Está Vd. en

Documento BOE-A-2025-5876

Resolución de 13 de marzo de 2025, de la Universidad Carlos III de Madrid, por la que se convoca proceso selectivo para ingreso, por el sistema general de acceso libre, en la Escala Técnica Facultativa de Grado Medio.

Publicado en:
«BOE» núm. 71, de 24 de marzo de 2025, páginas 40018 a 40036 (19 págs.)
Sección:
II. Autoridades y personal - B. Oposiciones y concursos
Departamento:
Universidades
Referencia:
BOE-A-2025-5876

TEXTO ORIGINAL

Con el fin de atender las necesidades de Personal Técnico, de Gestión y de Administración y Servicios de la Universidad Carlos III de Madrid, y en cumplimiento de lo dispuesto en sus Estatutos, aprobados por Decreto 1/2003, de 9 de enero de la Comunidad de Madrid (BOCM de 20 de enero) y modificados por Decreto 95/2009, de 12 de noviembre (BOCM de 4 de diciembre),

Esta Gerencia, en uso de las atribuciones que tiene delegadas por Resolución del Rector de fecha 3 de julio de 2022 (BOCM de 15 de julio), garantizando el respeto a los principios de publicidad, mérito, capacidad, igualdad, libre concurrencia y transparencia, y una vez cumplidas las formalidades contenidas en el artículo 125 de los citados Estatutos, ha resuelto convocar proceso selectivo por el sistema general de acceso libre por concurso-oposición para el ingreso en la Escala Técnica Facultativa de Grado Medio, especialidad Prevención de Riesgos Laborales (Subgrupo A2).

Bases de convocatoria

Primera. Normas generales.

1.1 Se convocan pruebas selectivas para la cobertura de una plaza de la Escala Técnica Facultativa de Grado Medio, especialidad Prevención de Riesgos Laborales, Grupo A, Subgrupo A2, de la Universidad Carlos III de Madrid por el sistema general de acceso por turno libre.

1.2 La plaza indicada corresponde a la tasa de reposición de la Oferta de Empleo Público para el ejercicio 2023 vinculada a la tasa específica recogida en el apartado dos.4 del artículo 20 de la Ley 31/2022, de 23 de diciembre, de Presupuestos Generales del Estado para el año 2023 (BOCM de 13 de noviembre de 2024).

1.3 A las presentes pruebas selectivas les serán de aplicación la Ley Orgánica 2/2023, de 22 de marzo, del Sistema Universitario; el Real Decreto Legislativo 5/2015, de 30 de octubre, por el que se aprueba el texto refundido de la Ley del Estatuto Básico del Empleado Público; la Ley 30/1984, de 2 de agosto, de Medidas para la Reforma de la Función Pública; el Real Decreto 364/1995, de 10 de marzo, por el que se aprueba el Reglamento General de Ingreso del Personal al Servicio de la Administración General del Estado y de Provisión de los Puestos de Trabajo y Promoción Profesional de los Funcionarios Civiles de la Administración General del Estado; el Real Decreto Legislativo 1/2013, de 29 de noviembre, por el que se aprueba el texto refundido de la Ley General de derechos de las personas con discapacidad y de su inclusión social; el Real Decreto 2271/2004, de 3 de diciembre, por el que se regula el acceso al empleo público y la provisión de puestos de trabajo de las personas con discapacidad; el Real Decreto 543/2001, de 18 de mayo, sobre acceso al empleo público de la Administración General del Estado y sus organismos públicos de nacionales de otros Estados a los que es de aplicación el derecho a la libre circulación de trabajadores; el Reglamento (UE) n.° 492/2011 del Parlamento Europeo y del Consejo, de 5 de abril de 2011, relativo a la libre circulación de los trabajadores dentro de la Unión; los Estatutos de la Universidad Carlos III de Madrid, aprobados por Decreto 1/2003, de 9 de enero, de la Comunidad de Madrid (BOCM de 20 de enero) y modificados por Decreto 95/2009, de 12 de noviembre (BOCM de 4 de diciembre) y las presentes bases de convocatoria.

1.4 Programa. El programa que ha de regir las pruebas es el que figura en el anexo I de la presente convocatoria.

1.5 Sistema de Selección. El sistema de selección de aspirantes será el de concurso-oposición. El desarrollo del proceso se detalla en la base quinta y en el anexo II de esta convocatoria.

1.6 Celebración del ejercicio. El primer ejercicio de la fase de oposición se podrá celebrar a partir del 1 de mayo de 2025.

1.7 Medio de publicación. Todas las resoluciones que se adopten en referencia a este proceso selectivo se harán públicas en la página web de la universidad www.uc3m.es/empleo/pas. La presente convocatoria será objeto de publicación en el «Boletín Oficial del Estado» y se publicará anuncio en el «Boletín Oficial de la Comunidad de Madrid» y en el «Boletín Oficial Electrónico de la Universidad Carlos III de Madrid» (BOEL). Finalizado el proceso selectivo, los nombramientos se publicarán en el «Boletín Oficial de la Comunidad de Madrid».

1.8 La adjudicación de las plazas a quienes superen el proceso selectivo se efectuará de acuerdo con la puntuación total obtenida a lo largo del mismo y, en ningún caso, se podrá declarar superado el proceso selectivo a un número de aspirantes superior al de plazas convocadas.

Segunda. Requisitos de participación.

2.1 Para la admisión a este proceso selectivo, las personas que deseen participar deberán reunir los requisitos generales de acceso a la función pública y, en particular, los siguientes:

a) Nacionalidad: Tener la nacionalidad española o ser nacional de un Estado miembro de la Unión Europea, o nacional de aquellos Estados a los que, en virtud de los Tratados Internacionales celebrados por la Unión Europea y ratificados por España, sea de aplicación la libre circulación de los trabajadores. También podrán participar, cualquiera que sea su nacionalidad, el cónyuge de los españoles y de los nacionales de otros Estados miembros de la Unión Europea, siempre que no estén separados de derecho, y sus descendientes y los de su cónyuge, siempre que no estén separados de derecho, menores de veintiún años o mayores de dicha edad que sean dependientes. Se deberá acreditar la relación familiar con un certificado literal de matrimonio en el caso de los cónyuges o un certificado de familia para los descendientes.

b) Capacidad: Poseer la capacidad funcional para el desempeño de las tareas habituales propias de la Escala a la que se opta.

c) Edad: Tener cumplidos dieciséis años y no exceder, en su caso, de la edad máxima de jubilación forzosa.

d) Habilitación: No haber sido objeto de separación del servicio de cualquiera de las Administraciones públicas mediante expediente disciplinario, ni hallarse en situación de inhabilitación absoluta o especial para empleos o cargos públicos por sentencia judicial firme, ni pertenecer al mismo Cuerpo o Escala al cual se opta por esta convocatoria. En el caso de ser nacional de otro Estado, no hallarse en situación de inhabilitación o equivalente ni haber sido sometido a sanción disciplinaria o equivalente que impida, en su Estado, en los mismos términos, el acceso al empleo público.

e) Titulación: Estar en posesión del Título universitario de Diplomado, Ingeniero Técnico, Arquitecto Técnico, Grado o equivalente, o en condiciones de obtenerlo en la fecha que termine el plazo de presentación de solicitudes.

Asimismo, deberán estar en posesión de la habilitación mediante titulación universitaria oficial para desempeñar funciones de nivel superior en las tres especialidades preventivas (Seguridad en el Trabajo, Higiene Industrial y Ergonomía y Psicosociología Aplicada) o mediante formación certificada equivalente para su desempeño, conforme a lo regulado en el artículo 37 de Real Decreto 39/1997, de 17 de enero, por el que se aprueba el Reglamento de los Servicios de Prevención.

Los aspirantes con titulaciones universitarias obtenidas fuera del Espacio Europeo de Educación Superior deberán acreditar que están en posesión de la correspondiente credencial de homologación o en su caso del correspondiente certificado de equivalencia. Los títulos de Grado expedidos por universidades en los Estados miembros de la Unión Europea serán equivalentes, a todos los efectos, a aquellos expedidos por universidades españolas.

2.2 Todos los requisitos y méritos alegados deberán poseerse en el día de la finalización del plazo de presentación de solicitudes y mantenerse, en su caso, hasta el día de la incorporación o toma de posesión como funcionario/a de carrera en la Escala convocada.

Tercera. Solicitudes.

3.1 Quienes deseen tomar parte en esta convocatoria deberán presentar su solicitud exclusivamente de forma telemática a través del enlace que se habilitará en la página web de la Universidad Carlos III de Madrid: www.uc3m.es/empleo/pas.

3.2 El plazo para acceder a la aplicación habilitada al efecto y formular la solicitud será de veinte días hábiles contados a partir del siguiente al de la publicación del anuncio de esta convocatoria en el «Boletín Oficial Electrónico de la Universidad Carlos III de Madrid» (BOEL), sin perjuicio de su previa publicación en el «Boletín Oficial del Estado» y de su reseña en el «Boletín Oficial de la Comunidad de Madrid».

3.3 Los derechos de examen serán de 40,37 euros y se ingresarán en la cuenta corriente de la Universidad Carlos III de Madrid con código IBAN ES22 0182 2370 4200 0031 0297, en el concepto figurará el NIF o NIE del solicitante junto con la referencia «A2-PRL». El ingreso podrá efectuarse directamente en cualquier oficina del Banco BBVA, o bien mediante transferencia bancaria a la citada cuenta desde otra entidad. En el justificante de la transferencia o ingreso, que ha de aportarse junto con la solicitud, deberá constar la fecha de la transferencia o ingreso y el NIF del solicitante.

La falta de abono de estos derechos de participación en el proceso selectivo durante el plazo de presentación de solicitudes no es subsanable y determinará la exclusión del solicitante.

En ningún caso el pago de los derechos o la justificación de la concurrencia de las causas de exención total o parcial de los mismos supondrá la sustitución del trámite de presentación, en tiempo y forma, de la solicitud de participación en este proceso selectivo.

Tanto el abono de los derechos de examen como la circunstancia de exención, en su caso, deberán acreditarse documentalmente por los aspirantes en la presentación de la solicitud.

Estarán exentas del pago de la tasa:

1. Las personas desempleadas que figuren inscritas en los Servicios Públicos de Empleo, como demandantes de empleo con una antigüedad mínima de seis meses, referida a la fecha de la publicación del correspondiente anuncio de la convocatoria en el «Boletín Oficial de la Comunidad de Madrid».

Estas personas deberán acompañar a la solicitud uno de los siguientes documentos:

a) Informe de período ininterrumpido inscrito en situación de desempleo expedido por los Servicios Públicos de Empleo en el que conste expresamente una antigüedad mínima de seis meses inmediatamente anteriores a la fecha de publicación del anuncio al que se hace referencia en el párrafo anterior. Dicho informe se solicitará en la Oficina de Empleo que corresponda, debiendo figurar clara y expresamente todos y cada uno de los requisitos señalados anteriormente.

b) Documento de Alta y Renovación de la Demanda de Empleo (DARDE), como certificado que acredita la situación de un demandante de empleo junto con un informe de vida laboral actualizado (deben presentarse ambos documentos conjuntamente).

c) Informe negativo de rechazos que se solicitará en las oficinas de los Servicios Públicos de Empleo.

2. Las personas con discapacidad de grado igual o superior al 33 por 100, debiendo acompañar a la solicitud: Certificado de reconocimiento del grado de discapacidad en vigor o que indique su carácter permanente, o bien Tarjeta acreditativa del grado de discapacidad.

3. Las víctimas del terrorismo: personas que hayan sufrido daños físicos o psíquicos como consecuencia de la actividad terrorista, su cónyuge o persona que haya convivido con análoga relación de afectividad, el cónyuge del fallecido y los hijos de heridos y fallecidos. Deberán acreditarlo mediante el Certificado que le acredite como víctima de terrorismo, expedido por el órgano competente del Ministerio del Interior.

4. Las víctimas de violencia de género a las que hace referencia la Ley Orgánica 1/2004, de 28 de diciembre, de Medidas de Protección Integral contra la Violencia de Género. Deberán aportar acreditación administrativa de la situación de violencia de género en el modelo común para la acreditación de la situación de violencia de género, adoptado en cumplimiento de lo previsto en el artículo 23 de la citada ley.

5. Las familias numerosas, en los siguientes términos:

– 100 por 100 de exención a los miembros de familias de categoría especial.

– 50 por 100 de exención a los miembros de familias de categoría general.

Se deberá acreditar la condición de familia numerosa y su categoría mediante el correspondiente título autorizado.

3.4 De conformidad con lo establecido en el Decreto Legislativo 1/2002, de 24 de octubre, por la que se aprueba el texto refundido de la Ley de Tasas y Precios Públicos de la Comunidad de Madrid, procederá, previa solicitud de la persona interesada, la devolución de los derechos de examen únicamente en los supuestos de exclusión por causas no imputables a la misma. La devolución se solicitará en el plazo de diez días hábiles desde la publicación de las listas definitivas de aspirantes admitidos/as y excluidos/as en el correspondiente proceso selectivo. El titular de la tasa cuya devolución se solicita deberá ser titular o cotitular de la cuenta bancaria en la que se vaya a realizar la devolución.

3.5 A la instancia se acompañará la siguiente documentación:

a) Documentación acreditativa de la nacionalidad, en virtud de la base 2.1.a).

b) Documento acreditativo de la realización del abono de los derechos de examen, mediante la aportación de una copia del resguardo del ingreso o transferencia realizada, o bien del documento acreditativo que determina la causa de exención de su abono, en su caso. La falta de justificación del abono de los derechos de examen o de su exención determinará la exclusión del aspirante.

c) Los aspirantes con discapacidad de grado igual o superior al 33 por 100 que soliciten adaptación de tiempo y/o medios deberán hacerlo según el modelo que figura como anexo IV, adjuntando, además, dictamen técnico facultativo emitido por el Órgano Técnico de Valoración que dictaminó el grado de discapacidad. La falta de indicación detallada de la adaptación que precisa determinará el desistimiento del aspirante en su solicitud de adaptación.

3.6 Son causas de exclusión del aspirante:

a) El incumplimiento de los requisitos de participación establecidos en la presente convocatoria.

b) La no presentación de la solicitud, así como de la documentación relacionada en la base 3.5, en tiempo y forma.

c) La falta de pago de la tasa correspondiente por derechos de examen o la falta de justificación de su abono o de encontrarse exento, total o parcialmente, de este pago; todo ello en tiempo y forma.

Cuarta. Admisión de aspirantes.

4.1 Finalizado el plazo de presentación de solicitudes, la Gerencia de la Universidad Carlos III de Madrid dictará resolución en virtud de la cual se declararán aprobadas las listas provisionales de aspirantes admitidos y excluidos a las plazas convocadas, con indicación expresa de la causa de exclusión. Dicha resolución, que se publicará en la página web de la Universidad www.uc3m.es/empleo/pas, contendrá la designación de las personas que integrarán el Tribunal Calificador.

4.2 Quienes resulten excluidos expresamente, así como quienes no figuren en las listas provisionales publicadas, dispondrán de un plazo de diez días hábiles, contados a partir del siguiente al de la publicación de la mencionada resolución para poder subsanar el defecto que haya motivado su exclusión o su omisión de las relaciones de admitidos y excluidos. Quienes, dentro del plazo señalado, no subsanen la exclusión o la omisión, justificando su derecho a estar incluidos en la relación de admitidos, serán definitivamente excluidos de la realización de las pruebas.

4.3 Finalizado el plazo de subsanación se publicará, en la página web de la Universidad Carlos III de Madrid, la resolución por la que se aprueban las listas definitivas de aspirantes admitidos y excluidos, entendiéndose desestimadas las reclamaciones no recogidas en la misma. En dicha resolución se hará constar, a propuesta del Tribunal Calificador, la fecha, lugar y hora de realización del primer ejercicio de la fase de oposición, con una antelación mínima de diez días hábiles.

4.4 La resolución que apruebe con carácter definitivo las listas de aspirantes admitidos y excluidos pondrá fin a la vía administrativa y, contra la misma, se podrá interponer recurso contencioso-administrativo ante el Juzgado de lo Contencioso-Administrativo de Madrid en el plazo de dos meses desde su publicación o, potestativamente, el recurso de reposición ante este Rectorado en el plazo de un mes, en los términos previstos en la Ley 29/1998, de 13 de julio, reguladora de la Jurisdicción Contencioso-administrativa y en la Ley 39/2015, de 1 de octubre, del Procedimiento Administrativo Común de las Administraciones Públicas, respectivamente.

Quinta. Procedimiento de selección.

5.1 El procedimiento de selección constará de dos fases: fase de oposición y fase de concurso.

La fase de oposición constituirá el 70 por 100 del proceso selectivo y tendrá carácter eliminatorio. A su vez, la fase de concurso constituirá el 30 por 100 del proceso selectivo y no tendrá carácter eliminatorio.

5.2 La fase de oposición consistirá en la realización de dos ejercicios obligatorios en los términos que se especifican en el anexo II de la presente convocatoria.

5.3 Finalizada la fase de oposición tendrá lugar la fase de concurso. Tan sólo participarán en esta fase aquellos aspirantes que hayan superado la fase de oposición. En esta fase se valorarán los méritos acreditados por los aspirantes de conformidad con el baremo fijado en el anexo II. En ningún caso los puntos obtenidos en esta fase podrán ser computados para superar el ejercicio realizado en la fase de oposición.

El Tribunal requerirá, mediante anuncio publicado en la página web de la Universidad, a quienes hayan superado la fase de oposición para que, en el plazo de diez días hábiles, presenten la documentación acreditativa de los méritos que aleguen para su valoración en esta fase del proceso selectivo.

Para la valoración de los méritos alegados, el Tribunal tomará como fecha límite para su cómputo la de finalización del plazo de presentación de las solicitudes de participación en las presentes pruebas selectivas, excepto para la acreditación del nivel de inglés, donde se admitirán títulos o certificaciones oficiales obtenidos hasta la fecha de publicación de la resolución del Tribunal por la que declaran las personas que han superado la fase de oposición.

5.4 La valoración final del proceso selectivo vendrá dada por la suma de las puntuaciones obtenidas en ambas fases (concurso y oposición), no pudiendo resultar aprobados, tras la suma de ellas, un número mayor de personas que el de las plazas convocadas.

Corresponderá al Tribunal fijar el nivel mínimo exigible para superar el ejercicio de la fase de oposición, todo ello a la vista del grado de dificultad del mismo y del conocimiento demostrado por los aspirantes para el acceso a esta Escala.

Para aprobar las presentes pruebas selectivas y obtener una de las plazas convocadas será necesario superar el ejercicio de la fase de oposición y encontrarse, una vez sumadas las puntuaciones de la fase de concurso, en un número de orden no superior al número de plazas convocadas.

En caso de igualdad en la puntuación total, se dará prioridad a quien haya obtenido:

a) Mayor puntuación en la fase de oposición.

b) Mayor puntuación en el segundo ejercicio (práctico) de la fase de oposición.

c) Mayor puntuación en la fase de concurso en el apartado experiencia profesional.

d) Mayor puntuación en la fase de concurso.

De persistir el empate, se dirimirá atendiendo al orden alfabético conforme a la letra que resulte del sorteo público a que hace referencia la base 7.1.

Sexta. Tribunal Calificador.

6.1 El Tribunal Calificador de las presentes pruebas selectivas se ajustará a lo establecido en el Real Decreto 364/1995, de 10 de marzo, por el que se aprueba el Reglamento General de Ingreso del Personal al Servicio de la Administración General del Estado y de Provisión de los puestos de Trabajo y Promoción Profesional de los Funcionarios Civiles de la Administración del Estado, así como a lo especificado en el Real Decreto Legislativo 5/2015, de 30 de octubre, por el que se aprueba el texto refundido de la Ley del Estatuto Básico del Empleado Público y en la Ley 40/2015, de 1 de octubre, de Régimen Jurídico del Sector Público.

El Tribunal estará compuesto por la Presidencia y cuatro vocales designados por el Rector, entre funcionarios/as de carrera pertenecientes a cuerpos o escalas con nivel de titulación igual o superior al exigido para el acceso a esta escala y otro funcionario/a con iguales requisitos que actuará como secretario/a, con voz, pero sin voto. Se designará un número igual de miembros suplentes, procurando la presencia equilibrada de hombres y mujeres conforme a lo establecido en el artículo 60 del Real Decreto Legislativo 5/2015, de 30 de octubre, por el que se aprueba el texto refundido del Estatuto Básico del Empleado Público y el III Plan de Igualdad de la Universidad Carlos III de Madrid aprobado en Consejo de Gobierno de 30 de enero de 2025.

6.2 De conformidad con lo dispuesto en el Real Decreto 462/2002, de 24 de mayo, sobre indemnizaciones por razón del servicio, el Tribunal tendrá la categoría segunda.

6.3 Los miembros del Tribunal deberán abstenerse de intervenir, notificándolo al Servicio de Recursos Humanos, cuando concurran en ellos alguna circunstancia de las previstas en el artículo 23.2 de la Ley 40/2015, de 1 de octubre, de Régimen Jurídico del Sector Público, o si hubiesen realizado tareas de preparación de aspirantes a pruebas selectivas de acceso a Cuerpos y Escalas análogos al que corresponden las plazas convocadas, en los cinco años anteriores a la publicación de esta convocatoria.

Quien desempeñe la presidencia podrá solicitar de los miembros del Tribunal declaración expresa de no hallarse incursos en alguna de las circunstancias señaladas en el mencionado artículo 23 de la Ley 40/2015.

Asimismo, los aspirantes podrán recusar a los miembros del Tribunal cuando, a su juicio, concurra en ellos algunas de las circunstancias referidas con anterioridad, conforme a lo establecido en el artículo 24 de la precitada Ley 40/2015.

En caso de que se produzca la pérdida de las condiciones en virtud de las cuales se hubiera efectuado el nombramiento de los miembros del tribunal, con posterioridad al mismo, la Universidad Carlos III de Madrid procederá a la consiguiente sustitución del miembro de que se trate, la cual será publicada en la página web del proceso.

6.4 Con anterioridad al inicio de las pruebas selectivas, la Gerencia publicará, en la página web el proceso, resolución por la que se nombre a los nuevos miembros del Tribunal que hayan de sustituir a los que hayan perdido su condición por alguna de las causas previstas en la base 6.3.

6.5 Previa convocatoria de quien ostente la Presidencia, se constituirá el Tribunal con la asistencia del Presidente/a y Secretario/a o, en su caso, de quienes los sustituyan y la de la mitad, al menos, de sus miembros. El Tribunal celebrará su sesión de constitución con un mínimo de diez días de antelación a la fecha prevista para la celebración del ejercicio de la fase de oposición. En dicha sesión, el Tribunal acordará todas las decisiones que le correspondan en orden al correcto desarrollo de la prueba selectiva.

6.6 A partir de su constitución, el Tribunal, para actuar válidamente, requerirá de la presencia del Presidente/a y Secretario/a o, en su caso, de quienes les sustituyan y de la mitad, al menos, de sus miembros, sean titulares o suplentes.

6.7 Durante todo el proceso selectivo, el Tribunal resolverá las dudas que puedan surgir en la aplicación de estas normas, así como la actuación que proceda en los casos no previstos. En todo momento su actuación se ajustará a lo dispuesto en las mencionadas Ley 39/2015 y Ley 40/2015.

Corresponde al Tribunal:

a) La verificación de la identidad de los aspirantes.

b) La valoración de los méritos alegados por los aspirantes.

c) La adopción de medidas precisas en orden al correcto desarrollo de la convocatoria.

d) La facultad de interpretación de las presentes bases.

El Tribunal podrá solicitar de la autoridad convocante la designación de expertos que, en calidad de asesores, actuarán con voz, pero sin voto.

6.8 El Tribunal adoptará discrecionalmente las medidas necesarias precisas en aquellos casos en que resulte necesario, de forma que las personas con discapacidad gocen de similares condiciones para la realización de los ejercicios que el resto de participantes. En este sentido, se establecerán, para las personas con discapacidad que lo soliciten, las adaptaciones posibles en tiempos y medios, debiendo cumplimentarse para ello el anexo IV de esta convocatoria.

6.9 A efectos de comunicaciones y demás incidencias, el Tribunal tendrá su sede en el Rectorado de la Universidad Carlos III de Madrid, calle Madrid, número 126, de Getafe (Madrid), Dirección de Recursos Humanos y Organización, correo electrónico: selecpas@pa.uc3m.es.

6.10 En ningún caso, el Tribunal podrá aprobar ni declarar que han superado las pruebas selectivas un número superior de aspirantes al de las plazas convocadas. Cualquier propuesta de aprobados que contravenga lo anterior será nula de pleno derecho. Con el fin de asegurar la cobertura de las plazas convocadas, cuando se produzcan renuncias de los aspirantes seleccionados, antes de su nombramiento o toma de posesión, el órgano convocante podrá requerir del órgano de selección relación complementaria de los aspirantes que sigan al propuesto/a para su posible nombramiento como personal funcionario de carrera.

Séptima. Calendario y desarrollo de los ejercicios.

7.1 El orden de actuación de quienes participen en este proceso selectivo, en aquellos ejercicios en que sea necesario, se iniciará alfabéticamente por el primero de la letra «N», de conformidad con lo establecido en la Resolución de 2 de abril de 2024, de la Dirección General de la Función Pública de la Comunidad de Madrid, por la que se hace público el resultado del sorteo efectuado con objeto de determinar el orden de actuación de los aspirantes en los procesos selectivos.

7.2 En cualquier momento las personas participantes podrán ser requeridas por los miembros del Tribunal para que acrediten su identidad.

7.3 Serán convocadas para la realización del ejercicio en único llamamiento, siendo excluidas de la oposición quienes no comparezcan, salvo en los casos de fuerza mayor debidamente justificados y libremente apreciados por el Tribunal.

7.4 El ejercicio de la fase de oposición comenzará a partir del día señalado en la base 1.6, publicándose la fecha concreta en la resolución a la que se refiere la base 4.3.

7.5 La publicación de los sucesivos anuncios, si los hubiera, se efectuará por el Tribunal en la página web de la Universidad Carlos III de Madrid www.uc3m.es/empleo/pas y por cualquier otro medio si se juzga conveniente para facilitar su máxima divulgación.

7.6 En cualquier momento del proceso selectivo, si el Tribunal tuviere conocimiento de que alguno de los aspirantes no posee la totalidad de los requisitos de participación exigidos en la presente convocatoria, previa audiencia del interesado/a, propondrá su exclusión a la Gerencia, dando traslado, asimismo, de las inexactitudes o falsedades formuladas en la solicitud de admisión a las pruebas selectivas a los efectos procedentes. La resolución de exclusión pondrá fin a la vía administrativa y contra la misma, quienes resulten definitivamente excluidos, podrán interponer recurso contencioso-administrativo ante el Juzgado de lo Contencioso-Administrativo de Madrid en el plazo de dos meses desde su publicación o, potestativamente, recurso de reposición ante este Rectorado en el plazo de un mes, en los términos previstos en la Ley 29/1998, de 13 de julio, reguladora de la Jurisdicción Contencioso-administrativa y en la Ley 39/2015, de 1 de octubre, del Procedimiento Administrativo Común, respectivamente.

Octava. Lista de aspirantes aprobados.

8.1 Finalizadas las pruebas selectivas, el Tribunal hará pública en la página web de la Universidad Carlos III de Madrid la relación de aspirantes aprobados en la que constará la calificación de la fase de oposición y la puntuación obtenida en la fase de concurso.

8.2 Quien ostente la Presidencia del Tribunal elevará la relación con dichos aspirantes al Rector. A la vista de la misma, el Rector adoptará la correspondiente Resolución declarando los aspirantes que han superado el proceso selectivo, que será objeto de publicación en la página web de la Universidad.

Novena. Presentación de documentos y nombramiento como personal funcionario de carrera.

9.1 En el plazo de veinte días hábiles, a contar desde el día siguiente al de la publicación en la página web de la Universidad de la resolución a la que se hace referencia en la base 8.2, quien haya superado las presentes pruebas selectivas presentará, para su nombramiento como personal funcionario de carrera, presencialmente en el Registro General de la Universidad Carlos III de Madrid, escrito dirigido a la Dirección de Servicios de Recursos Humanos y Organización con los siguientes documentos:

a) DNI o NIE, así como original o copia compulsada del resto de la documentación acreditativa de la nacionalidad en virtud de la base 2.1.a).

b) Documento original de la titulación requerida en la base 2.1.e) de esta convocatoria o certificación académica acreditativa de tener aprobadas todas las asignaturas que le capacitan para la obtención de la misma, acompañando el resguardo justificativo de haber abonado los derechos para la expedición del correspondiente título. En el caso de titulaciones obtenidas en el extranjero, deberá presentarse fotocopia compulsada de la documentación que acredite su homologación o declaración de equivalencia.

c) Declaración jurada o promesa de no haber sido separado mediante expediente disciplinario del servicio de ninguna Administración Pública, ni hallarse inhabilitado para el ejercicio de las funciones públicas.

d) Original y copia para su cotejo de todos los méritos aportados en la fase de concurso, salvo los cursos realizados en la Universidad Carlos III de Madrid y los certificados de servicios expedidos por esta Universidad.

e) Certificado médico oficial acreditativo de no padecer enfermedad ni defecto físico que imposibilite para el servicio.

9.2 Quien tuviera la condición de personal funcionario de carrera o laboral fijo de cualquiera de las Administraciones Públicas estará exento de justificar documentalmente las condiciones y demás requisitos ya probados para obtener su anterior nombramiento, debiendo presentar certificación del Registro Central de Personal o del Ministerio u Organismo del que dependiera para acreditar tal condición.

9.3 Quien, dentro del plazo fijado y salvo casos de fuerza mayor, no presentase la documentación o, del examen de la misma, se dedujera que carece de alguno de los requisitos señalados en la base segunda de esta convocatoria, no podrá ser nombrado personal funcionario de carrera y quedarán anuladas sus actuaciones, sin perjuicio de la responsabilidad en que hubiere incurrido por falsedad en la solicitud inicial.

9.4 Finalizado el proceso selectivo, y previa oferta y petición del destino, la autoridad convocante procederá al nombramiento de personal funcionario de carrera mediante resolución que se publicará en el «Boletín Oficial de la Comunidad de Madrid». La toma de posesión de las personas aprobadas se efectuará en el plazo de un mes contado desde el día siguiente a la fecha de la publicación de la resolución en el en el citado boletín.

Décima. Bolsa de trabajo.

10.1 A efectos de la selección de personal funcionario interino de la Escala convocada, se formará lista de espera con quienes hayan superado al menos el primer ejercicio y no superen el proceso selectivo, quedando ordenados según la puntuación obtenida en dicho proceso. En caso de igualdad de puntuación se estará a la prelación dispuesta en la base 5.4.

10.2 De la mencionada lista de espera quedarán excluidos aquellos aspirantes que, expresamente, comuniquen su voluntad de no ser incluidos en la misma mediante escrito dirigido al servicio de Recursos Humanos y Organización.

Undécima. Protección de datos.

11.1 De conformidad con lo establecido por la normativa vigente en materia de protección de datos personales, los datos facilitados por quienes concurran a la presente convocatoria serán tratados por la Universidad Carlos III de Madrid, en el marco del tratamiento inscrito en el Registro de Actividades de Tratamiento e identificado como «Selección y provisión de puestos de trabajo (PTGAS)», con la finalidad de la selección de personal y la provisión de puestos de trabajo mediante convocatorias públicas de la Universidad. Sus datos serán tratados para poder tramitar su solicitud y resolver la convocatoria en la que participa. A estos efectos, se adoptarán las medidas necesarias para preservar la confidencialidad, integridad y disponibilidad de la información personal tratada.

11.2 Las personas interesadas podrán ejercitar sus derechos de acceso, rectificación, supresión, limitación, portabilidad y oposición a su tratamiento, mediante el envío de un correo a la siguiente dirección: dpd@uc3m.es.

11.3 Puede consultar la información detallada sobre nuestra Política de Privacidad en www.uc3m.es/inicio/proteccion-datos.

Duodécima. Norma final.

12.1 Las personas que participen en las presentes pruebas selectivas se someten a las bases de esta convocatoria y a las decisiones que adopte el Tribunal, sin perjuicio de las reclamaciones pertinentes. El Tribunal está facultado para resolver las dudas que se presenten y tomar los acuerdos necesarios para el buen orden de las pruebas selectivas en todo lo no previsto en las presentes bases.

12.2 La presente convocatoria y cuantos actos administrativos se deriven de ella y de la actuación del Tribunal podrán ser impugnados en los casos y forma establecidos en la Ley 39/2015, de 1 de octubre, del Procedimiento Administrativo Común y en la Ley 29/1998, de 13 de julio, de la Jurisdicción Contencioso-administrativa.

Asimismo, el Rector de la Universidad Carlos III de Madrid podrá, en su caso, proceder a la revisión de las resoluciones del Tribunal, conforme a lo previsto en las citadas normas de rango legal.

Getafe, 13 de marzo de 2025.–El Rector, P. D. (Resolución de 3 de julio de 2022), el Gerente, Alberto García Martínez.

ANEXO I
Proceso selectivo para el ingreso por concurso-oposición, en la Escala Técnica Facultativa de Grado Medio, Especialidad Prevención de Riesgos Laborales (Subgrupo A2) de la Universidad Carlos III de Madrid

Temas de carácter general

1. Ley 39/2015, de 1 de octubre, del Procedimiento Administrativo Común de las Administraciones Públicas: Disposiciones generales. De los interesados en el procedimiento. De los actos administrativos. El procedimiento administrativo común y sus fases.

2. Ley 40/2015, de 1 de octubre de Régimen Jurídico del Sector Público. Disposiciones Generales y Órganos de las Administraciones Públicas. Funcionamiento electrónico del Sector Público. Relaciones electrónicas entre las Administraciones.

3. Ley Orgánica 3/2007, de 22 de marzo, para la igualdad efectiva de mujeres y hombres: Objeto y ámbito de aplicación de la ley. El principio de igualdad y la tutela contra la discriminación. III Plan de Igualdad de la Universidad Carlos III de Madrid: Principios Generales. Objetivos y estructura general del Plan: Ejes, Objetivos Generales, Líneas de acción, Objetivos Específicos y Medidas.

4. El Reglamento 2016/679, de 27 de abril de 2016, del Parlamento Europeo y el Consejo relativo al tratamiento y libre circulación de datos personales: Conceptos básicos. Disposiciones generales. Principios. Derechos del interesado. Responsable y encargado del tratamiento. Delegado de protección de datos.

5. Ley 10/2019, de 10 de abril, de Transparencia y de Participación de la Comunidad de Madrid: Disposiciones generales. Portal de transparencia y procedimiento de ejercicio del derecho de acceso a la información pública en la Universidad Carlos III de Madrid.

6. El Real Decreto 5/2015, de 30 de octubre, por el que se aprueba el Texto Refundido de la Ley del Estatuto Básico del Empleado Público: Objeto y ámbito de aplicación. Personal al servicio de las Administraciones Públicas. Derechos y deberes. Código de conducta de los empleados públicos.

7. La Ley Orgánica 2/2023, de 22 de marzo, del Sistema Universitario: Disposiciones generales. Funciones del sistema universitario y autonomía de las universidades. Creación y reconocimiento de las universidades. Régimen jurídico y estructura de las universidades públicas. Gobernanza de las universidades públicas. Régimen económico y financiero de las universidades públicas. Personal técnico, de gestión y de administración y servicios de las universidades públicas.

8. Ley 9/2017, de 8 de noviembre, de Contratos del Sector Público: Ámbito de aplicación. Disposiciones generales sobre la contratación del sector público. Delimitación de los tipos contractuales y sus principales características. Objeto, cuantía y precio del contrato. Preparación y adjudicación de los contratos. Especial referencia a la contratación en Universidad Carlos III de Madrid.

Temario específico

9. Ley 31/1995, de 8 de noviembre, de Prevención de Riesgos Laborales: objeto, ámbito de aplicación y definiciones. Relaciones con otros ámbitos normativos: industrial, sanitario, educativo y medio ambiental. Política en materia de prevención de riesgos para proteger la seguridad y salud en el trabajo.

10. Ley 31/1995, de 8 de noviembre, de Prevención de Riesgos Laborales: Derechos y deberes, consulta y participación de los trabajadores.

11. Ley 31/1995, de 8 de noviembre, de Prevención de Riesgos Laborales: Responsabilidades y sanciones con relación a la prevención. Ley sobre infracciones y sanciones en el orden social: infracciones sobre prevención de riesgos laborales. Real Decreto 67/2010, de 29 de enero Adaptación de la normativa de prevención de riesgos laborales a la Administración pública.

12. Las disciplinas preventivas: seguridad en el trabajo, higiene industrial, ergonomía y psicosociología aplicada, medicina del trabajo.

13. Protección del personal especialmente sensible. Riesgos laborales específicos para la mujer trabajadora durante el embarazo, posparto y lactancia. Legislación vigente de protección a la maternidad. Directrices para la evaluación de riesgos y protección de la maternidad en el trabajo.

14. El Real Decreto 39/1997, por el que se aprueba el Reglamento de los Servicios de Prevención. Estructura general y análisis de su contenido. El plan de prevención de riesgos laborales. La evaluación de riesgos y la planificación de la actividad preventiva. La organización de la actividad preventiva: modalidades; requisitos y funciones. La figura del recurso preventivo. Auditorias.

15. Real Decreto 171/2004, de 30 de enero, sobre coordinación de actividades empresariales.

16. La vigilancia de la salud. Conceptos, características y normas generales de aplicación. La actividad sanitaria de los servicios de prevención. Reconocimientos médicos específicos. Los protocolos de vigilancia sanitaria específica de las personas trabajadoras.

17. Concepto de accidente de trabajo. Índices de siniestralidad. Notificación y registro. Investigación de accidentes. Concepto de enfermedad profesional. Cuadro de enfermedades profesionales. Las Mutuas de Accidentes de trabajo y enfermedades profesionales.

18. Ergonomía. Conceptos y objetivos. Diseño ergonómico de puestos de trabajo. Métodos generales de evaluación de las condiciones de trabajo. Los trastornos musculoesqueléticos.

19. Real Decreto 487/1997, de 14 de abril, sobre disposiciones mínimas de seguridad y salud relativas a la manipulación manual de cargas que entrañen riesgos, en particular dorso lumbares, para los trabajadores.

20. Carga mental de trabajo. Conceptos y métodos de análisis. Otras patologías psicosociales: El síndrome del «burn out» y el acoso laboral en el trabajo. Efectos sobre la salud.

21. El proceso de evaluación de factores psicosociales. Conceptos y fases. Metodologías. Planes de intervención. El método FPSICO del Instituto Nacional de Seguridad y Salud en el Trabajo. Método CoPsoQ-ISTAS21.

22. Real Decreto 488/1997, de 14 de abril, sobre disposiciones mínimas de seguridad y salud relativas al trabajo con equipos que incluyen pantallas de visualización. Conceptos, normas vigentes y guías de aplicación. Metodología de evaluación.

23. Real Decreto 485/1997, de 14 de abril, sobre disposiciones mínimas en materia de señalización de seguridad y salud en el trabajo. Conceptos, normas vigentes y guías de aplicación. Tipos, características y requisitos de las señales.

24. Real Decreto 486/1997, de 14 de abril, por el que se establecen las disposiciones mínimas de seguridad y salud en los lugares de trabajo. Conceptos, normas vigentes y guías de aplicación. Condiciones generales y ambientales. Orden, limpieza y mantenimiento. Iluminación.

25. Real decreto 1215/1997 de 18 de julio, por el que se establecen las disposiciones mínimas de seguridad y salud para la utilización por los trabajadores de los equipos de trabajo. Análisis y evaluación de riesgos. Procedimientos de adecuación y puesta en conformidad de equipos de trabajo.

26. Real Decreto 1644/2008, de 10 de octubre, por el que se establecen las normas para la comercialización y puesta en servicio de las máquinas. Requisitos esenciales de seguridad y salud. Normas armonizadas y presunción de conformidad. Procedimiento de certificación de conformidad. Declaración de conformidad y marcado CE.

27. El Real Decreto 1627/1997, de 24 de octubre, por el que se establecen las disposiciones mínimas de seguridad y salud en las obras de construcción. Diferencia entre obras con proyecto y obras sin proyecto. El estudio y el plan de seguridad y salud. Obligaciones en materia de prevención de riesgos laborales de los principales intervinientes en el proceso constructivo.

28. Trabajos en altura y trabajos a la intemperie: Principales riesgos y medidas preventivas.

29. Real Decreto 614/2001, de 8 de junio, sobre disposiciones mínimas para la protección de la salud y seguridad de los trabajadores frente al riesgo eléctrico. Conceptos y normas vigentes. Trabajos sin tensión, en tensión, en proximidad y en emplazamientos con riesgo de incendio o explosión. Electricidad estática.

30. Real Decreto 314/2006, de 17 de marzo, por el que se aprueba el Código Técnico de la Edificación. Documento Básico de Seguridad en caso de Incendios (DB-SI). Documento Básico de Seguridad de la utilización y accesibilidad (DBSUA).

31. Normas básicas de autoprotección de los centros, establecimientos y dependencias dedicados a actividades que pueden dar origen a situaciones de emergencia. Conceptos básicos y estructura de los planes de autoprotección. Medidas de emergencia.

32. Real Decreto 513/2017, de 22 de mayo, por el que se aprueba el Reglamento de instalaciones de protección contra incendios. Medios de protección contra incendios Diseño, características, instalación y mantenimiento. Nociones básicas para el manejo de extintores y bocas de incendio equipadas.

33. Real Decreto 681/2003, de 12 de junio, sobre la protección de la salud y seguridad de los trabajadores expuestos a los riesgos derivados de atmósferas explosivas en el lugar de trabajo. Conceptos y normas vigentes. Espacios confinados: Concepto de espacio confinado, peligros asociados. Autorización de trabajo.

34. Real Decreto 374/2001, de 6 de abril, sobre La protección de la salud y seguridad de las personas trabajadoras contra los riesgos relacionados con los agentes químicos durante el trabajo. Conceptos y normas vigentes. Control de la exposición. Medidas de prevención generales y específicas. Vigilancia específica de la salud.

35. Sustancias químicas y sus mezclas: clasificación, etiquetado, envasado, fichas de datos de seguridad y criterios de almacenamiento (Reglamento CLP n.º 1272/2008 de 16 de diciembre, Sistema Globalmente Armonizado (SGA) y REACH).

36. Real Decreto 656/2017 de 23 de junio, por el que se aprueba el Reglamento de almacenamiento de Productos Químicos y sus Instrucción Técnicas Complementaria: MIE APQ-10: Almacenamiento en recipientes móviles. Buenas prácticas de almacenamiento.

37. Real Decreto 656/2017 de 23 de junio, por el que se aprueba el Reglamento de almacenamiento de Productos Químicos y sus Instrucciones Técnicas Complementarias: MIE APQ-5: Almacenamiento de gases en recipientes móviles. Riesgos asociados al trabajo con gases técnicos. Medidas de prevención. Detección de contaminantes y mantenimiento de instalaciones.

38. Real Decreto 665/1997, de 12 de mayo, sobre la protección de los trabajadores contra los riesgos relacionados con la exposición a agentes cancerígenos durante el trabajo. La protección de las personas trabajadoras contra los riesgos relacionados con la exposición a agentes cancerígenos o mutágenos durante el trabajo. Conceptos y normas vigentes. Control de exposición.

39. Real Decreto 664/1997, de 12 de mayo, sobre la protección de los trabajadores contra los riesgos relacionados con la exposición a agentes biológicos durante el trabajo. Ámbito de aplicación, definiciones. Clasificación de los agentes biológicos. Obligaciones del empresario. Concepto de contención: principales medidas de contención. Aplicación de las medidas de contención a los laboratorios de contención 2. Recomendaciones prácticas para la vacunación.

40. Real decreto 286/2006, de 10 de marzo, sobre la protección de la salud y la seguridad de los trabajadores contra los riesgos relacionados con la exposición al ruido. Ámbito de aplicación. Disposiciones encaminadas a evitar o reducir la exposición. Valores límites de exposición y valores de exposición que dan lugar a una acción. Evaluación de riesgos. Protección individual. Limitación de exposición. Vigilancia de la salud.

41. Real Decreto 773/1997, de 30 de mayo, sobre disposiciones mínimas de seguridad y salud relativas a la utilización por los trabajadores de equipos de protección individual. Definición. Obligaciones generales del empresario. Criterios para el empleo de los EPI. Elección, uso y mantenimiento de los EPI. Análisis crítico y normativa de aplicación entre protección colectiva y protección individual.

42. Real Decreto 1029/2022, de 20 de diciembre, por el que se aprueba el reglamento sobre protección de la salud contra los riesgos derivados de la exposición a las radiaciones ionizantes. Conceptos básicos. Limitación y restricción de dosis. Principios de protección. Prevención de la exposición. Vigilancia y valoración de la exposición. Vigilancia de la salud de los trabajadores. Intervención en caso de emergencia.

43. Real Decreto 299/2016, de 22 de julio, sobre la protección de la salud y la seguridad de los trabajadores contra los riesgos relacionados con la exposición a campos electromagnéticos. Definiciones y ámbito de aplicación. Disposiciones encaminadas a evitar o reducir la exposición. Valores límite de exposición y niveles de acción. Evaluación de riesgos. Limitación de exposición. Vigilancia de la salud.

44. Real Decreto 486/2010, de 23 de abril, sobre la protección de la salud y la seguridad de los trabajadores contra los riesgos relacionados con la exposición a radiaciones ópticas artificiales. Tipos de radiaciones. Ámbito de aplicación. Aplicación a láseres según la norma UNE EN 60825-1/A2: tipos de láseres, riesgos, medidas de control y protección, señalización.

45. Riesgos asociados a los trabajos con equipos de soldadura y medidas de protección.

ANEXO II
Proceso selectivo

El procedimiento de selección constará de dos fases: oposición y concurso.

La fase de oposición constituirá el 70 % del proceso selectivo y tendrá carácter eliminatorio. La fase de concurso constituirá el 30 % del proceso selectivo y no tendrá carácter eliminatorio.

I. Fase de oposición

La fase de oposición estará compuesta por dos ejercicios de carácter obligatorio y eliminatorio, que podrán realizarse en una única sesión. Ambos ejercicios tendrán carácter eliminatorio, de tal manera que a quien no supere la nota mínima del primero no se le calificará el segundo.

El primer ejercicio consistirá en contestar por escrito un cuestionario tipo test integrado por 90 preguntas y 5 adicionales de reserva (para sustituir a las preguntas que puedan ser objeto de anulación, según el orden en que se presenten en el cuestionario), todas ellas relacionadas con las materias que figuran en el programa del anexo I. Esta parte tiene por objeto apreciar las aptitudes de los aspirantes en relación con las tareas propias de las plazas que se convocan.

Para cada pregunta se propondrán cuatro respuestas alternativas, siendo sólo una de ellas la correcta. La pregunta contestada correctamente se valorará con un punto, la pregunta no contestada (es decir, que figure en blanco o con más de una respuesta) no tendrá valoración y la pregunta con contestación errónea se penalizará con una tercera parte del valor asignado a la contestación correcta.

La calificación de este ejercicio será de 0 a 30 puntos, siendo necesario para aprobar obtener un mínimo de 15 puntos.

Corresponde al Tribunal Calificador determinar la puntuación directa mínima para ser calificado con 15 puntos, todo ello a la vista de la dificultad del ejercicio propuesto y el grado de conocimiento alcanzado con referencia al nivel necesariamente exigible para el acceso a esta Escala.

Una vez establecida por el tribunal esta puntuación directa mínima, las notas se reconvertirán, en su caso respecto a la calificación de 30 puntos que corresponde al ejercicio con arreglo a la fórmula establecida en el anexo III de esta convocatoria.

El tiempo de duración de este ejercicio será como máximo de setenta y cinco minutos.

El segundo ejercicio consistirá en la resolución de dos supuestos prácticos a elegir entre tres propuestos por el Tribunal, que versarán sobre el programa del anexo I, al objeto de apreciar la capacidad de los aspirantes para llevar a cabo las tareas propias del puesto relacionadas con los contenidos de las materias a que hace referencia el programa de la convocatoria.

La calificación de este segundo ejercicio, que tendrá carácter eliminatorio, será de 0 a 40 puntos siendo necesario para aprobar obtener un mínimo de 20 puntos. Sólo serán calificados los ejercicios de los opositores que hayan superado el primer ejercicio.

Corresponde al Tribunal calificador la fijación del número necesario de preguntas válidamente contestadas para ser calificado con 20 puntos, todo ello a la vista de la dificultad del ejercicio propuesto y el grado de conocimiento alcanzado con referencia al nivel necesariamente exigible para el acceso a esta Escala.

El tiempo de duración de este ejercicio será como máximo de cuatro horas y media.

La calificación final de la fase de oposición se hallará sumando las calificaciones de los dos ejercicios.

II. Fase de concurso

Finalizada la fase de oposición, tendrá lugar la fase de concurso. Únicamente podrán participar en esta fase, quienes hayan superado la fase de oposición.

La puntuación máxima que podrá alcanzarse en esta fase será de 30 puntos, realizándose la valoración de los méritos conforme al siguiente baremo:

1. Idioma inglés: Máximo 3 puntos.

Se valorará la acreditación de un nivel de inglés C1 o superior con 3 puntos. Asimismo, se valorará la acreditación de un nivel de inglés B2 con 1,5 puntos. En caso de no tener nivel del inglés acreditado, la puntación de este mérito será de 0 puntos. Solamente se valorarán las titulaciones de carácter oficial de idioma inglés equiparadas a un nivel C1, B2 o superior según el Marco Común Europeo de Referencia para las Lenguas (MCERL), conforme la tabla que se adjunta como anexo V. Para que estos títulos puedan ser valorados, se exige, además, que no tengan una antigüedad superior a cinco años inmediatamente anteriores a la fecha prevista en la base 5.3 de la presente convocatoria.

2. Experiencia profesional: Máximo 23 puntos.

Se valorará la experiencia profesional acreditada, conforme al siguiente baremo:

– Experiencia como personal funcionario en el Cuerpo o Escala de la plaza convocada en la Universidad Carlos III de Madrid: 0,32 puntos por mes trabajado.

– Experiencia como personal funcionario en Cuerpos o Escalas de la plaza convocada en otras Universidades Públicas de la Comunidad de Madrid: 0,11 puntos por mes trabajado.

– Experiencia como personal funcionario en Cuerpos o Escalas de la plaza convocada en otras Administraciones Públicas: 0,09 puntos por mes trabajado.

Para acreditar la experiencia profesional será necesario presentar certificado expedido por la Administración correspondiente que acredite los servicios prestados, en el que deberá constar expresamente subgrupo, escala, antigüedad y jornada.

En el caso de poseer experiencia profesional como personal funcionario en la Universidad Carlos III de Madrid no será necesaria la aportación del certificado por el interesado, siendo adjuntada de oficio por la propia Universidad.

Únicamente se tendrán en cuenta los servicios prestados hasta la fecha de finalización del plazo de presentación de solicitudes de participación en el presente proceso selectivo.

En el supuesto de que la jornada sea a tiempo parcial se computará como jornada completa siempre que sea igual o superior al 50 % de ésta última. Si fuera inferior al 50 %, contará proporcionalmente a la jornada realizada.

La experiencia profesional que se acredite en años se transformará en meses, a razón de doce meses por año, y la expresada en días se transformará en meses, a razón de treinta días naturales por mes. Los días que, tras practicar estas operaciones, resulten sobrantes, quedarán descartados a todos los efectos.

3. Cursos de formación: Máximo 7 puntos.

Los cursos de formación y perfeccionamiento profesional, para su valoración en esta fase, deberán relacionarse y numerarse en la Relación de cursos de formación que figura en el anexo VI de esta convocatoria.

Se valorarán los cursos de formación y perfeccionamiento organizados e impartidos en la Universidad Carlos III de Madrid, cursos organizados por otras Universidades, así como por otros centros oficiales reconocidos por el Ministerio de Educación y Formación Profesional, así como los impartidos por organismos e instituciones oficiales dependientes de las administraciones públicas y cualquier otro financiado con fondos públicos, aunque sean impartidos por una entidad privada, orientados al desempeño de funciones en la Escala convocada bajo criterio del Tribunal Calificador. También se valorará la obtención de certificaciones oficiales expedidas por entidades reconocidas en el sector, siempre que dichas certificaciones incluyan la acreditación del número de horas de formación realizadas.

Será de aplicación el siguiente baremo:

– Cursos hasta doce horas: 0,7 puntos por curso.

– Cursos de trece a veinticinco horas: 0,9 puntos por curso.

– Cursos de veintiséis a treinta y nueve horas: 1,1 puntos por curso.

– Cursos de cuarenta horas o más: 1,3 puntos por curso.

Se tendrán en cuenta los cursos de formación realizados hasta la fecha de finalización del plazo de presentación de solicitudes de participación en el presente proceso selectivo y para poder ser valorados, no pueden tener una antigüedad superior a ocho años anteriores la citada fecha.

Se valorarán cursos directamente relacionados con las tareas, competencias y funciones propias de los puestos de trabajo por los que se opta, así como los cursos de carácter transversal que complementan la formación.

No se valorarán cursos de formación pertenecientes a una carrera universitaria, las materias o créditos que formen parte de una titulación académica ni los de doctorado. Tampoco se valorarán los diplomas relativos a jornadas, seminarios, simposios y similares.

No se valorarán cursos de formación preparatoria de procesos de promoción interna específica, preparación de procesos selectivos o cursos de apoyo.

No se valorarán cursos de formación referentes a certificados de profesionalidad o acreditación de cualificaciones profesionales.

No se valorarán los cursos que no acrediten las fechas ni horas de realización.

En el caso de aportar varias ediciones de un mismo curso o cursos de contenido similar, únicamente se valorará uno de ellos, el que tenga más horas lectivas.

Para acreditar la realización de los cursos que se han enumerado en la Relación de cursos (anexo VI), deberá acompañarse copia de la certificación, del título o del diploma correspondiente, en la que figure de forma expresa el número de horas de que consta. Además en cada certificación, título o diploma deberá constar la numeración asignada al mismo en el citado anexo VI.

No serán objeto de valoración los cursos que, habiéndose relacionado en el anexo VI, no se hayan acreditado en la forma descrita. Sin embargo, no será necesario acreditar documentalmente los cursos impartidos por la Universidad Carlos III de Madrid, si bien sí que deberán estar relacionados en la Relación de cursos citada, no siendo objeto de valoración aquellos cursos que no se hayan incluido en tal relación.

Criterios de desempate: En caso de igualdad en la puntuación total, se aplicarán los criterios de desempate establecidos en la base 5.4.

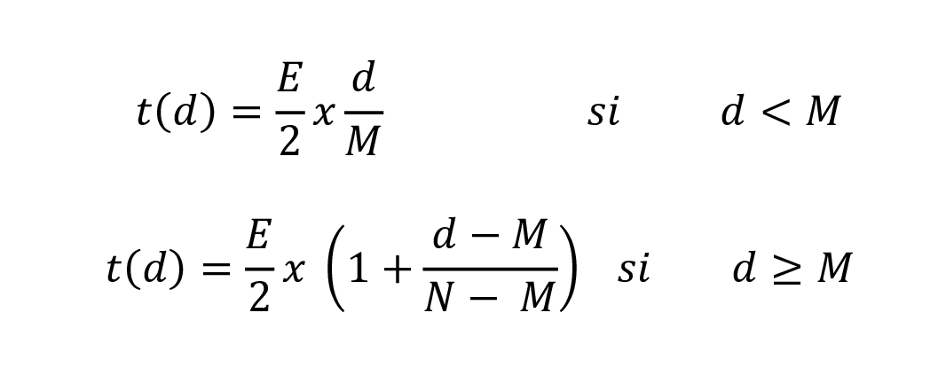
ANEXO III
Cálculo de puntuación directa

La puntuación directa de la primera parte del ejercicio se calcula conforme a la fórmula siguiente:

A-(E/3)

Siendo:

– A: número de aciertos.

– E: número de errores.

Fórmula de conversión de la puntuación directa a puntuación transformada (calificación).

El cálculo de la calificación (puntuación transformada) de las pruebas de la fase de oposición se establece sobre la base de la puntuación directa mínima (nota de corte) necesaria para superar el ejercicio, determinada por el Tribunal Calificador.

Reconversión de notas estableciendo nota de corte:

Imagen: /datos/imagenes/disp/2025/71/5876_15462723_1.png

Siendo:

t(d): Calificación (puntuación transformada) del opositor.

d: Puntuación directa del opositor.

M: Puntuación directa mínima para superar el ejercicio establecida por el Tribunal (nota de corte).

N: Puntuación directa máxima obtenible en el ejercicio.

E: Calificación máxima obtenible en el ejercicio (puntuación transformada máxima).

ANEXO IV
Adaptaciones

Listado de adaptaciones compensatorias (Señalar con una cruz lo que corresponda)

Don/doña ....................................................................................................................., con DNI n.º ....................................., aspirante del proceso selectivo para el ingreso en la Escala Técnica Facultativa de Grado Medio, especialidad Prevención de Riesgos Laborales, de la Universidad Carlos III de Madrid, solicita:

– Ampliación del tiempo de examen.

– Colocación en las primeras filas.

– Mesa adaptada para usuarios de sillas de ruedas.

– Aumento del nivel de iluminación.

– Preguntas de examen y folios ampliados en tamaño.

– Preguntas de examen y folios en alto contraste.

– Transcripción en sistema Braille.

– Posibilidad de uso de máquinas de escribir en sistema Braille.

– Posibilidad de uso de medios de ampliación de imagen.

– Instrucciones generales e instrucciones durante las pruebas, siempre por escrito.

– Disponibilidad de equipos de frecuencia modulada para personas con deficiencia auditiva.

– Intérprete de lengua de signos.

– Posibilidad de uso del ordenador e impresora u otras ayudas técnicas para la comunicación escrita.

– Necesidad de alimentación eléctrica para ayudas técnicas para la comunicación.

– Otras: 

En ...................., a ........ de ......................... de 2025

Fdo.: ................................

Destinatario: Dirección de Recursos Humanos y Organización del PTGAS.

ANEXO V
Titulaciones de Inglés admitidas para la acreditación de niveles de inglés

Tabla 1

MCER

Consejo de Europa

Escuela Oficial de Idiomas

RD 1629/2006

Escuela Oficial de Idiomas

RD 1041/2001

Certificados homologados por ACLES (Asociación de Centros de Lenguas en la Enseñanza Superior) Cambridge Assessment English ESOL Examinations Educational Testing Service (ETS)

APTIS

(British Council)

General Linguaskill

BEC

(Business English Certificates)

ICFE/ILEC

(International Certificate in Financial/Legal English)

IELTS

(International English Language Testing System) Academic & General

BULATS

(Business Language Testing System) Four skills

TOEFL –

iBT (Test of

English as a Foreign Language-Internet Based)

TOEIC

(Test of English for International Communications) Four skills

C2

Maestría

Certificado de Nivel C2.

Certificado de Nivel Avanzado.

C2.

CertAcles C2. Proficiency (CPE).       8,5-9 90-100      

C1

Dominio

Certificado de Nivel C1. Certificado de Nivel Avanzado C1. CertAcles C1. Advanced (CAE). C1 Higher (BEC 3). PASS with merit C1 7-8 75-89 95-120 ≥1345 C1
PASS C1

B2

Avanzado

Certificado de Nivel Avanzado. Certificado de Nivel Intermedio B2. CertAcles B2. First (FCE). B2 Vantage (BEC 2). PASS B2 5,5-6,5 60-74 72-94 ≥ 1095 B2

Tabla 2

MCER

Consejo de Europa

Capman Testing Solutions 360 LPT

(Language Proficiency Test)

Four Skills

Oxford Test of English B Certificados homologados UNIcert Certificat de Compétences en Langues de l’Enseignement Sup’erieur (CLES) The European Language Certificates (TELC) University of Michigan (Cambridge Michigan Language Assessments) Trinity College, London (ISE) London School of Commerce London Test of English (LTE)

PTE

(Pearson Test of English)

General Academic

Edexcel certificate in ESOL

International

C2

Maestría

          Certificate of Proficiency in English (ECPE). ISE IV   Nivel 5 Nivel 5 ≥ 85 Level 3

C1

Dominio

C1   Nivel 3/4 CLES 3 TELC C1   ISE III   Nivel 4 Nivel 4 ≥ 76 Level 2

B2

Avanzado

B2 B2 Nivel 2 CLES 2 TELC B2 Certificate of Competency in English (ECCE). ISE II   Nivel 3 Nivel 3 ≥ 59 Level 1

Tabla 3

MCER

Consejo de Europa

Learning Resource Network Anglia ESOL Examinations

LanguageCert

International ESOL

Listening, Reading,

Writing, Speaking

Certificate in ESOL

International

Four skills

General General Business

C2

Maestría

LRN Level 3. IELCA CEF C2. Masters.   Mastery C2.

C1

Dominio

LRN Level 2. IELCA CEF C1. AcCEPT/Proficiency. Proficiency. Expert C1.

B2

Avanzado

LRN Level 1. IELCA CEF B2. Advanced. Advanced. Communicator B2.
ANEXO VI
Relación de cursos de formación

Nombre:

DNI/NIE:

Declaración de los cursos de formación que se presentan para la fase de concurso. (Deberán consignarse sólo aquellos cursos realizados dentro del plazo indicado en la convocatoria.)

N.º Denominación curso Organismo oficial que expide el certificado N.º de horas

Fecha de impartición

(día/mes/año)

         
         
         
         
         
         
         
         
         

(Añadir tantas filas como precise).

Una vez cumplimentado, deberá guardar este documento como un archivo.PDF para poder presentarlo a través de la plataforma Convoc@.

Para su acreditación deberá presentar copia de los títulos/certificados emitidos (no se valorarán los cursos de los que no se haya presentado certificado, salvo que hayan sido impartidos por la Universidad Carlos III de Madrid). Recuerde numerar los títulos/certificados que aporte con el mismo orden en que los ha introducido en este listado.

ANÁLISIS

  • Rango: Resolución
  • Fecha de disposición: 13/03/2025
  • Fecha de publicación: 24/03/2025
  • Convocatoria. Subgrupo A2.
Referencias posteriores

Criterio de ordenación:

  • SE CORRIGEN errores, por Resolución de 2 de abril de 2025 (Ref. BOE-A-2025-7254).

subir

Agencia Estatal Boletín Oficial del Estado

Avda. de Manoteras, 54 - 28050 Madrid