T2 | 13,30 | 4 | 69 |
| P3710700J | EXP2025/011735 | AYUNTAMIENTO CIUDAD RODRIGO. | T2 | 12,73 | 4 | 69 |
| P1404900A | EXP2025/009290 | AYUNTAMIENTO DE PALMA DEL RIO. | T2 | 12,04 | 4 | 69 |
| P2102100A | EXP2025/012151 | AYUNTAMIENTO DE CARTAYA. | T2 | 11,44 | 4 | 69 |
| P0304900D | EXP2025/011767 | AYUNTAMIENTO DE CALLOSA DE SEGURA. | T2 | 10,53 | 4 | 69 |
| P1101400H | EXP2025/011320 | AYUNTAMIENTO DE CONIL DE LA FRA. | T2 | 10,00 | 4 | 69 |
| P3002600I | EXP2025/011593 | AYUNTAMIENTO DE MAZARRON. | T2 | 10,00 | 4 | 69 |
| P3303700C | EXP2025/011398 | AYUNTAMIENTO DE MIERES. | T2 | 10,00 | 4 | 69 |
| P4617400I | EXP2025/011737 | AJUNTAMENT DE MONTSERRAT. | T2 | 10,00 | 4 | 69 |
| P0826000B | EXP2025/011214 | AJUNTAMENT DE SANTA PERPETUA DE MOGODA. | T2 | 7,90 | 4 | 69 |
| P4601500D | EXP2025/011734 | AYUNTAMIENTO DE ALCASSER. | T2 | 4,49 | 4 | 69 |
| P3000900E | EXP2025/011761 | AYUNTAMIENTO DE ARCHENA. | T2 | 4,00 | 4 | 69 |
| P4516200E | EXP2025/011994 | AYUNTAMIENTO DE SESEÑA. | T2 | No ponderable | 4 | 68 |
| P1712500F | EXP2025/011438 | AJUNTAMENT DE PALAMÓS. | T2 | 30,11 | 3 | 67 |
| P0305900C | EXP2025/011145 | AYUNTAMIENTO DE CREVILLENT. | T2 | No ponderable | 3 | 66 |
| P0608800I | EXP2025/010817 | AYUNTAMIENTO DE MONTIJO. | T2 | 20,00 | 3 | 66 |
| P0901800C | EXP2025/011902 | AYUNTAMIENTO DE ARANDA DE DUERO. | T2 | 20,00 | 4 | 65 |
| P3802800G | EXP2025/012111 | EXCMO. AYUNTAMIENTO DE PUERTO DE LA CRUZ. | T2 | No ponderable | 4 | 64 |
| P2414500E | EXP2025/011983 | AYUNTAMIENTO DE SAN ANDRES DEL RABANEDO. | T2 | 52,50 | 4 | 64 |
| P4601700J | EXP2025/010526 | AYUNTAMIENTO DE ALZIRA. | T2 | 50,00 | 4 | 64 |
| P0808800G | EXP2025/011411 | Ajuntament de Gavà. | T2 | 40,31 | 4 | 64 |
| P4625800J | EXP2025/011313 | AYUNTAMIENTO DE VILAMARXANT. | T2 | 32,03 | 4 | 64 |
| P0206900C | EXP2025/011197 | AYUNTAMIENTO DE LA RODA. | T2 | 30,00 | 4 | 64 |
| P0703600G | EXP2025/011843 | AJUNTAMENT DE MARRATXI. | T2 | 29,03 | 4 | 64 |
| P0819600H | EXP2025/011548 | AJUNTAMENT DE SANT ANDREU DE LLAVANERES. | T2 | 28,91 | 4 | 64 |
| P4305200J | EXP2025/012054 | AJUNTAMENT DE CUNIT. | T2 | 26,78 | 4 | 64 |
| P5007400D | EXP2025/010965 | AYUNTAMIENTO DE CASPE. | T2 | 25,00 | 4 | 64 |
| P3804600I | EXP2025/011587 | AYUNTAMIENTO DE TEGUESTE. | T2 | 22,83 | 4 | 64 |
| P0800600I | EXP2025/011307 | AJUNTAMENT DARENYS DE MAR. | T2 | 21,43 | 4 | 64 |
| P3905200F | EXP2025/011703 | AYUNTAMIENTO DE PIELAGOS. | T2 | 20,00 | 4 | 64 |
| P4801900D | EXP2025/011428 | AYUNTAMIENTO DE BASAURI - BASAURIKO UDALA. | T2 | 20,00 | 4 | 64 |
| P3903500A | EXP2025/011967 | AYUNTAMIENTO DE LAREDO. | T2 | 18,11 | 4 | 64 |
| P4812400B | EXP2025/011067 | AYUNTAMIENTO DE ERANDIO. | T2 | 16,61 | 4 | 64 |
| P4101100H | EXP2025/011073 | AYUNTAMIENTO DE EL ARAHAL. | T2 | 11,92 | 4 | 64 |
| P0705500G | EXP2025/010975 | AJUNTAMENT DE SANTA MARGALIDA. | T2 | 11,80 | 4 | 64 |
| P1102800H | EXP2025/011260 | AYUNTAMIENTO DE PUERTO REAL. | T2 | 10,00 | 4 | 64 |
| P1100600D | EXP2025/012689 | AYUNTAMIENTO DE ARCOS DE LA FRONTERA. | T2 | 9,99 | 4 | 64 |
| P4104700B | EXP2025/012404 | AYUNTAMIENTO DE GINES. | T2 | 5,02 | 4 | 64 |
| P1812300J | EXP2025/011477 | EXCMO. AYUNTAMIENTO DE LOJA. | T2 | 5,00 | 4 | 64 |
| P4601900F | EXP2025/012865 | AYUNTAMIENTO DE LA ALCUDIA. | T2 | No ponderable | 4 | 63 |
| G79458618 | EXP2025/010990 | MANCOMUNIDAD DE SERVICIOS EL MOLAR, SAN AGUSTÍN DEL GUADALIX Y GUADALIX DE LA SIERRA. | T2 | 50,69 | 4 | 62 |
| P4808000F | EXP2025/011478 | AYUNTAMIENTO DE MUNGIA - MUNGIAKO UDALA. | T2 | No ponderable | 3 | 61 |
| P1705300J | EXP2025/011318 | AJUNTAMENT DE CASTELL DARO. | T2 | 30,79 | 3 | 61 |
| P1404200F | EXP2025/012952 | AYUNTAMIENTO DE MONTILLA. | T2 | 30,00 | 3 | 61 |
| P3000500C | EXP2025/011561 | AYUNTAMIENTO DE ALCANTARILLA. | T2 | 24,24 | 3 | 61 |
| P4803400C | EXP2025/012107 | DURANGOKO UDALA / AYUNTAMIENTO DE DURANGO. | T2 | 20,00 | 3 | 61 |
| P4102100G | EXP2025/011305 | AYUNTAMIENTO DE CAMAS. | T2 | 10,00 | 3 | 61 |
| P1400700I | EXP2025/012141 | AYUNTAMIENTO DE BAENA. | T2 | 9,73 | 3 | 61 |
| P0807100C | EXP2025/011778 | AJUNTAMENT DE CORBERA DE LLOBREGAT. | T2 | 51,69 | 4 | 60 |
| P1702600F | EXP2025/011726 | AJUNTAMENT DE BLANES. | T2 | 21,78 | 4 | 60 |
| P0802300D | EXP2025/011844 | AJUNTAMENT DE BIGUES I RIELLS DEL FAI. | T2 | No ponderable | 4 | 59 |
| P4625203G | EXP2025/012379 | AYUNTAMIENTO DE SAN ANTONIO DE BENAGEBER. | T2 | No ponderable | 4 | 59 |
| P4309300D | EXP2025/011796 | AJUNTAMENT DE MONT-ROIG DEL CAMP. | T2 | 32,57 | 4 | 59 |
| P4313800G | EXP2025/011043 | AJUNTAMENT DE LA RAPITA. | T2 | 30,97 | 4 | 59 |
| P1800400B | EXP2025/011849 | AYUNTAMIENTO DE ALBOLOTE. | T2 | 30,72 | 4 | 59 |
| P2301000B | EXP2025/010621 | AYUNTAMIENTO DE BAILEN. | T2 | 27,27 | 4 | 59 |
| P0808700I | EXP/99582 | AJUNTAMENT DE LA GARRIGA. | T2 | 26,67 | 4 | 59 |
| P1305600G | EXP2025/011851 | AYUNTAMIENTO DE MIGUELTURRA. | T2 | 25,00 | 4 | 59 |
| P2800900I | EXP2025/012374 | AYUNTAMIENTO DE ALGETE. | T2 | 25,00 | 4 | 59 |
| P2805400E | EXP2025/011444 | AYUNTAMIENTO DE EL ESCORIAL. | T2 | 25,00 | 4 | 59 |
| P3729600A | EXP2025/011304 | AYUNTAMIENTO DE SANTA MARTA DE TORMES. | T2 | 24,22 | 4 | 59 |
| P0810500I | EXP2025/011159 | AJUNTAMENT DE LLINARS DEL VALLES. | T2 | 21,60 | 4 | 59 |
| P1212600I | EXP2025/011859 | AYUNTAMIENTO DE LA VALL DUIXO. | T2 | 21,58 | 4 | 59 |
| P4107900E | EXP2025/011037 | AYUNTAMIENTO DE LA PUEBLA DEL RIO. | T2 | 21,31 | 4 | 59 |
| P0811700D | EXP2025/010877 | AJUNTAMENT DEL MASNOU. | T2 | 20,65 | 4 | 59 |
| P1103900E | EXP2025/012057 | AYUNTAMIENTO DE VEJER. | T2 | 20,00 | 4 | 59 |
| P2608400D | EXP2025/011422 | AYUNTAMIENTO DE LARDERO. | T2 | 20,00 | 4 | 59 |
| P5008900B | EXP2025/011620 | AYUNTAMIENTO DE CUARTE DE HUERVA. | T2 | 20,00 | 4 | 59 |
| P3301400B | EXP2025/011229 | AYUNTAMIENTO DE CARREÑO. | T2 | 19,62 | 4 | 59 |
| P4318100G | EXP2025/011989 | AYUNTAMIENTO DE DELTEBRE. | T2 | 18,21 | 4 | 59 |
| P4104900H | EXP2025/011879 | AYUNTAMIENTO DE GUILLENA. | T2 | 18,04 | 4 | 59 |
| P3200900C | EXP2025/010908 | CONCELLO DE BARBADAS. | T2 | 18,00 | 4 | 59 |
| P4106900F | EXP2025/011911 | AYUNTAMIENTO DE LOS PALACIOS Y VILLAFRANCA. | T2 | 14,48 | 4 | 59 |
| P0306300E | EXP2025/011014 | AYUNTAMIENTO DE DENIA. | T2 | 14,42 | 4 | 59 |
| P4102000I | EXP2025/010865 | AYUNTAMIENTO DE LAS CABEZAS DE SAN JUAN. | T2 | 12,72 | 4 | 59 |
| P1905400F | EXP2025/011537 | AYUNTAMIENTO DE AZUQUECA DE HENARES. | T2 | 11,70 | 4 | 59 |
| P2101000D | EXP2025/011721 | AYUNTAMIENTO AYAMONTE. | T2 | 10,00 | 4 | 59 |
| P4809500D | EXP2025/011101 | AYUNTAMIENTO DE SANTURTZI - SANTURTZIKO UDALA. | T2 | 8,40 | 4 | 59 |
| P3303500G | EXP2025/012806 | AYUNTAMIENTO DE LLANERA. | T2 | 8,06 | 4 | 59 |
| P2300500B | EXP2025/011295 | AYUNTAMIENTO DE ANDUJAR. | T2 | 7,25 | 4 | 59 |
| P1400010C | EXP2025/012221 | MANCOMUNIDAD DE MUNICIPIOS DEL VALLE DEL GUADIATO. | T2 | 5,36 | 4 | 59 |
| P1303900C | EXP2025/011840 | AYUNTAMIENTO DE DAIMIEL. | T2 | 22,56 | 2 | 59 |
| P1401300G | EXP2025/012001 | AYUNTAMIENTO DE CABRA. | T2 | 20,00 | 2 | 59 |
| P1101600C | EXP2025/011366 | AYUNTAMIENTO DE CHIPIONA. | T2 | No ponderable | 1 | 59 |
| P1801800B | EXP2025/011568 | AYUNTAMIENTO DE ALMUÑECAR. | T2 | No ponderable | 4 | 58 |
| P6700010I | EXP2025/011834 | CONSELL COMARCAL DEL PLA DE LESTANY. | T2 | No ponderable | 4 | 56 |
| P4105900G | EXP2025/011077 | AYUNTAMIENTO DE MAIRENA DEL ALJARAFE. | T2 | No ponderable | 3 | 56 |
| P0805000G | EXP2025/012119 | AJUNTAMENT DE CASTELLAR DEL VALLÈS. | T2 | 26,82 | 3 | 56 |
| P0812400J | EXP2025/011141 | AJUNTAMENT DE MONTCADA I REIXAC. | T2 | 20,41 | 3 | 56 |
| P4301400J | EXP2025/011412 | AJUNTAMENT DAMPOSTA. | T2 | 20,00 | 3 | 56 |
| P0309400J | EXP2025/012381 | AYUNTAMIENTO DE LA NUCIA. | T2 | 9,80 | 3 | 56 |
| P1817800D | EXP2025/011419 | AYUNTAMIENTO DE SANTAFE. | T2 | No ponderable | 4 | 54 |
| P2100500D | EXP2025/011992 | ILMO AYUNTAMIENTO DE ALMONTE. | T2 | No ponderable | 4 | 54 |
| P2813200I | EXP2025/011677 | AYUNTAMIENTO DE SAN MARTIN DE LA VEGA. | T2 | 66,39 | 4 | 54 |
| P0800900C | EXP2025/011781 | AYUNTAMIENTO DE ARGENTONA. | T2 | 25,28 | 4 | 54 |
| P4105300J | EXP2025/012176 | AYUNTAMIENTO DE LEBRIJA. | T2 | 21,53 | 4 | 54 |
| P2107100F | EXP2025/010395 | AYUNTAMIENTO DE VALVERDE DEL CAMINO. | T2 | 18,22 | 4 | 54 |
| P3300200G | EXP2025/011555 | AYUNTAMIENTO DE ALLER. | T2 | 17,86 | 4 | 54 |
| P4107700I | EXP2025/010766 | AYUNTAMIENTO DE LA PUEBLA DE CAZALLA. | T2 | 16,67 | 4 | 54 |
| P0823000E | EXP2025/012046 | AJUNTAMENT DE PREMIÀ DE DALT. | T2 | 15,68 | 4 | 54 |
| P1405500H | EXP2025/011266 | AYUNTAMIENTO DE PRIEGO DE CORDOBA. | T2 | 13,99 | 4 | 54 |
| P1815600J | EXP2025/011944 | AYUNTAMIENTO DE PELIGROS. | T2 | 1,07 | 4 | 54 |
| P0604400B | EXP2025/011782 | AYUNTAMIENTO DE DON BENITO. | T2 | 41,18 | 2 | 54 |
| P1405600F | EXP2025/012013 | AYUNTAMIENTO DE PUENTE GENIL. | T2 | 20,00 | 2 | 54 |
| P3003800D | EXP2025/010952 | AYUNTAMIENTO DE LAS TORRES DE COTILLAS. | T2 | No ponderable | 2 | 53 |
| P2816000J | EXP2025/012011 | AYUNTAMIENTO DE VALDEMORILLO. | T2 | 30,42 | 3 | 51 |
| P3001900D | EXP2025/011614 | AYUNTAMIENTO DE CIEZA. | T2 | 10,00 | 3 | 51 |
| P3306000E | EXP2025/012047 | AYUNTAMIENTO DE SAN MARTIN DEL REY AURELIO. | T2 | 10,00 | 3 | 51 |
| P4105800I | EXP2025/012088 | AYUNTAMIENTO DE MAIRENA DEL ALCOR. | T2 | No ponderable | 3 | 50 |
| P4800019D | EXP2025/010941 | MANCOMUNIDAD DE SERVICIOS DE URIBE KOSTA ZERBITZU MANKOMUNITATEA. | T2 | 40,00 | 2 | 49 |
| P3307600A | EXP2025/012045 | AYUNTAMIENTO DE VILLAVICIOSA. | T2 | 25,00 | 2 | 49 |
| P0405300E | EXP2025/011661 | AYUNTAMIENTO DE HUERCAL-OVERA. | T2 | 20,00 | 3 | 46 |
| P3600600E | EXP2025/011774 | CONCELLO DE CAMBADOS. | T2 | 20,00 | 3 | 46 |
| P3602900G | EXP2025/011942 | CONCELLO DE MOAÑA. | T2 | 6,73 | 3 | 46 |
| P4104400I | EXP2025/011595 | AYUNTAMIENTO DE GELVES. | T2 | 17,91 | 4 | 44 |
| P4105500E | EXP2025/011299 | AYUNTAMIENTO DE LORA DEL RIO. | T2 | 15,00 | 4 | 44 |
| P1500200I | EXP2025/010073 | CONCELLO DE AMES. | T2 | 10,00 | 4 | 44 |
| P4621600H | EXP2025/012004 | AYUNTAMIENTO DE RIBA-ROJA DE TURIA. | T2 | 0,25 | 4 | 44 |
| P4624000H | EXP2025/010881 | AJUNTAMENT DE TAVERNES DE LA VALLDIGNA. | T2 | No ponderable | 2 | 44 |
| P3907300B | EXP2025/012069 | AYUNTAMIENTO DE SANTA CRUZ DE BEZANA. | T2 | 18,18 | 2 | 44 |
| P0815500D | EXP2025/011867 | AJUNTAMENT DE PALAU SOLITA I PLEGAMANS. | T2 | 10,00 | 2 | 44 |
| P2103500A | EXP2025/011552 | AYUNTAMIENTO DE GIBRALEON. | T2 | 46,67 | 1 | 44 |
| P2807300E | EXP2025/013602 | AYUNTAMIENTO DE HUMANES DE MADRID. | T2 | No ponderable | 3 | 41 |
| P3602100D | EXP2025/012132 | AYUNTAMIENTO DE GONDOMAR. | T2 | 10,00 | 3 | 41 |
| P2300300G | EXP2025/011258 | AYUNTAMIENTO DE ALCAUDETE. | T2 | 25,00 | 1 | 40 |
| P4315700G | EXP2025/011227 | AYUNTAMIENTO DE TORTOSA. | T2 | 32,69 | 4 | 35 |
| P2300900D | EXP2025/010893 | AYUNTAMIENTO DE BAEZA. | T2 | 25,01 | 4 | 34 |
| P2400900C | EXP2025/011603 | AYUNTAMIENTO DE ASTORGA. | T2 | 20,00 | 4 | 34 |
| P0830300J | EXP2025/010854 | AJUNTAMENT DE VILANOVA DEL CAMI. | T2 | 16,12 | 4 | 29 |
| P4617300A | EXP2025/012510 | AYUNTAMIENTO DE MONCADA. | T2 | 73,01 | 4 | 24 |
| P1307100F | EXP2025/011788 | AYUNTAMIENTO DE PUERTOLLANO. | T2 | 28,57 | 4 | 24 |
| P4000018D | EXP2025/010825 | MANCOMUNIDAD DE MUNICIPIOS LA ATALAYA. | T2 | 1,57 | 4 | 18 |
| P5390001E | EXP2025/011420 | MANCOMUNIDAD DE LALACANTI. | T3 | 40,00 | 4 | 74 |
| P1213500J | EXP2025/012121 | AYUNTAMIENTO DE VILA-REAL. | T3 | 19,23 | 4 | 74 |
| P3802300H | EXP2025/012135 | AYUNTAMIENTO DE SAN CRISTOBAL DE LA LAGUNA. | T3 | 17,97 | 4 | 74 |
| P0106800F | EXP2025/011536 | VITORIA-GASTEIZKO UDALA-AYUNTAMIENTO DE VITORIA-GASTEIZ. | T3 | 17,23 | 4 | 74 |
| P0401300I | EXP2025/011553 | AYUNTAMIENTO DE ALMERIA. | T3 | 17,79 | 4 | 70 |
| P2217300I | EXP2025/011716 | AYUNTAMIENTO DE HUESCA. | T3 | No ponderable | 4 | 69 |
| P3502000G | EXP2025/012469 | AYUNTAMIENTO DE SAN BARTOLOME DE TIRAJANA. | T3 | No ponderable | 4 | 69 |
| P2810600C | EXP2025/011623 | AYUNTAMIENTO DE PARLA. | T3 | 48,72 | 4 | 69 |
| P4801700H | EXP2025/011858 | AYUNTAMIENTO DE BARAKALDO - BARAKALDOKO UDALA. | T3 | 48,11 | 4 | 69 |
| P0805500F | EXP2025/011935 | AYUNTAMIENTO DE CASTELLDEFELS. | T3 | 40,00 | 4 | 69 |
| P0818300F | EXP2025/011367 | AJUNTAMENT DE RUBI. | T3 | 40,00 | 4 | 69 |
| P2804900E | EXP2025/012150 | AYUNTAMIENTO DE COSLADA. | T3 | 40,00 | 4 | 69 |
| P2902500D | EXP2025/012220 | AYUNTAMIENTO DE BENALMADENA. | T3 | 39,64 | 4 | 69 |
| P4718700J | EXP2025/012906 | AYUNTAMIENTO DE VALLADOLID. | T3 | 38,00 | 4 | 69 |
| P1003800H | EXP2025/011819 | AYUNTAMIENTO DE CACERES. | T3 | 35,16 | 4 | 69 |
| P0809500B | EXP2025/011551 | AJUNTAMENT DE GRANOLLERS. | T3 | 34,50 | 4 | 69 |
| P1303400D | EXP2025/011164 | AYUNTAMIENTO DE CIUDAD REAL. | T3 | 33,33 | 4 | 69 |
| P0501900E | EXP2025/011431 | AYUNTAMIENTO DE AVILA. | T3 | 30,00 | 4 | 69 |
| P2409100A | EXP2025/012229 | AYUNTAMIENTO DE LEON. | T3 | 26,68 | 4 | 69 |
| P0818600I | EXP2025/011847 | AJUNTAMENT DE SABADELL. | T3 | 26,11 | 4 | 69 |
| P0816800G | EXP2025/011900 | AJUNTAMENT DEL PRAT DE LLOBREGAT. | T3 | 25,58 | 4 | 69 |
| P1600000B | EXP2025/012876 | DIPUTACIÓN PROVINCIA DE CUENCA. | T3 | 24,60 | 4 | 69 |
| P1507900G | EXP2025/011410 | CONCELLO DE SANTIAGO DE COMPOSTELA. | T3 | 20,18 | 4 | 69 |
| P3907500G | EXP2025/011382 | AYUNTAMIENTO DE SANTANDER. | T3 | 20,00 | 4 | 69 |
| P2801300A | EXP2025/011199 | AYUNTAMIENTO DE ARANJUEZ. | T3 | 19,54 | 4 | 69 |
| P0830200B | EXP2025/012425 | Ayuntamiento de Viladecans. | T3 | 17,52 | 4 | 69 |
| P1808900C | EXP2025/012075 | AYUNTAMIENTO DE GRANADA. | T3 | 13,90 | 4 | 69 |
| P4516900J | EXP2025/011982 | AYUNTAMIENTO DE TOLEDO. | T3 | 13,81 | 4 | 69 |
| P1102000E | EXP2025/011486 | AYUNTAMIENTO DE JEREZ DE LA FRONTERA. | T3 | 13,31 | 4 | 69 |
| P3302400A | EXP2025/014661 | AYUNTAMIENTO DE GIJÓN. | T3 | 13,08 | 4 | 69 |
| P2515100B | EXP2025/011256 | AJUNTAMENT DE LLEIDA. | T3 | 12,78 | 4 | 69 |
| P0601500B | EXP2025/012096 | AYUNTAMIENTO DE BADAJOZ. | T3 | 29,42 | 4 | 66 |
| P3002700G | EXP2025/011005 | AYUNTAMIENTO DE MOLINA DE SEGURA. | T3 | No ponderable | 3 | 66 |
| P2905400D | EXP2025/011194 | AYUNTAMIENTO DE FUENGIROLA. | T3 | 40,00 | 3 | 66 |
| P2806500A | EXP2025/011191 | AYUNTAMIENTO DE GETAFE. | T3 | 15,22 | 3 | 66 |
| P3727600C | EXP2025/012012 | AYUNTAMIENTO DE SALAMANCA. | T3 | 10,62 | 3 | 66 |
| P0827900B | EXP2025/013187 | AYUNTAMIENTO DE TERRASSA. | T3 | 10,26 | 3 | 66 |
| P2909401H | EXP2025/011836 | MANCOMUNIDAD MUNICIPIOS COSTA SOL AXARQUIA. | T3 | No ponderable | 4 | 64 |
| P4109100J | EXP2025/011322 | AYUNTAMIENTO DE SEVILLA. | T3 | No ponderable | 4 | 64 |
| P4930500F | EXP2025/011785 | AYUNTAMIENTO DE ZAMORA. | T3 | No ponderable | 4 | 64 |
| P0608300J | EXP2025/012117 | AYUNTAMIENTO DE MERIDA. | T3 | 40,00 | 4 | 64 |
| P4315000B | EXP2025/012670 | AYUNTAMIENTO DE TARRAGONA. | T3 | 37,00 | 4 | 64 |
| P3001600J | EXP2025/011825 | AYUNTAMIENTO DE CARTAGENA. | T3 | 21,00 | 4 | 64 |
| P0812000H | EXP2025/011764 | AJUNTAMENT DE MATARÓ. | T3 | 19,82 | 4 | 64 |
| P4312500D | EXP/100066 | AJUNTAMENT DE REUS. | T3 | 17,42 | 4 | 64 |
| P1102200A | EXP2025/012040 | AYUNTAMIENTO DE LA LINEA. | T3 | 14,28 | 4 | 64 |
| P3003000A | EXP2025/012030 | AYUNTAMIENTO DE MURCIA. | T3 | 6,34 | 4 | 64 |
| P2804500C | EXP2025/011746 | AYUNTAMIENTO DE COLMENAR VIEJO. | T3 | No ponderable | 2 | 64 |
| P5030300G | EXP2025/011109 | AYUNTAMIENTO DE ZARAGOZA. | T3 | 45,00 | 4 | 59 |
| P0309900I | EXP/99793 | AYUNTAMIENTO DE ORIHUELA. | T3 | 40,00 | 4 | 59 |
| P4022600C | EXP2025/011731 | AYUNTAMIENTO DE SEGOVIA. | T3 | 21,83 | 4 | 59 |
| P4802400D | EXP2025/012872 | AYUNTAMIENTO DE BILBAO. | T3 | 21,11 | 4 | 59 |
| P2908200E | EXP2025/011828 | AYUNTAMIENTO RINCON DE LA VICTORIA. | T3 | 20,26 | 4 | 59 |
| P2411800B | EXP/99605 | AYUNTAMIENTO DE PONFERRADA. | T3 | 14,60 | 4 | 59 |
| P3300400C | EXP2025/011694 | AYUNTAMIENTO DE AVILÉS. | T3 | 7,69 | 4 | 59 |
| P6400601H | EXP2025/011123 | MANCOMUNIDAD DE MUNICIPIOS DE LOS PEDROCHES. | T3 | 4,67 | 4 | 59 |
| P1103100B | EXP2025/011517 | AYUNTAMIENTO DE SAN FERNANDO. | T3 | 15,86 | 2 | 59 |
| P4624600E | EXP2025/011437 | AYUNTAMIENTO DE TORRENT. | T3 | No ponderable | 1 | 59 |
| P0306500J | EXP2025/011732 | AYUNTAMIENTO ELCHE. | T3 | 54,74 | 4 | 54 |
| P3002400D | EXP2025/010837 | AYUNTAMIENTO DE LORCA. | T3 | 8,07 | 4 | 54 |
| P4619200A | EXP2025/012168 | AYUNTAMIENTO DE PATERNA. | T3 | 50,00 | 4 | 34 |
| P4516600F | EXP2025/011093 | AYUNTAMIENTO DE TALAVERA DE LA REINA. | T3 | 21,47 | 4 | 29 |
| P2812300H | EXP2025/012568 | AYUNTAMIENTO DE RIVAS VACIAMADRID. | T3 | 40,00 | 1 | 29 |
Agència Estatal Butlletí Oficial de l'Estat
Avda. de Manoteras, 54 - 28050 Madrid