Contingut no disponible en català

Us trobeu en

Documento BOE-A-2025-8542

Resolución de 22 de abril de 2025, de la Universidad Carlos III de Madrid, por la que se convoca proceso selectivo para la provisión, por el sistema general de acceso libre, de plaza de personal laboral.

Publicado en:
«BOE» núm. 103, de 29 de abril de 2025, páginas 57888 a 57903 (16 págs.)
Sección:
II. Autoridades y personal - B. Oposiciones y concursos
Departamento:
Universidades
Referencia:
BOE-A-2025-8542

TEXTO ORIGINAL

Este Rectorado, en uso de las competencias que tiene atribuidas por el artículo 50.1 de la Ley Orgánica 2/2023, de 22 de marzo, del Sistema Universitario, en relación con el artículo 3.2.j) de la misma norma, así como por el artículo 47.1 de los Estatutos de la Universidad Carlos III de Madrid, aprobados por Decreto 1/2003, de 9 de enero (BOCM de 20 de enero), y modificados por Decreto 95/2009, de 12 de noviembre (BOCM de 4 de diciembre); y de conformidad con lo establecido en el II Convenio Colectivo del Personal Laboral de las Universidades Públicas de la Comunidad de Madrid publicado por Resolución de 25 de noviembre de 2005 de la Dirección General de Trabajo de la Consejería de Empleo y Mujer (BOCM de 10 de enero de 2006), previo acuerdo con el Comité de Empresa de esta Universidad, ha resuelto convocar proceso por el sistema general de acceso libre para la provisión de una plaza del grupo C, nivel salarial C1 (BIO), que se indica en el anexo I de esta resolución y que se encuentra vacante en la Relación de Puestos de Trabajo del Personal Laboral Técnico, de Gestión y de Administración y Servicios vigente en esta Universidad.

Bases de la convocatoria

1. Normas generales

1.1 Se convocan pruebas selectivas para cubrir la plaza vacante en la relación de puestos de trabajo de Personal Técnico, de Gestión y de Administración y Servicios Laboral, de la Universidad Carlos III de Madrid que se relaciona en el anexo I de la presente resolución, por el sistema de concurso-oposición de turno libre. Las características de la plaza convocada se incluyen en el citado anexo I.

1.2 La plaza indicada corresponde a la Oferta de Empleo Público para el año 2023 (BOCM de 28 de julio de 2023).

1.3 A las presentes pruebas selectivas les será de aplicación la Ley Orgánica 2/2023, de 22 de marzo, del Sistema Universitario; el Real Decreto Legislativo 5/2015, de 30 de octubre, por el que se aprueba el texto refundido de la Ley del Estatuto Básico del Empleado Público; la Ley 30/1984, de 2 de agosto, de Medidas para la Reforma de la Función Pública; el Real Decreto 364/1995, de 10 de marzo, por el que se aprueba el Reglamento General de Ingreso del Personal al Servicio de la Administración General del Estado y de Provisión de los Puestos de Trabajo y Promoción Profesional de los Funcionarios Civiles de la Administración General del Estado; el Real Decreto Legislativo 1/2013, de 29 de noviembre, por el que se aprueba el texto refundido de la Ley General de derechos de las personas con discapacidad y de su inclusión social; el Real Decreto 2271/2004, de 3 de diciembre, por el que se regula el acceso al empleo público y la provisión de puestos de trabajo de las personas con discapacidad; el Real Decreto 543/2001, de 18 de mayo, sobre acceso al empleo público de la Administración General del Estado y sus organismos públicos de nacionales de otros Estados a los que es de aplicación el derecho a la libre circulación de trabajadores; el Reglamento (UE) n.° 492/2011 del Parlamento Europeo y del Consejo, de 5 de abril de 2011, relativo a la libre circulación de los trabajadores dentro de la Unión; los Estatutos de la Universidad Carlos III de Madrid, aprobados por Decreto 1/2003, de 9 de enero (BOCM de 20 de enero) y modificados por Decreto 95/2009, de 12 de noviembre (BOCM de 4 de diciembre) y las presentes bases de convocatoria.

1.4 De conformidad con lo dispuesto en el artículo 24 del II Convenio Colectivo del Personal Laboral de Universidades Públicas de Madrid, el sistema de selección de aspirantes será el de concurso-oposición libre.

1.5 El programa que ha de regir las pruebas selectivas es el que figura en el anexo II de esta convocatoria.

1.6 El primer ejercicio de las pruebas selectivas se iniciará a partir del 1 de junio de 2025.

1.7 Todas las resoluciones que se adopten en referencia a este proceso selectivo se harán públicas en la página web de la universidad www.uc3m.es/empleo/pas. La presente convocatoria será objeto de publicación en el «Boletín Oficial del Estado» y se publicará anuncio en el «Boletín Oficial de la Comunidad de Madrid» y en el «Boletín Oficial Electrónico de la Universidad Carlos III de Madrid» (BOEL).

2. Requisitos de participación

2.1 Las personas que deseen participar en el presente proceso selectivo deberán reunir los siguientes requisitos:

a) Tener nacionalidad española, de algún otro Estado Miembro de la Unión Europea o de aquellos Estados a los que, en virtud de los Tratados Internacionales celebrados por la Unión Europea y ratificados por España, sea de aplicación la libre circulación de trabajadores, en los términos establecidos en el Reglamento (UE) número 492/2011, del Parlamento Europeo y del Consejo, de 5 de abril de 2011, relativo a la libre circulación de trabajadores dentro de la Unión y en el Real Decreto 240/2007, de 16 de febrero, sobre entrada, libre circulación y residencia en España de ciudadanos de los Estados miembros de la Unión Europea y de otros Estados parte en el Acuerdo sobre el Espacio Económico Europeo.

También podrán participar el cónyuge de los españoles y de los nacionales de otros Estados Miembros de la Unión Europea, cualquiera que sea su nacionalidad, siempre que no estén separados de derecho. Asimismo, y en idénticas condiciones, sus descendientes y los de su cónyuge, menores de veintiún años o mayores de dicha edad que sean dependientes, en los términos previstos en el citado Real Decreto 240/2007.

Igualmente, podrán participar los extranjeros que, no estando incluidos en los párrafos anteriores, residan legalmente en España, conforme a lo dispuesto en la Ley Orgánica 4/2000, de 11 de enero, sobre derechos y libertades de los Extranjeros en España y su integración social.

Deberán acompañar a su solicitud documento que acredite las condiciones que se aleguen.

b) Tener cumplidos los dieciséis años de edad y no haber alcanzado la edad máxima de jubilación forzosa legalmente establecida.

c) Estar en posesión del Título de Bachillerato o Técnico, o en condiciones de obtenerlo en la fecha que termine el plazo de presentación de solicitudes.

En ausencia de titulación académica oficial, será preciso contar con cuatro años de experiencia profesional en la misma área de actividad, que será acreditada de conformidad con lo establecido en el artículo 52.4 del citado II Convenio Colectivo, a saber:

– Fotocopia debidamente compulsada de contrato de trabajo o certificación original de empresa justificativa de la experiencia manifestada, pudiendo utilizarse, en su defecto cualquier otro medio de prueba admitido en derecho que acredite la experiencia alegada en el área y especialidad de que se trate.

– En cualquier caso, deberá acompañarse, también, certificación original de cotizaciones a la Seguridad Social en la que consten, expresamente, los períodos y grupo de tarifa (Vida Laboral).

– En aquellos casos en que el/la aspirante haya mantenido una relación jurídico-laboral de carácter temporal con una Universidad, la experiencia se podrá acreditar mediante certificado original justificativo de la experiencia manifestada que, en todo caso, deberá ser firmado por el/la responsable de Recursos Humanos.

– A los efectos de acreditar la experiencia por cuenta propia, se aportará certificación de cotizaciones al correspondiente régimen de la Seguridad Social en la que figure, expresamente, el período de cotización y certificación del alta en el impuesto de actividades económicas durante el periodo correspondiente.

– La experiencia profesional se acreditará mediante certificado original justificativo de la experiencia manifestada que, en todo caso, deberá ser firmado por el/la responsable de Recursos Humanos.

– La experiencia profesional acreditada sustitutoria de la titulación académica no se tendrá en cuenta para la valoración de méritos.

Los aspirantes con titulaciones obtenidas fuera del Espacio Europeo de Educación Superior deberán acreditar que están en posesión de la correspondiente credencial de homologación o en su caso del correspondiente certificado de equivalencia. Los títulos de Grado expedidos por universidades en los Estados miembros de la Unión Europea serán equivalentes, a todos los efectos, a aquellos expedidos por universidades españolas.

d) No padecer enfermedad ni estar afectado por limitación física o psíquica que sea incompatible con el desempeño de las correspondientes funciones.

e) No haber sido separado, mediante expediente disciplinario del servicio de cualquiera de las Administraciones Públicas ni hallarse inhabilitado por sentencia judicial firme para el desempeño de las correspondientes funciones.

2.2 Todos los requisitos enumerados en la base 2.1 deberán poseerse en el día de finalización del plazo de presentación de solicitudes y mantenerse durante todo el proceso selectivo, hasta la formalización de los contratos.

3. Solicitudes

3.1 Quienes deseen tomar parte en el proceso selectivo deberán hacerlo constar formulando la correspondiente solicitud en la aplicación telemática habilitada a estos efectos, disponible en la página web de la Universidad Carlos III de Madrid: www.uc3m.es/empleo/pas. En ella el/la aspirante indicará si desea, en su caso, ser incluido/a en la Bolsa de Empleo que se conforme al finalizar el proceso selectivo.

3.2 El plazo de solicitud será de veinte días hábiles, contados a partir del día siguiente al de la publicación del anuncio de la presente convocatoria en el «Boletín Oficial Electrónico de la Universidad Carlos III de Madrid» (BOEL). Con anterioridad, las bases íntegras de la convocatoria serán objeto de publicación en el «Boletín Oficial del Estado», y se anunciarán en el «Boletín Oficial de la Comunidad de Madrid».

3.3 Los derechos de examen se ingresarán, bien directamente en cualquier sucursal bancaria del BBVA, o bien mediante transferencia bancaria en la cuenta corriente con código IBAN ES22 0182 2370 4200 0031 0297 de la Universidad Carlos III de Madrid, realizando el ingreso en concepto de «C1-BIO», con el importe de 20,69 euros. El ingreso podrá efectuarse directamente en cualquier oficina del Banco BBVA, o mediante transferencia bancaria a la citada cuenta desde otra entidad. En el justificante de la transferencia o ingreso deberá constar la fecha de la transferencia o ingreso y el NIF o NIE del solicitante.

De conformidad con lo establecido en el Decreto Legislativo 1/2002, de 24 de octubre, por el que se aprueba el Texto Refundido de la Ley de Tasas y Precios Públicos de la Comunidad de Madrid, estarán exentas del pago de la tasa por derechos de examen:

1. Las personas desempleadas que figuren inscritas en los Servicios Públicos de Empleo, como demandantes de empleo con una antigüedad mínima de seis meses, referida a la fecha de la publicación del correspondiente anuncio de la convocatoria en el «Boletín Oficial de la Comunidad de Madrid».

Estas personas deberán acompañar a la solicitud uno de los siguientes documentos:

a) Informe de período ininterrumpido inscrito en situación de desempleo expedido por los Servicios Públicos de Empleo en el que conste expresamente una antigüedad mínima de seis meses inmediatamente anteriores a la fecha de publicación del anuncio al que se hace referencia en el párrafo anterior. Dicho informe se solicitará en la Oficina de Empleo que corresponda, debiendo figurar clara y expresamente todos y cada uno de los requisitos señalados anteriormente.

b) Documento de Alta y Renovación de la Demanda de Empleo (DARDE), como certificado que acredita la situación de un demandante de empleo junto con un informe de vida laboral actualizado (deben presentarse ambos documentos conjuntamente).

c) Informe negativo de rechazos que se solicitará en las oficinas de los Servicios Públicos de Empleo.

2. Las personas con discapacidad de grado igual o superior al 33 por 100, debiendo acompañar a la solicitud: Certificado de reconocimiento del grado de discapacidad que indique su carácter permanente o su fecha de validez, o bien Tarjeta acreditativa del grado de discapacidad.

3. Las víctimas del terrorismo: personas que hayan sufrido daños físicos o psíquicos como consecuencia de la actividad terrorista, su cónyuge o persona que haya convivido con análoga relación de afectividad, el cónyuge del fallecido y los hijos de heridos y fallecidos. Deberán acreditarlo mediante el Certificado que le acredite como víctima de terrorismo, expedido por el órgano competente del Ministerio del Interior.

4. Las víctimas de violencia de género a las que hace referencia la Ley Orgánica 1/2004, de 28 de diciembre, de Medidas de Protección Integral contra la Violencia de Género. Deberán aportar el Modelo común para la acreditación administrativa de la situación de violencia de género, adoptado en cumplimiento de lo previsto en el artículo 23 de la citada ley (anexo 1 del Acuerdo de la Conferencia Sectorial de Igualdad, de 11 de noviembre de 2021, relativo a la acreditación de las situaciones de violencia de género, BOE de 13 de diciembre de 2021).

5. Las familias numerosas, en los siguientes términos:

– 100 por 100 de exención a los miembros de familias de categoría especial.

– 50 por 100 de exención a los miembros de familias de categoría general.

Se deberá acreditar la condición de familia numerosa y su categoría mediante el correspondiente título autorizado.

3.4 A la solicitud telemática deberá adjuntarse la siguiente documentación:

a) Copia del Documento Nacional de Identidad en vigor o documentación acreditativa de la identidad equivalente. Las personas que no posean la nacionalidad española y tengan derecho a participar, deberán presentar fotocopia del documento en vigor que acredite su nacionalidad y en su caso, los documentos justificativos de la concurrencia de las circunstancias previstas en la base 2.1.a).

b) Copia del título académico necesario para participar o −en su defecto−, certificación académica que acredite haber realizado todos los estudios para la obtención del mismo o −en su caso−, de la credencial que acredite la homologación o declaración de equivalencia de las titulaciones obtenidas en el extranjero. En el caso de que el requisito de titulación haya sido sustituido por experiencia profesional, los aspirantes aportarán la documentación correspondiente de acuerdo con lo previsto en la base 2.1.c) de la convocatoria.

c) Justificante del ingreso de los derechos de examen expedido por la Entidad Bancaria o Caja de Ahorros a través de la cual se realiza el ingreso a la cuenta indicada en la base 3.3 o bien el justificante de la transferencia bancaria, o bien la documentación justificativa de la exención del pago de los derechos de examen, según lo indicado en la base 3.3. En ningún caso, el abono de los derechos de examen supondrá sustitución del trámite de presentación, en tiempo y forma, de la solicitud.

La falta de abono de estos derechos de participación en el proceso selectivo durante el plazo de presentación de solicitudes no es subsanable y determinará la exclusión del solicitante.

d) Los aspirantes que tengan una discapacidad de grado igual o superior al 33 % y deseen solicitar adaptación de tiempo y/o medios, deberán adjuntar dictamen técnico facultativo emitido por el Órgano Técnico de Valoración que dictaminó el grado de discapacidad, así como el anexo V a la presente convocatoria debidamente cumplimentado. La falta de indicación detallada de la adaptación que precisa en el anexo V determinará el desistimiento de tal aspirante en su solicitud de adaptación.

4. Admisión de aspirantes

4.1 Finalizado el plazo de presentación de instancias, el Rector de la Universidad dictará resolución en el plazo máximo de treinta días en virtud de la cual se declararán aprobadas las listas provisionales de personas admitidas y excluidas a las plazas convocadas. En esta resolución, que se publicará en la página web de la Universidad Carlos III de Madrid citada en la base 3.1, figurará también la composición del Tribunal calificador del proceso selectivo.

4.2 La totalidad de aspirantes excluidos expresamente, así como quienes no figuren en la relación de admitidos ni en la de excluidos, dispondrán de un plazo de diez días hábiles, contados a partir del siguiente al de la publicación de la citada resolución, para poder subsanar el defecto que haya motivado su exclusión o no inclusión expresa. Quienes, dentro del plazo señalado, no subsanen su exclusión u omisión, justificando su derecho a la inclusión en la relación de aspirantes admitidos, serán definitivamente excluidos de la realización de las pruebas.

En todo caso, al objeto de evitar errores y, en el supuesto de producirse, posibilitar su subsanación en tiempo y forma, cada aspirante deberá comprobar no sólo que no figura en la relación de personas excluidas, sino que, además, su nombre consta en la relación de personas admitidas.

4.3 La resolución que apruebe las listas definitivas de personas admitidas y excluidas contendrá, asimismo, el lugar, fecha y hora para la realización del primer ejercicio de la fase de oposición. La misma pondrá fin a la vía administrativa y contra ella se podrá interponer recurso contencioso-administrativo ante el Juzgado de lo Contencioso-Administrativo de Madrid, en el plazo de dos meses desde su publicación o, potestativamente, recurso de reposición ante este Rectorado en el plazo de un mes, en los términos de la Ley 39/2015, de 1 de octubre.

4.4 De conformidad con lo establecido en el Decreto Legislativo 1/2002, de 24 de octubre, por la que se aprueba el texto refundido de la Ley de Tasas y Precios Públicos de la Comunidad de Madrid, procederá, previa solicitud de la persona interesada, la devolución de los derechos de examen únicamente en los supuestos de exclusión por causas no imputables a la misma. La devolución se solicitará en el plazo de diez días hábiles a contar desde el siguiente al de la publicación de las listas definitivas de aspirantes admitidos/as y excluidos/as. El titular de la tasa cuya devolución se solicita deberá ser titular o cotitular de la cuenta bancaria en la que se vaya a realizar la devolución.

5. Tribunal calificador

5.1 La composición del Tribunal calificador se ajustará a la normativa vigente que le sea de aplicación. Estará constituido por un número de miembros no inferior a cinco, debiendo designarse el mismo número de suplentes. Lo compondrán el Gerente o persona en quien delegue, que ostentará la presidencia, tres vocales designados por el Rector, uno de ellos desempeñará la secretaría y tendrá voz pero no voto, y dos vocales nombrados por el Rector, oído el Comité de Empresa. Se procurará la presencia equilibrada entre hombres y mujeres, de acuerdo con el III Plan de Igualdad de la Universidad Carlos III de Madrid aprobado por el Consejo de Gobierno de 30 de enero de 2025.

Con anterioridad a la publicación de las listas definitivas de admitidos y excluidos, el Rector dictará resolución en virtud de la cual se nombrará a los miembros del Tribunal, especificando si son titulares o suplentes. Dicha resolución se publicará en la página web de la Universidad.

Asimismo, el Rector, a propuesta del Tribunal, podrá designar, en su caso, asesores especialistas. Dichos asesores se limitarán a informar respecto de las pruebas y méritos relativos a su especialidad.

5.2 De conformidad con lo dispuesto en el Real Decreto 462/2002, de 24 de mayo, de indemnizaciones por razones del servicio, el Tribunal tendrá la categoría segunda.

5.3 Los miembros del Tribunal deberán abstenerse de intervenir, notificándolo al Rector de la Universidad, cuando concurran en ellos algunas de las circunstancias previstas en el artículo 23 de la Ley 40/2015, de 1 de octubre, de Régimen Jurídico del Sector Público, o si hubiesen realizado tareas de preparación de aspirantes a pruebas selectivas de acceso en los cinco años anteriores a la publicación de esta convocatoria. Quien se designe en la Presidencia del Tribunal solicitará de los demás miembros declaración expresa de no hallarse incursos en las circunstancias de abstención o recusación.

Asimismo, las personas participantes en el proceso podrán recusar a los miembros del Tribunal cuando concurran algunas de las circunstancias previstas en el artículo 24 de la Ley 40/2015, de 1 de octubre, de Régimen Jurídico del Sector Público.

5.4 Previa convocatoria de la Presidencia, se constituirá el Tribunal con la asistencia del Presidente o Presidenta y del Secretario o Secretaria o, en su caso, de quienes los sustituyan, y la de la mitad, al menos, de sus miembros. Celebrarán su sesión de constitución con una antelación mínima de diez días antes de la celebración del primer ejercicio. En dicha sesión, el Tribunal acordará todas las decisiones que le correspondan en orden al correcto desarrollo de las pruebas selectivas.

5.5 A partir de su constitución, el Tribunal, para actuar válidamente, requerirá de la presencia de las personas que ocupan la Presidencia y Secretaría o, en su caso, de quienes les sustituyan, y de la mitad, al menos, de sus miembros, sean titulares o suplentes.

5.6 A efectos de comunicaciones y demás incidencias, el Tribunal tendrá su sede en el Rectorado de la Universidad Carlos III de Madrid, C/Madrid, 126, de Getafe, 28903 (Madrid), Servicio de Recursos Humanos y Organización, o en la dirección de correo electrónico selecpas@pa.uc3m.es.

5.7 En ningún caso el Tribunal podrá aprobar ni declarar que han superado las pruebas selectivas un número superior de aspirantes que el de plazas convocadas. Cualquier propuesta de aprobados que contravenga lo establecido será nula de pleno derecho. Con el fin de asegurar la cobertura de las plazas convocadas, cuando se produzcan renuncias de los aspirantes seleccionados, antes de la firma del contrato de trabajo, el órgano convocante podrá requerir del órgano de selección relación complementaria de los aspirantes que sigan al propuesto/a para su posible nombramiento como personal laboral fijo.

5.8 Durante todo el proceso selectivo, el Tribunal resolverá las dudas que puedan surgir en la aplicación de estas normas, así como la actuación que proceda en los casos no previstos. En todo momento su actuación se ajustará a lo dispuesto en la Ley 39/2015, de 1 de octubre, de Procedimiento Administrativo Común de las Administraciones Públicas, y Ley 40/2015, de 1 de octubre, de Régimen Jurídico del Sector Público.

5.9 El Tribunal, de acuerdo con lo previsto en el Real Decreto 2271/2004, de 3 de diciembre, por el que se regula el acceso al empleo público y la provisión de puestos de trabajo de las personas con discapacidad adoptará las medidas oportunas que permitan a los/las aspirantes con discapacidad, que así lo hubieran indicado en la solicitud (aportando el anexo V), poder participar en las pruebas del proceso selectivo en igualdad de condiciones que el resto de aspirantes, disponiendo las adaptaciones de medios y los ajustes razonables de tiempos previstos en la Orden PRE/1822/2006, de 9 de junio, por la que se establecen criterios generales para la adaptación de tiempos adicionales en los procesos selectivos para el acceso al empleo público de personas con discapacidad.

6. Procedimiento de selección

El sistema de selección será el de concurso-oposición libre.

6.1 Fase de oposición.

Los ejercicios a realizar por el conjunto de aspirantes se especifican en el anexo III de la presente convocatoria y versará sobre el temario que figura como anexo II y las funciones de los puestos de trabajo.

Los ejercicios de la fase de oposición tendrán carácter obligatorio y eliminatorio, según se especifica en el anexo III de la convocatoria, de tal modo que la no superación de cualquiera de los ejercicios o partes de los mismos, supondrá para las personas que aspiran a los puestos la imposibilidad de continuar en el proceso selectivo.

Concluidos los ejercicios de la fase de oposición, el Tribunal hará públicas en la página web de la Universidad indicada en la base 3.1, la relación de aspirantes que hayan superado la misma. Los participantes en el proceso que no se hallen incluidos en dicha relación no podrán continuar el proceso selectivo. Esta resolución abrirá un plazo de diez días hábiles para que los aspirantes que hayan superado la fase de oposición presenten la documentación acreditativa de los méritos que deseen que se les valore en la fase de concurso.

6.2 Fase de concurso.

Finalizada la fase de oposición tendrá lugar la fase de concurso. Tan solo participarán en esta fase los y las aspirantes que hayan superado la fase de oposición. En esta fase se valorarán los méritos académicos y profesionales, figurando el baremo aplicable a los mismos en el anexo III de esta convocatoria. En ningún caso los puntos obtenidos en esta fase podrán ser computados para superar los ejercicios que se hayan realizado en la fase de oposición.

Para que el Tribunal valore los méritos alegados, será requisito necesario e imprescindible que quienes hayan superado la fase de oposición aporten justificación documental de todos y cada uno de estos méritos en el plazo de diez días hábiles contados desde el siguiente a la publicación de la relación de aspirantes que hayan superado la fase de oposición, de conformidad con lo establecido en la base 6.1.

Para la valoración de los méritos alegados, el Tribunal tomará para su cómputo como fecha límite, en su caso, la de finalización del plazo de presentación de solicitudes.

6.3 Valoración final.

La puntuación global del proceso selectivo vendrá determinada por la media ponderada de las calificaciones obtenidas en la fase de oposición y la de concurso, correspondiendo a la fase de oposición el 70 por 100 y a la fase de concurso el 30 por 100 del total, no pudiendo resultar aprobadas, tras la suma de ellas, un número mayor de personas que el total de plazas convocadas.

En el caso de que al proceder a la ordenación de aspirantes se produjesen empates, éstos se resolverán atendiendo sucesivamente a los siguientes criterios:

1) Mayor puntuación obtenida en la fase de oposición.

2) Mayor puntuación obtenida en la fase de concurso.

3) Mayor puntuación obtenida en la prueba práctica (segundo ejercicio) de la fase de oposición.

Si aún persistiera el empate, éste se dirimirá atendiendo al orden alfabético, conforme a la letra del sorteo indicado en la base 7.2.

7. Calendario y desarrollo de los ejercicios

7.1 La fecha del inicio del proceso selectivo se publicará en la página web de la Universidad Carlos III de Madrid indicada en la base 3.1.

7.2 Las personas admitidas a participar en este proceso serán convocadas para la realización del primer ejercicio en único llamamiento, siendo excluidas de la oposición quienes no comparezcan, salvo en los casos de fuerza mayor debidamente justificados y libremente apreciados por el Tribunal. El orden de llamamiento de aspirantes, en caso de requerirlo las actuaciones, vendrá determinado por la letra «U», según la Resolución de 13 de marzo de 2025 de la Dirección General de Función Pública de la Comunidad de Madrid (BOCM de 25 de marzo).

7.3 En cualquier momento del proceso selectivo, si el Tribunal tuviere conocimiento de que alguna de las personas aspirantes no posee la totalidad de los requisitos de participación exigidos en la presente convocatoria, previa audiencia de la misma, propondrá su exclusión al Sr. Rector, dando traslado, asimismo, de las inexactitudes o falsedades formuladas por el/la aspirante en la solicitud de admisión a las pruebas selectivas a los efectos procedentes. Esta resolución pondrá fin a la vía administrativa y, consiguientemente, la persona interesada podrá formular el recurso contencioso-administrativo ante la Sala correspondiente del Tribunal Superior de Justicia de Madrid, en el plazo de dos meses previa comunicación al Rector de la Universidad y, potestativamente, recurso de reposición ante este Rectorado en el plazo de un mes, en los términos de la Ley 39/2015, de 1 de octubre, de Procedimiento Administrativo Común de las Administraciones Públicas.

8. Listas de aspirantes aprobados

8.1 Finalizado el proceso selectivo, el Tribunal hará pública en la página web indicada en la base 3.1 la lista de aspirantes que lo hayan superado por el orden de puntuación total obtenida con indicación de las notas alcanzadas tanto en la fase de oposición como en la fase de concurso.

8.2 El Tribunal no podrá aprobar ni declarar que han superado el proceso selectivo, un número superior de aspirantes al de plazas convocadas. Cualquier propuesta que contravenga lo anterior será nula de pleno derecho.

8.3 Una vez hecha pública la identidad de las personas que hayan obtenido plaza, la Presidencia del Tribunal elevará al Rector de la Universidad las relaciones definitivas de aspirantes aprobados.

9. Presentación de documentos

9.1 En el plazo de veinte días naturales, a contar desde el día siguiente a aquél en que se hiciera pública la relación definitiva de aprobados citada en la base 8.1, los aspirantes incluidos en la misma deberán presentar en el Registro General de la Universidad Carlos III de Madrid escrito dirigido a la Dirección de Servicios de Recursos Humanos y Organización con los siguientes documentos:

a) DNI o NIE, así como original o copia compulsada del resto de la documentación acreditativa de la nacionalidad en virtud de la base 2.1.a).

b) Copia compulsada u original de la titulación requerida en la base 2.1.c) o certificación académica acreditativa de tener aprobadas todas las asignaturas que le capacitan para la obtención de la misma, acompañando el resguardo justificativo de haber abonado los derechos para la expedición del correspondiente título. En el caso de titulaciones obtenidas en el extranjero, deberá presentarse copia y original de la documentación que acredite su homologación o declaración de equivalencia.

En el caso de que el requisito de titulación haya sido sustituido por experiencia profesional, se aportará: fotocopia y original del contrato de trabajo o certificación original de empresa justificativa de la experiencia manifestada, así como certificación original de cotizaciones a la Seguridad Social en la que consten, expresamente, los periodos y grupos de tarifa. A los efectos de acreditar la experiencia por cuenta propia, se aportará certificación de cotizaciones al correspondiente régimen especial de la Seguridad Social en la que figure expresamente el periodo de cotización y certificación original del alta en Actividades Económicas, se esté exento o no del pago, durante el periodo correspondiente. En caso de imposibilidad de presentar dichos documentos, debidamente justificada, se podrá acreditar mediante cualquier medio de prueba admitido en derecho.

c) Declaración jurada o promesa de no haber sido separado mediante expediente disciplinario del servicio de ninguna Administración Pública, ni hallarse inhabilitado para el ejercicio de las funciones públicas. Los aspirantes que no posean la nacionalidad española deberán presentar, además de la declaración relativa al Estado español, declaración jurada o promesa de no estar sometidos a sanción disciplinaria o condena penal que impidan en su Estado el acceso a la Función Pública.

d) Original o copia compulsada de los documentos presentados para acreditar los méritos de la fase de concurso, salvo los cursos realizados en la Universidad Carlos III de Madrid y los certificados de servicios expedidos por esta Universidad.

e) Certificado médico oficial acreditativo de no padecer enfermedad ni defecto físico que imposibilite para el servicio.

9.2 Quienes ya tuvieran condición de personal funcionario de carrera o laboral fijo de cualquiera de las Administraciones Públicas, estarán exentos de justificar los requisitos que sirvieron de base para su anterior nombramiento o contrato, debiendo presentar certificación del Servicio de Personal del Ministerio o Administración Pública de la que dependan, justificativo de tal condición.

9.3 Quienes, dentro del plazo fijado, y salvo casos de fuerza mayor, no presentasen la documentación, o de su examen se dedujera que carecen de alguno de los requisitos señalados en la base segunda, no podrán ser contratados al amparo de esta convocatoria, y quedarán anuladas sus actuaciones, sin perjuicio de la responsabilidad en que hubieran incurrido por falsedad en la solicitud de participación en las pruebas selectivas.

10. Adjudicación de puestos y formalización de los contratos

10.1 La adjudicación de puestos de trabajo se efectuará de acuerdo con las peticiones de los interesados entre los puestos ofrecidos a los mismos, según el orden obtenido en el proceso selectivo.

10.2 Los contratos se formalizarán en el plazo máximo de tres meses desde la publicación del listado definitivo de aspirantes que hayan superado el proceso selectivo, de acuerdo con lo establecido en el artículo 30 del convenio colectivo de aplicación. En ellos se establecerá el periodo de prueba legal y convencionalmente establecido. Superado el periodo de prueba, el personal adquirirá la condición de personal laboral fijo.

11. Bolsa de trabajo

Una vez finalizado el proceso selectivo se formará una Bolsa de Empleo de la categoría convocada, según el orden de puntuación total obtenido, a efectos de la contratación temporal y en función de su volumen, con los aspirantes que sin haber obtenido plaza en el mismo, hubieran superado al menos alguno de los ejercicios de la fase de oposición. A estos efectos, los Tribunales deberán remitir al órgano convocante, en su caso, la relación de los aspirantes que pasen a formar parte de la Bolsa de Trabajo.

En la solicitud de participación al proceso selectivo los aspirantes indicarán si desean, en su caso, formar parte de esta Bolsa, tal y como recoge la base 3.1.

12. Protección de datos y norma final

12.1 De conformidad con lo establecido por la normativa vigente en materia de protección de datos personales, los datos facilitados por quienes concurran a la presente convocatoria serán tratados por la Universidad Carlos III de Madrid, en el marco del tratamiento inscrito en el Registro de Actividades de Tratamiento e identificado como «Selección y provisión de puestos de trabajo (PTGAS)», con la finalidad de la selección de personal y la provisión de puestos de trabajo mediante convocatorias públicas de la Universidad. Sus datos serán tratados para poder tramitar su solicitud y resolver la convocatoria en la que participa. A estos efectos, se adoptarán las medidas necesarias para preservar la confidencialidad, integridad y disponibilidad de la información personal tratada.

12.2 Las personas interesadas podrán ejercitar sus derechos de acceso, rectificación, supresión, limitación, portabilidad y oposición a su tratamiento, mediante el envío de un correo a la siguiente dirección: dpd@uc3m.es.

12.3 Puede consultar la información detallada sobre nuestra Política de Privacidad en www.uc3m.es/inicio/proteccion-datos.

12.4 La totalidad de aspirantes, por el hecho de participar en las presentes pruebas selectivas, se someten a las bases de esta convocatoria y su desarrollo y a las decisiones que adopte el Tribunal, sin perjuicio de las reclamaciones pertinentes. El Tribunal está facultado para resolver las dudas que se presenten y tomar los acuerdos necesarios para el buen orden de las pruebas selectivas, en todo lo no previsto en las bases.

12.5 Contra la presente convocatoria se podrá interponer recurso contencioso-administrativo ante el Juzgado de lo Contencioso-Administrativo de Madrid en el plazo de dos meses y potestativamente, recurso de reposición ante el mismo órgano que la ha dictado en el plazo de un mes, ambos plazos contados a partir del día siguiente a su publicación en el «Boletín Oficial de la Comunidad de Madrid», de conformidad con lo dispuesto en la Ley 39/2015, de 1 de octubre, del Procedimiento Administrativo Común de las Administraciones Públicas, y en la Ley 29/1998, de 13 de julio, reguladora de la Jurisdicción Contencioso-administrativa, desde el día siguiente al de su publicación. Asimismo, cuantos actos administrativos se deriven de ella y de las actuaciones del Tribunal podrán ser impugnados por los interesados en los casos y en la forma establecidos en la citada Ley 39/2015.

Getafe, 22 de abril de 2025.–El Rector, P. D. (Resolución de 3 de julio de 2022), el Gerente, Alberto García Martínez.

ANEXO I
Descripción de las plazas ofertadas
N.º plazas Localidad Puesto de trabajo Grupo/nivel retributivo Jornada Servicio / Unidad

1

G/L/C/PT(*)

TÉCNICO/A ESPECIALISTA C1 (LABORATORIO). C/C1 JPM/JPT(**) OFICINA TÉCNICA.

(*) Getafe, Leganés, Colmenarejo, Puerta de Toledo

(**) Treinta y cinco horas semanales en jornada partida, parte principal de mañana o parte principal de tarde.

ANEXO II
Proceso selectivo personal laboral Técnico Especialista Laboratorio C1 (BIO)

Temario

1. La Constitución Española de 1978. Estructura y contenido. Título preliminar y Título I. Derechos fundamentales y libertades públicas. Su garantía y suspensión.

2. La Ley Orgánica 2/2023, de 22 de marzo, del Sistema Universitario. Especial referencia al Personal Técnico, de Gestión y de Administración y Servicios.

3. El Real Decreto Legislativo 2/2015, de 23 de octubre, por el que se aprueba el texto refundido de la Ley del Estatuto de los Trabajadores. Derechos y deberes laborales básicos. Derecho y deberes derivados del contrato. Participación de los trabajadores en la empresa: órganos de representación. El derecho de reunión. La libertad sindical.

4. Los Estatutos de la Universidad Carlos III de Madrid. Especial referencia al Personal Técnico, de Gestión y de Administración y Servicios.

5. Incompatibilidades del personal al servicio de las Administraciones Públicas: La Ley 53/1984, de 26 de diciembre.

6. El II Convenio Colectivo del personal laboral de las Universidades Públicas de la Comunidad de Madrid.

7. Normativa y Buenas Prácticas en Salas Blancas. Concepto y clasificación de Salas Blancas según normativas ISO 14644 y GMP. Control ambiental en Salas Blancas: parámetros clave (partículas, temperatura, humedad, flujo de aire, presión diferencial). Protocolos de acceso y uso de equipos en Salas Blancas: indumentaria y procedimientos de descontaminación.

8. Seguridad en los laboratorios químicos. Equipos de protección, normas de etiquetado y fichas de seguridad. Almacenamiento y conservación. Conocimientos para la manipulación de gases comprimidos, licuados, disueltos a presión y criogénicos. Eliminación de residuos químicos.

9. Seguridad en los laboratorios biológicos. Equipos de protección. Niveles de bioseguridad. Almacenamiento y conservación de muestras biológicas. Eliminación y tratamiento de residuos biológicos.

10. Gestión de pedidos en el laboratorio. Procedimientos administrativos para la gestión de pedidos. Control de stock y almacenamiento de reactivos y material fungible. Presupuestación y control de costes en la adquisición de insumos. Normativa y buenas prácticas en la gestión de proveedores y trazabilidad de reactivos.

11. Uso y mantenimiento de material y equipos básicos de laboratorio. Material de vidrio, porcelana y plástico, balanzas, centrífugas, pH metros, equipos de purificación de agua, esterilizadores, incubadores, baños termostáticos, cabinas de flujo laminar, vitrinas de extracción de gases, espectrofotómetros, colorímetros.

12. Disoluciones. Cálculo y preparación de diluciones y disoluciones. Soluciones tampón. Molaridad. Normalidad. Ácidos y bases: concepto de pH.

13. Técnicas básicas de cultivos celulares. Medios de cultivo: tipos, suplementos esenciales y prevención de contaminación. Esterilización y bioseguridad: uso de autoclave, filtración, radiación UV y cabinas de bioseguridad. Técnicas de cultivo: resiembra, subcultivo, criopreservación y cambio de medio. Mantenimiento y control de calidad: detección y eliminación de contaminaciones.

14. Técnicas básicas en histología: Fijación, inclusión, corte, tinción. Técnicas histoquímicas e Inmunohistoquímicas.

15. Técnicas básicas de Bioquímica y de Biología Molecular: determinación de actividades enzimáticas, análisis de proteínas y ácidos nucleicos.

16. La sangre. Técnicas básicas hematológicas: Recuento, fórmula leucocitaria.

17. Microscopía. Fundamento, propiedades ópticas y elementos de un microscopio. Tipos de microscopios.

18. Bio/impresión 3D, microfabricación y dispositivos microfluídicos. Fundamentos.

19. Prevención de riesgos laborales: conceptos básicos y principios de la acción preventiva. Derechos y obligaciones de empresarios y trabajadores en materia de prevención de riesgos laborales. La coordinación de actividades empresariales. El Comité de Seguridad y Salud. Normas básicas de seguridad e higiene y primeros auxilios.

20. Principales funciones y utilidades de los Procesadores de texto y las Hojas de cálculo: Word 2019 y Excel 2019. Herramientas Google: Gmail, Drive, Docs, Sheets y Calendar. Correo electrónico: conceptos elementales.

ANEXO III
Proceso selectivo

El proceso selectivo constará de una fase de oposición y una fase de concurso. Los puntos de la fase de concurso no podrán aplicarse para superar la fase de oposición.

I. Fase de oposición

La fase de oposición estará compuesta por dos ejercicios obligatorios y de carácter eliminatorio. Esta fase supondrá el 70 % de la puntuación total del proceso.

1. Primer ejercicio: Consistirá en contestar por escrito un cuestionario de carácter teórico integrado por 75 preguntas tipo test más 5 de reserva, con respuestas múltiples, siendo sólo una de ellas correcta, que versarán sobre el programa que figura como anexo II, al objeto de apreciar los conocimientos teóricos adecuados de los/as aspirantes a la categoría que se convoca.

Para cada pregunta se propondrán cuatro respuestas alternativas, siendo sólo una de ellas la correcta. La pregunta contestada correctamente se valorará con un punto, la pregunta no contestada (es decir, que figure en blanco o con más de una respuesta) no tendrá valoración y la pregunta con contestación errónea se penalizará con una tercera parte del valor asignado a la contestación correcta.

La calificación del ejercicio será de 0 a 40 puntos, siendo necesario para aprobar obtener un mínimo de 20 puntos.

Corresponde al Tribunal calificador la fijación del número necesario de preguntas válidamente contestadas para alcanzar la calificación mínima de 20 puntos, con el cálculo de la correspondiente puntuación ponderada según fórmula matemática que se especifica en el anexo IV, todo ello a la vista de la dificultad del ejercicio propuesto y grado de conocimiento alcanzado con referencia al nivel necesario exigido para garantizar la idoneidad de cada aspirante.

El Tribunal determinará el tiempo de duración de este ejercicio, que será como máximo de 60 minutos.

Esta prueba tendrá carácter eliminatorio, de manera que su no superación supondrá para los/as aspirantes la imposibilidad de continuar el proceso selectivo.

2. Segundo ejercicio: Tiene por objeto demostrar la capacidad para el desempeño de las funciones correspondientes a los puestos de trabajo ofertados. Consistirá en la resolución de un supuesto de carácter práctico, a elegir entre dos propuestos por el Tribunal, relacionados con el programa recogido en el anexo II. El Tribunal determinará el tiempo de duración de este ejercicio, que será de una hora como máximo y se calificará de 0 a 40 puntos, siendo necesario para aprobar obtener un mínimo de 20 puntos.

Corresponde al Tribunal calificador la determinación del nivel mínimo exigido para alcanzar la calificación mínima de 20 puntos, todo ello a la vista de la dificultad del ejercicio propuesto y grado de conocimiento alcanzado con referencia al nivel necesario exigido para garantizar la idoneidad de los/as aspirantes.

Esta prueba tendrá carácter eliminatorio, de manera que su no superación supondrá para los/as aspirantes la imposibilidad de continuar el proceso selectivo.

La calificación final de la fase de oposición se hallará con la suma de las calificaciones transformadas en su valor de 0 a 40 obtenidas en cada uno de los ejercicios, siempre que se haya alcanzado el mínimo exigido para superar cada uno ellos, y se hallará efectuando la media ponderada de las calificaciones obtenidas, correspondiendo el 40 por 100 al teórico (primer ejercicio) y el 60 por 100 al práctico (segundo ejercicio).

II. Fase de concurso

La fase de concurso supondrá el 30 % de la puntuación total del proceso.

La puntuación máxima de esta fase será de 30 puntos y no tendrá carácter eliminatorio, valorándose los siguientes méritos de los aspirantes que hayan superado la fase de oposición. Se valorará la experiencia profesional y los méritos acreditados documentalmente.

1. Experiencia profesional. Hasta un máximo de 20 puntos.

Se valorará la experiencia adquirida en puestos de trabajo:

a) Desempeñados en el mismo grupo, nivel salarial, área y especialidad del puesto al que se opta, de forma remunerada, en cualquiera de las Universidades Públicas de la Comunidad de Madrid: 0,15 puntos por mes completo.

b) Desempeñados en el mismo grupo, nivel salarial, área y especialidad del puesto al que se opta, de forma remunerada, en cualquier otro centro, entidad o empresa: 0,10 puntos por mes completo.

c) Desempeñados en el mismo grupo, nivel salarial, área y especialidad del puesto al que se opta, de forma remunerada, por cuenta propia: 0,05 puntos por mes completo.

En el supuesto en que se hayan simultaneado dos o más contratos en las mismas fechas, se valorará únicamente aquel del que se derive la puntuación más favorable para el trabajador/a.

Los contratos a tiempo parcial se computarán como de jornada completa siempre que su jornada sea igual o superior al 50 % de aquélla. En caso de que sea inferior, se computará de forma proporcional al tiempo trabajado.

A los efectos de lo dispuesto en este apartado, la experiencia se acreditará mediante la siguiente documentación, además de cualquier otra válidamente admitida en derecho que permita probar la experiencia alegada en el grupo y área de especialidad objeto del proceso:

a) Experiencia en las Universidades Públicas de Madrid: certificado justificativo de la experiencia alegada expedido por el Servicio de Recursos Humanos y Organización de la Universidad correspondiente. En el caso de la experiencia profesional obtenida en la Universidad Carlos III de Madrid, se aportará de oficio por el servicio de Recursos Humanos de esta Universidad.

b) Experiencia en cualquier otro centro, entidad o empresa, por cuenta ajena: Certificado de cotizaciones a la Seguridad Social en el que consten expresamente los periodos y grupo de tarifa (Vida Laboral), fotocopia de contrato de trabajo y/o certificado de empresa justificativa de la experiencia manifestada.

c) Experiencia por cuenta propia: certificado de cotizaciones al régimen especial correspondiente de la Seguridad Social en la que figure expresamente el periodo de cotización y certificación del alta en el impuesto de actividades económicas, durante el periodo correspondiente.

2. Formación y perfeccionamiento profesional. Hasta un máximo de 10 puntos.

Los cursos de formación y perfeccionamiento profesional, para su valoración en esta fase, deberán relacionarse y numerarse en la Relación de cursos de formación que figura en el anexo VI de esta convocatoria.

Se valorarán hasta un máximo de 10 puntos los cursos de formación y perfeccionamiento profesional relacionados con el área y la especialidad del puesto al que se opta, impartidos por centros oficiales reconocidos por el Ministerio de Educación, así como los impartidos por organismos e instituciones oficiales dependientes de las Administraciones Públicas y cualquier otro financiado con fondos públicos. En este apartado se deberán tener en cuenta, entre otros, los cursos relacionados con cualquier tema del Programa indicado en el anexo II de la presente convocatoria. También se valorará, a juicio del Tribunal, la obtención de certificaciones expedidas por entidades de reconocido prestigio en el sector, siempre que dichas certificaciones incluyan la acreditación del número de horas de formación realizadas.

Los referidos cursos se valorarán según su duración, de conformidad con el siguiente baremo:

– Menos de 20 horas 0,10 puntos.

– De 20 a 30 horas o fracción 0,20 puntos.

– De 31 a 70 horas o fracción 0,40 puntos.

– De 71 a 150 horas o fracción 0,80 puntos.

– De 151 a 300 horas 1,60 puntos.

– Más de 300 horas 2,50 puntos.

No se valorarán como cursos de formación y perfeccionamiento, las asignaturas individualmente consideradas, integrantes de planes de estudios oficiales, ni los cursos académicos necesarios para la obtención del título oficial exigido para pertenecer a la categoría laboral de la plaza a la que se opta; sin embargo, las titulaciones oficiales finalizadas relacionadas con el área y especialidad de los puestos se podrán considerar siempre que no se trate del título que posibilita el acceso al presente proceso selectivo.

Si se presentaran varias ediciones de un mismo curso o dos cursos sobre el mismo tema se valorará el que sea de mayor número de horas.

Los cursos que no especifiquen horas, se valorarán por el mínimo.

Para acreditar la realización de los cursos que se han enumerado en la relación de cursos (anexo VI), deberá acompañarse copia de la certificación, del título o del diploma correspondiente, en la que figure de forma expresa el número de horas de que consta. Además en cada certificación, título o diploma deberá constar la numeración asignada al mismo en el citado anexo VI.

No serán objeto de valoración los cursos que, habiéndose relacionado en el anexo VI, no se hayan acreditado en la forma descrita. Sin embargo, no será necesario acreditar documentalmente los cursos impartidos por la Universidad Carlos III de Madrid, si bien sí que deberán estar relacionados en la relación de cursos citada.

III. Valoración final

La puntuación global del proceso selectivo vendrá determinada por la media ponderada de las calificaciones obtenidas en la fase de oposición y la de concurso, correspondiendo a la fase de oposición el 70 por 100 y a la fase de concurso el 30 por 100 del total. El orden definitivo del proceso selectivo vendrá determinado por el resultado de sumar ambas puntuaciones.

ANEXO IV
Cálculo de puntuación directa

La puntuación directa de la primera parte del ejercicio se calcula conforme a la fórmula siguiente:

A − (E/3)

Siendo:

– A: número de aciertos.

– E: número de errores.

Fórmula de conversión de la puntuación directa a puntuación transformada (calificación)

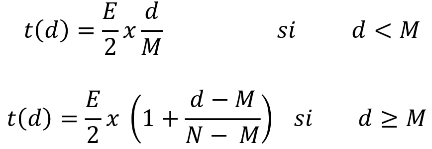
El cálculo de la calificación (puntuación transformada) de las pruebas de la fase de oposición se establece sobre la base de la puntuación directa mínima (nota de corte) necesaria para superar el ejercicio, determinada por el Tribunal Calificador.

Reconversión de notas estableciendo nota de corte:

Imagen: /datos/imagenes/disp/2025/103/8542_15603844_1.png

Siendo:

t(d): Calificación (puntuación transformada) del opositor.

d: Puntuación directa del opositor.

M: Puntuación directa mínima para superar el ejercicio establecida por el Tribunal (nota de corte).

N: Puntuación directa máxima obtenible en el ejercicio.

E: Calificación máxima obtenible en el ejercicio (puntuación transformada máxima).

ANEXO V
Adaptaciones

Listado de adaptaciones compensatorias (señalar con una cruz lo que corresponda)

D./D.ª.............................................................................................................................., con DNI n.º............................., solicita:

Ampliación del tiempo de examen.
Colocación en las primeras filas.
Mesa adaptada para usuarios de sillas de ruedas.
Aumento del nivel de iluminación.
Preguntas de examen y folios ampliados en tamaño.
Preguntas de examen y folios en alto contraste.
Transcripción en sistema Braille.
Posibilidad de uso de máquinas de escribir en sistema Braille.
Posibilidad de uso de medios de ampliación de imagen.
Instrucciones generales e instrucciones durante las pruebas, siempre por escrito.
Disponibilidad de equipos de frecuencia modulada para personas con deficiencia auditiva.
Intérprete de lengua de signos.
Posibilidad de uso del ordenador e impresora u otras ayudas técnicas para la comunicación escrita.
Necesidad de alimentación eléctrica para ayudas técnicas para la comunicación.
Otras:

En ..............., a ...... de ..................... de ...........

Fdo.: ..............................

Destinatario: Dirección de Recursos Humanos y Organización del PTGAS.

ANEXO VI
Relación de cursos de formación

Nombre:

DNI/NIE:

Declaración de los cursos de formación que se presentan para la fase de concurso. (Deberán consignarse sólo aquellos cursos realizados dentro del plazo indicado en la convocatoria).

N.º Denominación curso Organismo oficial que expide el certificado N.º de horas

Fecha de impartición

(día/mes/año)

         
         
         
         
         
         
         
         
         

 (Añadir tantas filas como precise).

Una vez cumplimentado, deberá guardar este documento como un archivo .PDF para poder presentarlo a través de la plataforma Convoc@.

Para su acreditación deberá presentar copia de los títulos/certificados emitidos (no se valorarán los cursos de los que no se haya presentado certificado, salvo que hayan sido impartidos por la Universidad Carlos III de Madrid). Recuerde numerar los títulos/certificados que aporte con el mismo orden en que los ha introducido en este listado.

ANÁLISIS

  • Rango: Resolución
  • Fecha de disposición: 22/04/2025
  • Fecha de publicación: 29/04/2025
  • Convocatoria. Subgrupo C1. Personal Técnico, de Gestión y de Administración y Servicios Laboral.

subir

Agència Estatal Butlletí Oficial de l'Estat

Avda. de Manoteras, 54 - 28050 Madrid