Contingut no disponible en català

Us trobeu en

Documento BOE-A-2025-4992

Resolución de 6 de marzo de 2025, de la Universidad Jaume I, por la que se convoca proceso selectivo para ingreso, por el sistema general de acceso libre, en la Escala Superior de Análisis de Datos.

Publicado en:
«BOE» núm. 62, de 13 de marzo de 2025, páginas 33985 a 33996 (12 págs.)
Sección:
II. Autoridades y personal - B. Oposiciones y concursos
Departamento:
Universidades
Referencia:
BOE-A-2025-4992

TEXTO ORIGINAL

De conformidad con lo dispuesto en la Resolución de 5 de julio de 2024, de la Rectora de la Universitat Jaume I de Castellón, por la que se hace pública la oferta de empleo público del personal de administración y servicios de la Universitat Jaume I de Castellón para el año 2024, y con la finalidad de atender las necesidades de personal en la misma;

Visto lo previsto en el artículo 91 de la Ley Orgánica 2/2023, de 22 de marzo, del Sistema Universitario, y en el artículo 71 del Decreto 95/2021, de 9 de julio, del Consejo, de aprobación de los Estatutos de la Universitat Jaume I de Castellón, resuelvo:

Primero.

Convocar un proceso selectivo para ingreso, por el sistema general de acceso libre, en la escala superior de análisis de datos de la Universitat Jaume I.

Segundo.

Aprobar las bases que rigen la presente convocatoria y que figuran en el anexo I.

Tercero.

Publicar las bases de la convocatoria en el Tablón de Anuncios Oficial de la Universitat Jaume I, en el «Diari Oficial de la Generalitat Valenciana» (DOGV) y en el «Boletín Oficial del Estado» (BOE).

De acuerdo con lo previsto en el artículo 3.3 y 3.6 del Decreto 3/2017, de 13 de enero, del Consell, por el que se aprueba el Reglamento de selección, provisión de puestos de trabajo y movilidad del personal de la función pública valenciana, esta convocatoria, así como los actos que se derivan de su ejecución, se publicarán en el Tablón de Anuncios Oficial de la Universitat Jaume I, en el apartado «Convocatorias PTGAS», de ahora en adelante TAO-UJI: 

https://www.uji.es/seu/info-adm/tao/ #

De acuerdo con lo previsto en el artículo 91.2 de la Ley Orgánica 2/2023, de 22 de marzo, del Sistema Universitario, esta convocatoria se publicará en el «Diari Oficial de la Generalitat Valenciana» (DOGV) y en el «Boletín Oficial del Estado» (BOE). Esta última publicación es la que se tomará como referencia a efectos del cómputo de plazos para la presentación de solicitudes de participación. El resto de resoluciones administrativas derivadas de esta convocatoria se publicarán únicamente en el TAO-UJI.

Cuarto.

Se informa que contra esta resolución, que pone fin a la vía administrativa, y de conformidad con lo dispuesto en los artículos 123 y 124 de la Ley 39/2015, de 1 de octubre, del Procedimiento Administrativo Común de las Administraciones Públicas, se puede interponer con carácter potestativo recurso de reposición ante el mismo órgano que dictó el acto contra el que se recurre en el plazo de un mes a contar desde el día siguiente al de la publicación, o bien directamente interponer recurso contencioso-administrativo ante el Juzgado de lo Contencioso-Administrativo de Castellón, dentro del plazo de dos meses a contar desde el día siguiente al de la publicación. Todo ello sin perjuicio de cualquier otro recurso que se considere procedente.

Castellón, 6 de marzo de 2025.–La Rectora, Eva Alcón Soler.

ANEXO I
Bases de la convocatoria
Primera. Objeto de la convocatoria.

Esta convocatoria tiene por objeto la selección de personal, mediante el sistema de oposición, para cubrir una plaza de la escala superior de análisis de datos de la Universitat Jaume I de Castelló, grupo A, subgrupo A1.

Segunda. Condiciones generales.

Para la admisión a estas pruebas selectivas las personas interesadas deben cumplir los siguientes requisitos:

2.1 Nacionalidad:

2.1.1 Tener la nacionalidad española.

2.1.2 También pueden participar en igualdad de condiciones:

a) Las personas nacionales de los estados miembros de la Unión Europea.

b) El o la cónyuge de las personas con nacionalidad española y de las nacionales de otros estados miembros de la Unión Europea, cualquiera que sea su nacionalidad siempre que no estén separados de derecho. Asimismo, con las mismas condiciones, pueden participar los y las descendientes menores de veintiún años o mayores de esta edad que sean dependientes.

c) Las personas incluidas en el ámbito de aplicación de los tratados internacionales celebrados por la Unión Europea y ratificados por España en los que sea aplicable la libre circulación de trabajadores y trabajadoras.

Las personas no residentes en España incluidas en el apartado b), así como las incluidas en el apartado c), deben acompañar su solicitud de un documento que acredite las condiciones que se alegan.

2.2 Capacidad: poseer la capacidad funcional para el desempeño de las tareas de la plaza convocada.

2.3 Edad: tener cumplidos dieciséis años y no exceder, en su caso, de la edad máxima de jubilación forzosa.

2.4 Titulación: las personas interesadas deben estar en posesión o en condiciones de obtener en la fecha de finalización del plazo de presentación de solicitudes la titulación universitaria de licenciatura, ingeniería, arquitectura o grado, según lo previsto en el texto refundido de la Ley del Estatuto Básico del Empleado Público, aprobado por el Real Decreto Legislativo 5/2015, de 30 de octubre, y de acuerdo con lo establecido en el Real Decreto 889/2022, de 18 de octubre.

En el caso de titulaciones obtenidas en el extranjero se debe estar en posesión de la correspondiente credencial de homologación o, en su caso, del correspondiente certificado de equivalencia. Este requisito no será aplicable a las personas que hubieran obtenido el reconocimiento de su cualificación profesional, en el ámbito de las profesiones reguladas, al amparo de las disposiciones de derecho de la Unión Europea.

2.5 Habilitación: la persona interesada no puede haber sido separada mediante expediente disciplinario del servicio de cualquiera de las administraciones públicas o de los organismos constitucionales o estatutarios de las comunidades autónomas, ni encontrarse en inhabilitación absoluta o especial para ocupaciones o cargos públicos por resolución judicial, para el acceso a cuerpos o escalas de personal funcionario, ni tener la condición de personal funcionario de carrera en la misma escala a la que se presenta.

En caso de ser nacional de otro Estado, no encontrarse inhabilitada o en situación equivalente ni haber sido sometida a sanción disciplinaria o equivalente que impidiera, en su Estado, en los mismos términos el acceso al empleo público.

2.6 Acreditar conocimientos de valenciano de nivel C1.

2.7 Las condiciones para la admisión a estas pruebas deben reunirse en el momento de finalización del plazo de presentación de solicitudes y mantenerse durante todo el proceso selectivo hasta el momento de la toma de posesión como personal funcionario de carrera.

2.8 La administración puede requerir a las personas interesadas que acrediten la veracidad de los requisitos exigidos para participar, así como de todos los documentos que puedan aportar en este proceso selectivo. Si los requisitos no fueron acreditados en el plazo de diez días hábiles siguientes a la notificación del requerimiento, podrán quedar excluidas del proceso selectivo.

2.9 No puede participar en este procedimiento selectivo el personal que ya tenga la condición de personal funcionario de carrera de la escala superior de análisis de datos de la Universitat Jaume I.

Tercera. Aspirantes con diversidad funcional.

3.1 El órgano técnico de selección debe establecer, para las personas con diversidad funcional que así lo soliciten, las adaptaciones necesarias para la realización de las pruebas. A tal efecto, las personas interesadas deben formular la petición correspondiente en la solicitud de participación en el presente proceso selectivo.

3.2 Si en el desarrollo del proceso selectivo se suscitaran dudas razonables al órgano técnico de selección respecto a la compatibilidad funcional de una persona admitida, puede recabar el correspondiente informe de la Oficina de Prevención, Promoción de la Salud y Medio Ambiente, y en este caso la persona admitida inicialmente puede participar condicionalmente en el proceso selectivo, quedando en suspenso la resolución definitiva sobre la admisión o exclusión del proceso selectivo hasta la recepción del dictamen.

Cuarta. Forma y plazo de presentación de solicitudes.

4.1 El plazo de presentación de solicitudes es de veinte días hábiles contados a partir del siguiente al de la publicación de esta convocatoria en el «Boletín Oficial del Estado» (BOE). La publicación de la convocatoria en el «Diari Oficial de la Generalitat Valenciana» (DOGV) tendrá únicamente carácter informativo.

Las solicitudes deben presentarse por vía electrónica. El tratamiento de la información por medios electrónicos debe tener en cuenta lo establecido en la Ley Orgánica 3/2018, de 5 de diciembre, de protección de datos personales y garantía de los derechos digitales, y demás disposiciones que le sean aplicables.

Para presentar la solicitud por vía electrónica es necesario poseer un certificado digital de firma electrónica o el DNI electrónico. Cuando se utilice la opción de «Registrar cuenta con usuario» se debe adjuntar copia del DNI. La solicitud debe formalizarse en línea a través del Registro Electrónico de la Universitat Jaume I mediante el Tablón de Anuncios Oficial (TAO-UJI): 

https://www.uji.es/seu/info-adm/tao/?pCategoria=2&pAccion=Cerca 

(Busque por código 21676).

En la solicitud se debe indicar:

En el apartado «Expongo»:

«Que he leído las bases de la convocatoria; que la información suministrada es cierta y autorizo la verificación y cotejo de los datos personales incluidos en la solicitud o que aparecen en el expediente y aportados en el proceso selectivo, así como su comprobación en los órganos administrativos correspondientes. Asimismo, manifiesto que reuno todos y cada uno de los requisitos exigidos en la convocatoria, referidos siempre a la fecha de expiración del plazo de presentación de solicitudes y que éstos serán debidamente acreditados, posteriormente, en el caso de que me seleccionen o llamen para ser integrante de la bolsa de empleo; y sé que si se da el caso contrario no podré ser nombrado personal funcionario de carrera o funcionario interino o contratado temporal o nombrado. temporalmente por mejora de empleo, sin perjuicio de la responsabilidad en que podía haber incurrido por falsedad en la solicitud de participación.»

En el apartado «Solicito»:

«Participar en las pruebas selectivas de ingreso en la escala superior de análisis de datos de la Universitat Jaume I, código de asunto: 21676.»

Las personas con diversidad funcional que soliciten medidas de adaptación deben indicarlo en la solicitud marcando el tipo de diversidad funcional: (F) física, (P) psíquica, (S) sensorial. Asimismo, deben reflejar las medidas que se solicitan de acuerdo con la siguiente clasificación:

1) Eliminación de barreras arquitectónicas y mesa adaptada a la silla de ruedas.

2) Ampliación del tiempo de duración de la prueba. Para poder llevar a cabo esta medida de adaptación deben acompañar obligatoriamente el certificado expedido por el órgano oficial competente que especifique: diagnóstico y tiempo (número de minutos) de ampliación que solicita.

3) Aumento del tamaño de los caracteres del cuestionario, por dificultad de visión.

4) Necesidad de intérprete, debido a sordera.

5) Sistema Braille de escritura o ayuda de una persona por invidente.

6) Otras, especificando cuáles.

Finalmente, en el apartado «Destino» se debe indicar Servicio de Recursos Humanos y luego pulsar «Enviar» para registrar la solicitud.

Aspirantes con condición de víctimas de violencia de género: las mujeres víctimas de violencia de género que participan en esta convocatoria pueden solicitar la anonimización de sus datos identificativos. A tal efecto, las mujeres interesadas deben formular la petición correspondiente en la solicitud de participación en el presente proceso selectivo utilizando el modelo de Solicitud de anonimización de los datos de la mujer víctima de violencia de género.

Quinta. Derechos de examen y forma de pago.

5.1 El importe de la tasa por derechos de examen es de 30 euros.

5.2 Bonificaciones.

Los miembros de una familia numerosa de categoría general o de una familia monoparental de categoría general disfrutan de una bonificación del cincuenta por ciento de la cuota íntegra, es decir, el importe es de 15 euros.

5.3 Exenciones.

Están exentos del pago de la tasa:

a) Los miembros de una familia numerosa de categoría especial o de una familia monoparental de categoría especial.

b) Las víctimas de actos de violencia sobre la mujer que acreditan esta condición mediante cualquiera de los medios de prueba previstos en los artículos 9.1 y 9.2 de la Ley 7/2012, de 23 de noviembre, de la Generalitat, integral contra la violencia sobre la mujer en el ámbito de la Comunidad Valenciana.

c) Las personas con un grado de discapacidad igual o superior al 33 por ciento.

d) Las personas que estén en situación de exclusión social y ésta se acredite por el órgano competente en materia de bienestar social del ayuntamiento de residencia.

5.4 Forma de pago.

Si no se tiene derecho a la bonificación prevista en el apartado 5.2, el pago de la tasa debe realizarse mediante tarjeta de crédito o débito, a través del siguiente enlace:

https://e-ujier.uji.es/pls/www/pagaments.ini?p_id=14&p_importe=30,00&p_referencia=21676

En el caso de que sí se tenga derecho a la bonificación prevista en el apartado 5.2, el pago de la tasa debe realizarse mediante tarjeta de crédito o débito, a través del siguiente enlace:

https://e-ujier.uji.es/pls/www/pagaments.ini?p_id=14&p_importe=15,00&p_referencia=21676

5.5 Junto con la solicitud, se debe presentar un certificado acreditativo de la bonificación o exención del pago de la tasa.

El abono de los derechos de examen o, en su caso, la justificación de la concurrencia de alguna de las causas de exención total o parcial del mismo debe hacerse dentro de plazo de presentación de solicitudes. En ningún caso el pago de la tasa de los derechos de examen o la justificación de la concurrencia de alguna de las causas de exención total o parcial del mismo supondrá la sustitución del trámite de presentación, en tiempo y forma, de la solicitud de participación en el proceso selectivo.

5.6 Procede la devolución de las tasas por derechos de examen únicamente en los supuestos y a través de los procedimientos contemplados en el artículo 1.2-6 de la Ley 20/2017, de 28 de diciembre, de la Generalitat Valenciana, de tasas.

Sexta. Admisión.

6.1 Las personas aspirantes quedan vinculadas a los datos que hayan hecho constar en sus solicitudes, pudiendo únicamente demandar su modificación mediante escrito motivado, dentro del plazo establecido en la base 4.1 para la presentación de solicitudes.

6.2 Acabado el plazo de presentación de solicitudes, previa verificación de que se ha realizado el pago de los derechos de examen, el órgano convocante dictará resolución, que se publicará en el TAO-UJI, que contendrá la relación provisional de personas admitidas y excluidas a la realización de las pruebas.

6.3 Las personas interesadas pueden, en el caso de error o exclusión, subsanar los defectos en que hayan incurrido en su solicitud o realizar las alegaciones que consideren convenientes, en el plazo de diez días hábiles a contar desde el día siguiente al de la publicación de la relación provisional de personas admitidas y excluidas, de acuerdo con lo establecido en el artículo 68 de la Ley 39/2015, de 1 de octubre, del Procedimiento Administrativo Común de las Administraciones Públicas.

6.4 En todo caso, con el fin de evitar errores y, en el supuesto de producirse, posibilitar su enmienda en el plazo y en la forma adecuada, debe comprobarse no solo que no figuran en la relación provisional de personas excluidas sino, además, que sus datos personales constan correctamente en las pertinentes relaciones de personas admitidas.

6.5 Transcurrido el plazo anterior, vistas las alegaciones y enmendados los defectos, si procede, se dictará resolución que elevará a definitiva la relación de personas admitidas y excluidas a la realización de las pruebas, que se publicará en el TAO-UJI.

6.6 En la resolución por la que se haga pública la relación definitiva de personas admitidas a la realización de las pruebas debe establecerse, con al menos quince días de antelación, la fecha, el lugar de celebración y la hora de comienzo de las pruebas, así como el orden de llamamiento de las personas admitidas, iniciándose el orden en la letra «H», conforme a la Resolución de 15 de marzo de 2024, de la Consejería de Hacienda, Economía y Administración Pública.

6.7 Prueba de conocimiento del castellano para las personas admitidas que no poseen la nacionalidad española.

Con carácter previo a la realización de las pruebas de la oposición, las personas que no poseen la nacionalidad española y que de su origen no se desprenda el conocimiento del castellano, deben acreditar el conocimiento del mismo mediante la realización de una prueba en la que se comprobará que poseen un nivel adecuado de compresión y expresión oral y escrita en esta lengua.

El contenido de esta prueba debe ajustarse a lo dispuesto en el Real Decreto 1137/2002, de 31 de octubre, por el que se regulan los diplomas de español como lengua extranjera.

La prueba se calificará de «apta» o «no apta», y será necesario obtener la valoración de «apta» para pasar a realizar las pruebas de la fase de oposición.

Quedan eximidas de realizar esta prueba las personas que estén en posesión del Diploma de Español como Lengua Extranjera regulado en el Real Decreto 1137/2002, de 31 de octubre, o del Certificado de aptitud en Español para personas extranjeras expedido por las escuelas oficiales de idiomas, o acreditan estar en posesión de una titulación académica española expedida por el órgano oficial competente en el territorio español.

Séptima. Pruebas selectivas.

7.1 El procedimiento de selección es el de oposición. Constará de dos ejercicios obligatorios y eliminatorios relacionados con las tareas a desarrollar y cuyo temario se relaciona en el anexo II. La puntuación máxima será de 100 puntos.

7.2.1 Primer ejercicio.

Consistirá en una prueba tipo test con un máximo de 100 preguntas, de las cuales corresponderán entre un 5 % y un 15 % al programa general. Cada pregunta dispondrá de cuatro respuestas alternativas, de las cuales sólo una será correcta y versará sobre las materias previstas en el temario que figura en el anexo II.

Este ejercicio se puntuará de 0 a 30 puntos, y es necesario obtener un mínimo de 15 puntos para superarlo.

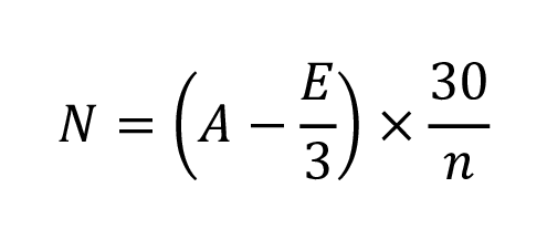
La nota de test vendrá determinada por la siguiente fórmula:

Imagen: /datos/imagenes/disp/2025/62/4992_15423329_1.png

Donde:

N = nota del test.

A = número de aciertos.

E = número de errores.

n = número de preguntas.

En caso de que alguna pregunta se anule a consecuencia de la estimación de alguna impugnación, el ejercicio se continuará valorando sobre treinta puntos ajustando proporcionalmente el valor de las preguntas válidas.

Su duración será entre sesenta y noventa minutos.

7.2.2 Segundo ejercicio:

Consistirá en resolver por escrito dos supuestos prácticos, relacionados con las materias que figuran en el temario específico. Su duración será de un máximo de tres horas y un mínimo de dos. Este ejercicio se puntuará de 0 a 70 puntos, y es necesario aprobar cada supuesto práctico y obtener un mínimo de 35 puntos para superarlo.

En la resolución de los supuestos prácticos, se valorará, junto con el rigor analítico y la claridad expositiva, los conocimientos generales y específicos pertinentemente incorporados a la resolución de los supuestos y la capacidad de relacionarlos.

7.3 Puntuación final de la oposición y del proceso selectivo.

La puntuación final de la oposición se obtendrá sumando la puntuación obtenida en ambos ejercicios superados.

A continuación, se configurará la lista ordenada por puntuación de mayor a menor, que se interrumpirá cuando el número de personas incluidas en ella coincidiera con el número de plazas convocadas en la base 1. Éstas constituirán la lista definitiva de personal aprobado en este proceso selectivo.

7.4 Los casos de empate que se produzcan se dirimirán de la siguiente manera:

Se atenderá, en primer lugar, a la mayor puntuación obtenida en el segundo ejercicio.

En caso de persistir el empate se resolverá, en favor de la persona con diversidad funcional, y si el empate se produce entre estas personas, se elegirá a quien tenga acreditado un mayor porcentaje de discapacidad.

En caso de persistir el empate, si éste fuera entre personas de diferente sexo, se dirimirá a favor del sexo infrarrepresentado dentro del colectivo de personas que forman parte de la escala media de informática de la Universitat Jaume I en la fecha de publicación de la presente convocatoria.

Finalmente, si aún persistiera el empate, éste se dirimirá de la siguiente forma:

Las preguntas tipo test del primer ejercicio se ordenarán por grado de dificultad o importancia, a criterio del órgano técnico de selección. Así, se atenderá las respuestas que las personas aspirantes hayan realizado en cada pregunta siguiendo el orden establecido, dirimiendo el empate con la respuesta correcta por delante de la respuesta en blanco, y ésta por delante de la respuesta errónea.

Octava. Desarrollo de las pruebas selectivas.

8.1 El ejercicio se realizará en el lugar, fecha y hora que se establezca en la resolución por la que se apruebe y publique en el TAO-UJI, la lista definitiva de personas admitidas a la realización de las pruebas.

8.2 Las personas admitidas serán convocadas para la realización del ejercicio en llamamiento único. Decaerán en el derecho cuando se personen en los lugares de celebración una vez iniciadas las pruebas o por la inasistencia a las mismas, aunque se deba a causas justificadas. Si se trata de pruebas orales u otras de carácter individual y sucesivo, el órgano técnico de selección podrá apreciar las causas alegadas y admitir a la persona aspirante, siempre que éstas no hayan finalizado y esta admisión no menoscabe el principio de igualdad con el resto de las personas.

Si alguna aspirante no pudiera completar el proceso selectivo a causa de embarazo de riesgo o parto debidamente acreditados, su situación quedará condicionada a la finalización del proceso y a la superación de las fases que hubieran quedado aplazadas, no pudiendo demorarse éstas de manera que se menoscabe el derecho del resto de las personas aspirantes a una resolución del proceso ajustada a tiempos razonables, lo que deberá ser valorado por el órgano técnico de selección, y en todo caso la realización de las mismas tendrá lugar antes de la publicación de la lista de personas que hayan superado el proceso selectivo. Idéntica previsión resulta de aplicación a las víctimas de violencia de género cuando acreditan debidamente que no pueden asistir por motivos de seguridad.

Se deberán observar en todo momento las instrucciones del órgano técnico de selección o del personal colaborador o asesor durante la celebración de las pruebas, para que se desarrollen adecuadamente. Cualquier alteración en el normal desarrollo de las pruebas por parte de una persona aspirante quedará reflejada en el acta correspondiente, pudiendo continuar esta persona el desarrollo del ejercicio con carácter condicional hasta que resuelva el órgano técnico de selección sobre el incidente.

Antes del inicio del ejercicio y siempre que se considere conveniente durante el desarrollo del mismo, las personas integrantes del órgano técnico de selección y el personal colaborador o asesor comprobarán la identidad de las personas admitidas mediante la presentación del DNI, NIE, pasaporte o permiso de conducir emitido en España, sin que para tal efecto sean válidas las fotocopias compulsadas de estos documentos; así como, en su caso, del ejemplar para la persona interesada de la solicitud de admisión a las pruebas.

8.3 Toda la información que sea necesaria comunicar a las personas aspirantes, la lista de personas aprobadas del ejercicio y cualquier otro anuncio que el órgano técnico de selección estime pertinente, se publicará en el TAO-UJI.

8.4 En todas las pruebas de esta convocatoria el órgano técnico de selección tomará las medidas que sean necesarias para garantizar el anonimato en la valoración de las mismas, y serán anulados todos aquellos ejercicios en los que se incluya alguna marca que pudiera identificar su autoría.

Novena. Publicidad de las listas.

9.1 Al finalizar los ejercicios de la oposición el órgano técnico de selección publicará en el TAO-UJI, la relación de personas que la han superado con expresión de su nombre, apellidos y la puntuación obtenida. Se entenderá que han superado la prueba únicamente aquellas que hayan obtenido la puntuación mínima exigida para superar los ejercicios según lo dispuesto en la base 7.

9.2 Una vez finalizada la fase de oposición, el órgano técnico de selección, mediante anuncio, publicará en el TAO-UJI, la lista con la calificación final.

9.3 A continuación, el órgano técnico de selección, mediante anuncio, publicará en el TAO-UJI la lista definitiva con la relación del personal aprobado y su puntuación total a que se refiere la base 7, que en ningún caso podrá superar el número de plazas convocadas de acuerdo con la base 1 de esta convocatoria.

Décima. Relación definitiva y presentación de documentos.

10.1 El órgano técnico de selección elevará al Rectorado de la Universitat Jaume I la relación definitiva del personal aprobado ordenado por su puntuación total, para que en el plazo de diez días hábiles contadores desde el siguiente al de su publicación aporte ante el Servicio de Recursos Humanos los siguientes documentos:

10.1.1 Original y copia del DNI o NIE.

10.1.2 Original y copia del título académico exigible según lo establecido en la base 2.4 de la convocatoria o certificación académica que acredite haber realizado todos los estudios para la obtención del título. En el caso de titulaciones obtenidas en el extranjero, fotocopia compulsada de la credencial que acredite la homologación que corresponda o, en su caso, del correspondiente certificado de equivalencia.

10.1.3 Para el personal funcionario interino: declaración jurada de no haber sido separado, o haberse revocado su nombramiento como tal, con carácter firme mediante procedimiento disciplinario de ninguna administración pública u órgano constitucional o estatutario, ni encontrarse inhabilitado por sentencia firme para el ejercicio de cualesquiera funciones públicas o de aquellas propias del cuerpo, agrupación profesional o escala objeto de la convocatoria. En el caso de personal laboral, declaración jurada de no encontrarse inhabilitado por sentencia firme o a consecuencia de haber sido despedido disciplinariamente de manera procedente, para ejercer funciones similares a las propias de la categoría profesional a la que se pretende acceder.

Para nacionales de otros Estados: no encontrarse inhabilitado o inhabilitada o en situación equivalente ni haber sido sometido o sometida a sanción disciplinaria o equivalente que impidiera en los mismos términos en su Estado el acceso al empleo público.

10.1.4 Declaración responsable en la que manifestarán poseer las capacidades y aptitudes físicas y psíquicas necesarias para el desempeño de las funciones o tareas que correspondan al puesto de trabajo. Esta declaración constituirá presunción de disponer de tales capacidades y requisitos de aptitud por parte de la persona declarante y podrá ser verificada, en su caso, con los informes médicos que emita el servicio de prevención correspondiente.

10.1.5 Acreditación de los conocimientos de valenciano, de acuerdo con la base 2.6 de esta convocatoria.

10.2 Las personas seleccionadas que, dentro del plazo indicado y excepto casos de fuerza mayor, no presentaron la documentación acreditativa o de la misma se dedujera que carecen de alguno de los requisitos exigidos, no podrá ser nombradas personal funcionario de carrera de la Universitat Jaume I, sin perjuicio de la responsabilidad en que pudieran haber incurrido por falsedad en sus solicitudes de participación.

10.3 No obstante lo dispuesto en los apartados anteriores, de acuerdo con lo establecido en el artículo 28 de la Ley 39/2015, el órgano gestor del proceso selectivo podrá acceder a las bases de datos de las administraciones públicas, exclusivamente a efectos de verificar los datos relativos a la condición de personas con diversidad funcional, familia numerosa, titulación académica y nivel de conocimientos de valenciano, salvo que la persona interesada manifieste expresamente que no presta su consentimiento en el formulario de la solicitud.

Undécima. Nombramiento de personal funcionario de carrera.

Transcurrido el plazo de presentación de la documentación se dictará una resolución, que se publicará en el «Diari Oficial de la Generalitat Valenciana» por la que se hará el nombramiento como personal funcionario de carrera de la escala superior de análisis de datos de la Universitat Jaume I, grupo A, subgrupo A1, del personal aprobado a que hace referencia la base 9.3, previa adjudicación del puesto de trabajo de acuerdo con la puntuación obtenida.

Con la finalidad de asegurar la cobertura de la plaza convocada, cuando se produzcan renuncias del personal seleccionado, antes de su nombramiento o de la toma de posesión, el órgano convocante podrá requerir del órgano técnico de selección relación complementaria de las personas que sigan a las propuestas para su posible nombramiento como personal funcionario de carrera.

Duodécima. Órgano técnico de selección.

12.1 El órgano técnico de selección de la convocatoria estará compuesto por: presidente o presidenta, secretario o secretaria y tres vocales, y se designará el mismo número de suplentes. En la composición se atenderá a lo establecido en el artículo 60 del texto refundido de la Ley del Estatuto Básico del Empleado Público, y se garantizará la composición equilibrada entre mujeres y hombres.

12.2 La relación nominal de las personas que integran el órgano técnico de selección será publicada con una antelación mínima de un mes a la fecha de comienzo de las pruebas, mediante resolución que se publicará en el TAO-UJI, una vez hayan sido publicadas las listas provisionales de personas admitidas y excluidas.

12.3 El órgano técnico de selección, para la realización de las pruebas, podrá solicitar la designación de personal colaborador, ayudante y asesor especialista que estime oportunos.

12.4 Corresponde al órgano técnico de selección las funciones relativas a la determinación concreta del contenido de las pruebas y a la calificación de las personas admitidas, así como, en general, la adopción de cuantas medidas sea precisas de cara al correcto desarrollo de las pruebas selectivas.

12.5 Las personas integrantes del órgano técnico de selección, así como el personal asesor, deberán abstenerse y podrán ser recusadas por las personas interesadas cuando concurran en las mismas circunstancias de las previstas en los artículos 23 y 24 de la Ley 40/2015, de 1 de octubre, de Régimen Jurídico del Sector Público.

Asimismo, deberán abstenerse las personas integrantes del órgano técnico de selección que habían realizado tareas de preparación de aspirantes en los cinco años anteriores a la publicación de esta convocatoria.

12.6 A efectos de comunicaciones y de cualquier otra incidencia el órgano técnico de selección tendrá su sede en el Servicio de Recursos Humanos de la Universitat Jaume I.

12.7 El órgano técnico de selección, a efectos de gratificaciones e indemnizaciones, se regirá por lo dispuesto en el Reglamento sobre indemnizaciones por razón del servicio y gratificaciones de la Universitat Jaume I, aprobado por el Consejo de Gobierno del 12 de julio de 2023 y modificado por el Consejo de Gobierno del 24 de octubre de 2023.

12.8 El funcionamiento del órgano técnico de selección se adaptará a lo establecido en la Ley 40/2015, de 1 de octubre, de Régimen Jurídico del Sector Público, y otra normativa vigente.

12.9 Para el desarrollo de estas pruebas selectivas, el órgano técnico de selección se ajustará a las Instrucciones para los órganos técnicos de selección encargados de los procesos selectivos del PTGAS de la Universitat Jaume I aprobadas por la Gerencia.

ANEXO II
Temario

General

1. La Constitución Española.

2. El Estatuto de Autonomía de la Comunidad Valenciana.

3. El Estatuto Básico del Empleado público.

4. La función pública valenciana.

5. Ley Orgánica del Sistema Universitario.

6. Ley de Convivencia Universitaria: aplicación al personal docente e investigador y al personal técnico, de gestión y de administración y servicios.

7. Los Estatutos de la Universitat Jaume I.

8. Transparencia y acceso a la información pública. Aplicación en la Comunidad Valenciana.

9. Ley de Prevención de Riesgos Laborales.

10. Ley Orgánica para la Igualdad Efectiva de Mujeres y Hombres.

Específico

11. Calidad: Concepto, evolución y principios.

12. Procesos: Gestión por procesos. Reingeniería de procesos. Control estadístico por procesos.

13. Herramientas para la gestión de la calidad.

14. Gestión de la calidad en los servicios.

15. Modelos de Gestión de la Calidad en la administración pública. El modelo EFQM 2025 de excelencia.

16. Normalización y certificación. UNE-EN ISO 9001:2015 y UNE-EN ISO 9001:2015/A1:2024.

17. Benchmarking: Metodología aplicada en las universidades.

18. Indicadores del Sistema integrado de información Universitaria (SIIU).

19. La estadística de la Universidad Española en Cifras de la CRUE.

20. Rankings internacionales en la educación superior. ARWU, THE y QS.

21. Rankings nacionales en la educación superior. Fundación CYD y U-ranking.

22. Indicadores del modelo ANECA-AUDIT de títulos universitarios.

23. Indicadores del modelo ANECA-DOCENTIA de evaluación del profesorado.

24. Indicadores del Plan de acción de Gobierno 2023-2026 de la UJI.

25. Indicadores del Plan de Responsabilidad Social Universitaria 2023-2026 de la UJI.

26. Indicadores de la memoria académica 2023-24 de la UJI.

27. Indicadores del sello europeo hrs4r de excelencia en la contratación de investigadores en la UJI.

28. Principales estadísticas del Ministerio de Universidades: Catálogo de datos. Publicaciones. Infografías. Índice de digitalización.

29. CRUE: UniversiTIC y Guía de buenas prácticas en materia de Transparencia y Protección de Datos.

30. Informe CYD 2024: Principales datos analizados por la Fundación CyD.

31. THE (World University Rankings): Resultados y metodologías de World University Rankings (2025), Impact Rankings (2024) y Young University Rankings (año 2024).

32. INE-universidad: Enseñanza e Investigación y Desarrollo.

33. La difusión de informes de datos y resúmenes estadísticos de ANECA.

34. Introducción a las bases de datos. Sistemas de gestión de bases de datos.

35. Modelos de datos. El modelo relacional.

36. Lenguaje SQL.

37. Técnicas de análisis exploratorio de datos.

38. Técnicas de anonimización de datos.

39. Técnicas de reducción de la dimensión: Análisis en componentes principales.

40. Análisis Factorial.

41. Análisis de correspondencias.

42. Escalamiento multidimensional.

43. Visualización y comunicación de resultados.

44. El informe: modelos, formatos y estilos de redacción. Aspectos éticos.

45. Técnicas de análisis multivariante de datos: Conceptos básicos.

46. Modelo logarítmico lineal y tablas de contingencia.

47. Técnicas de segmentación, clasificación y agrupamiento: Análisis clúster.

48. Análisis discriminante.

49. Técnicas de comparación de poblaciones: Análisis de la varianza.

50. Modelos logístico y probit.

51. Técnicas de predicción.

52. Inferencia estadística. Distribución muestral.

53. Inferencia estadística. Estimación puntual y por intervalo.

54. Inferencia estadística. Contraste de hipótesis.

55. Inferencia estadística. Teoría de la decisión en estimación y contraste de hipótesis.

56. Verificación de los planes de estudios y establecimiento del carácter oficial de los títulos.

57. Seguimiento de los títulos y modificación de planes de estudio.

58. Renovación de la acreditación.

59. Ley Orgánica 3/2018, de 5 de diciembre, de Protección de Datos Personales y Garantía de los Derechos Digitales.

60. Tipología del profesorado docente universitario y del personal investigador en las universidades.

Nota: la normativa legal que ampara el contenido de estos temas será la que se encuentre en vigor en el momento de la publicación en el «Boletín Oficial del Estado» (BOE) de esta convocatoria.

ANÁLISIS

  • Rango: Resolución
  • Fecha de disposición: 06/03/2025
  • Fecha de publicación: 13/03/2025
  • Convocatoria. Subgrupo A1.

subir

Agència Estatal Butlletí Oficial de l'Estat

Avda. de Manoteras, 54 - 28050 Madrid