Contingut no disponible en català

Us trobeu en

Documento BOE-A-1981-13187

Orden de 1 de junio de 1981 por la que se regula el transporte internacional de mercancías por carretera.

[Disposición derogada]

Publicado en:
«BOE» núm. 140, de 12 de junio de 1981, páginas 13319 a 13320 (2 págs.)
Sección:
I. Disposiciones generales
Departamento:
Ministerio de Transportes y Comunicaciones
Referencia:
BOE-A-1981-13187
Permalink ELI:
https://www.boe.es/eli/es/o/1981/06/01/(1)

TEXTO ORIGINAL

Ilmo. Sr.: La aplicación de la Orden ministerial de 14 de febrero de 1980, explicitada en la relación publicada en el «Boletín Oficial del Estado» de 13 de enero de, 1981, ha puesto de manifiesto que las Empresas autorizadas para hacer transporte internacional de mercancías por carretera son en la actualidad 456, a las que se añaden 17 Cooperativas formadas por empresarios nacionales de transporte público, que totalizan más de 5.200 vehículos, lo que supone una oferta permanente superior a las 120.000 toneladas de carga. Si se tiene en cuenta que un vehículo en transporte internacional debe hacer, como mínimo, 24 viajes al año para sacar una rentabilidad aceptable y puede alcanzar el número de 36 y aún superarlo, y habida cuenta de que la carga media útil actual de los vehículos internacionales españoles es de 22,7 toneladas, se aprecia fácilmente que el transporte realizable en viajes de exportación por la flota española deberla pasar de los 3.000.000 de toneladas/año. Si se compara, esta cifra con el tonelaje transportado en exportación (en régimen de contingentación) por los vehículos españoles durante el año 1979, que apenas ha superado el millón y medio de toneladas, según los datos obtenidos por los Servicios de la Dirección General de Transportes Terrestres, se deduce la infrautilización acusada de la flota española internacional de transporte público, que podría, si dispusiera de autorizaciones para ello, y la demanda así lo requiriera, más que duplicar el tonelaje de mercancías españolas actualmente exportadas por carretera.

Debe recordarse, además, que, en virtud de aquella Orden ministerial, se dio acceso a todas las Empresas y Cooperativas de Empresas de Transporte que cumplían los requisitos y condiciones exigidas en dicha disposición. En total han sido 58 las Empresas de transporte nacional que han accedido al internacional de mercancías y 17 Cooperativas formadas por Empresas de transporte nacional de mercancías.

Por otra parte, los contingentes de autorizaciones de los distintos acuerdos bilaterales, y en especial el hispano-francés, que es necesario también para el tránsito por el vecino país, se vienen agotando por parte española y resulta cada vez más difícil conseguir aumentos significativos, como consecuencia de una situación económica generalizada, el sobrante de autorizaciones a los transportistas de otros países y la política de las Administraciones europeas de fomentar el tráfico combinado.

Teniendo en cuenta lo anterior y mientras se mantenga por debajo del 80 por 100 la posible utilización de la flota de los vehículos españoles que se dedican al transporte internacional de mercancías, parece del todo aconsejable que, en el caso de que los contingentes de autorizaciones de los distintos acuerdos bilaterales aumentasen en el futuro, utilizar los incrementos correspondientes de contingente para reforzar la posición de las Empresas que están ya autorizadas a hacer transporte internacional contingentado y de aquellas otras que, de hecho, ya están introducidas en él a través de acuerdos de cooperación con Empresas francesas, y repartirlos con análogos criterios a los establecidos en la citada Orden ministerial de 14 de febrero de 1980.

Por otra parte, la dinámica estructural de las Empresas de transporte público de mercancías, motivada por muy diversas razones, aconsejó a la Administración de Transportes a la promulgación de las disposiciones oportunas que permite, en determinados casos, la transmisión de autorizaciones de transporte entre Empresas transportistas. Tal dinámica alcanza, como es natural, al Sector del Transporte Internacional de mercancías que no deja de ser una parte especializada y muy significativa del transporte público de mercancías.

Ello hace necesario establecer un procedimiento para que, en los casos en que la Dirección General de Transportes Terrestres lo estime oportuno y conveniente, se pueda autorizar la transmisión de parte de los cupos de autorizaciones internacionales de mercancías entre Empresas españoló® de transporte internacional, cuando se haya producido, previamente, la transmisión de tarjetas de transporte MDCN de más de 15 toneladas de carga útil entre Alguna de dichas Empresas.

Por último, dadas las especiales características y responsabilidades que entraña la contratación de transporte internacional de mercancías, ha parecido oportuno ratificar las personas jurídicas que pueden practicar dicha contratación de acuerdo con la legislación vigente.

Por todo lo anteriormente expuesto,

Este Ministerio ha dispuesto:

Artículo 1.

1.1. Para ser titular de autorizaciones de transporte internacional de mercancías por carretera en régimen de contingentación, deberá la Empresa figurar en el Registro Central de Ordenación del Transporte:

a) Como Empresa autorizada a realizar transporte internacional, o

b) Como Empresa que forma parte de una Cooperativa de Empresas de Transporte Nacional autorizadas a realizar transporte internacional.

1.2 Durante 1981 podrán resolverse aquellas solicitudes presentadas durante 1980 que con posterioridad a su presentación demuestren haber cumplido los requisitos y condiciones exigidos en la Orden ministerial de 14 de febrero de 1980.

1.3 Se admitirán nuevas solicitudes para ser titular de autorizaciones de transporte internacional de mercancías, presentadas antes del 30 de junio de cada año, por aquellas Empresas de transporte público nacional con vehículos MDCN de carga útil igual o mayor a 15 toneladas, que están ya introducidas en el tráfico internacional a través de acuerdos de cooperación suscritos con Empresas francesas y que hayan funcionado equilibradamente y, por consiguiente, renovables, concediéndoles hasta un 10 por 100 de los viajes realizados al amparo de aquellos acuerdos y con un máximo de 18 autorizaciones de zona larga de Francia.

Artículo 2.

La distribución de los contingentes de autorizaciones que se fijan para un año con los distintos países europeos, se hará con arreglo a los siguientes criterios:

2.1 Mientras los contingentes lo permitan, se asignará a las Empresas de transporte internacional a que hace referencia el artículo 1.º, y a las Cooperativas, el mismo número de autorizaciones al viaje y temporales que utilizaron debidamente en viajes cargados en el año precedente, de acuerdo con las asignaciones de cupo otorgadas por la Dirección General de Transportes Terrestres.

2.2 Una vez cumplimentado lo anterior, el 80 por 100 del remanente de autorizaciones que pudiera restar, deduciendo ese 80 por 100 lo establecido en 2.2.5, se repartirá como sigue:

2.2.1. En el caso del contingente francés: Entre los transportistas definidos en el artículo 1.º, 1.1, a), que hayan agotado sus respectivos cupos durante el año anterior, utilizando debidamente todas las autorizaciones.

2.2.2. En el caso de los contingentes relativos a la R.F.A., Austria, Bélgica, Italia, Países Bajos y Reino Unido:

El 75 por 100 entre los transportistas definidos en el artículo 1.º, 1.1, al, que ya vienen realizando tráfico con el país en cuestión, que hayan agotado sus respectivos cupos durante el año anterior, utilizando debidamente todas las autorizaciones.

El 25 por 100 restante se reservará para los transportistas definidos en el artículo 1.º, 1.1, a), que, no habiendo tenido anteriormente acceso a los tráficos con los países indicados, cumplan las condiciones de disponer de una capacidad de carga de 150 toneladas en autorizaciones de transporte definitivas MDCN, cada una de ellas con carga útil igual o superior a 15 toneladas y una potencia de tracción mínima de 40 CV fiscales, en autorizaciones definitivas TD, en el caso de que la MDCN corresponda a un remolque o semirremolque. No se tendrán en cuenta para estos cómputos los vehículos de antigüedad superior a ocho años.

No obstante, podrán optar al cupo indicado en el párrafo anterior, los transportistas que ya venían haciendo transporte internacional contingentado antes de 1 de enero de 1980, siempre que dispongan de una flota de cinco vehículos con tarjetas definitivas MDCN y carga útil igual o superior a 15 toneladas.

2.2.3 En el caso de los demás contingentes y siempre que exista remanente para ello, se facilitarán a las Empresas internacionales, definidas en el artículo 1.º, 1.1, a), las autorizaciones correspondientes, en la forma y cuantía siguientes:

A la primera solicitud que presentan en el año las mencionadas Empresas, se les concederá una cifra de autorizaciones igual al número de vehículos con tarjetas MDCN, válidos para el cálculo de la fórmula del artículo 3.°, y un techo máximo, en todo caso, de cinco autorizaciones. Se añadirán, si procede y existiera remanente, 106 tránsitos por Alemania o Austria si la Empresa no dispusiera de asignación de estos contingentes o lo tuvieran agotado.

Para atender a las posibles solicitudes sucesivas, las Empresas interesadas deberán devolver con anterioridad a los Servicios competentes de la Dirección General de Transportes Terrestres las autorizaciones anteriores, debidamente utilizadas, comprobándose que las autorizaciones de tránsito han servido como tales para llegar a los países de destino u erigen de la mercancía.

En todo caso, las Empresas solicitantes deberán disponer de tránsitos franceses en número suficiente.

2.2.4 En las resoluciones correspondientes a las asignaciones indicadas en los apartados 2.2.1 y 2.2.2 se tendrá en cuenta:

a) El coeficiente Actualizado de posible utilización de la flota.

b) Las inversiones realizadas por Ja Empresa y especialmente en la flota de vehículos definidos en 2.2.2, durante los doce últimos meses a contar desde la fecha de la resolución.

c) La creación de puestos de trabajo, durante los doce últimos meses, a contar desde la fecha de la resolución.

2.2.5 El cupo global de autorizaciones de cada país asignado al conjunto de las Cooperativas para uso de sus Empresas se verá aumensado anualmente en el mismo porcentaje que lo hagan los contingentes bilaterales respectivos.

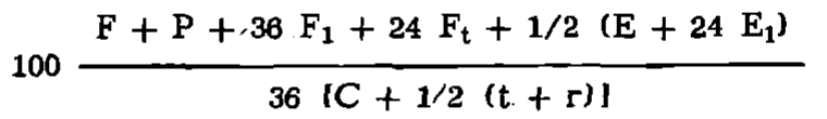
Artículo 3.

El porcentaje de posible utilización de la flota de cada Empresa, cuando en el articulado de esta Orden se requiera, se calculará por la siguiente fórmula:

Imagen: /datos/imagenes/disp/1981/140/13187_15914073_image1.png

Donde:

F = Número de autorizaciones al viaje del contingente francés.

P = Número de autorizaciones al viaje del contingente portugués.

F1 = Número de autorizaciones temporales de Zona Larga (contingente francés).

Ft = Numero de autorizaciones temporales de tránsito (contingente francés).

E = Número de autorizaciones al viaje de los contingentes de Alemania, R. F., Austria, Bélgica, Italia, Países Bajos y Reino Unido.

E1 = Número de autorizaciones temporales de los contingentes anteriores.

C = Número de tarjetas definitivas de transporte MDCN (vehículos rígidos) de carga útil igual o superior a 15 toneladas. No se tendrá en cuenta los vehículos de antigüedad superior a ocho años.

t = Número de tarjetas de transporte definitivas de vehículos tractores cumpliendo las condiciones de 2.2.2 (no se tendrán en cuenta los vehículos de antigüedad superior a ocho años).

r = Número de tarjetas de transporte definitivas para remolques o semirremolques de carga igual o superior a 15 toneladas.

Artículo 4.

Como norma general, los Servicios competentes de la Dirección General de Transportes Terrestres, administrarán a las Empresas mensualmente los cupos asignados de autorizaciones al viaje, por entregas equivalentes a la dozava parte. No obstante, en beneficio del Sector en función de las características de la mercancía a transportar y de la coordinación con otros modos de transporte, la Dirección General de Transportes Terrestres podrá planificar de otro modo la entrega de autorizaciones.

Las Autorizaciones temporales se entregarán con fecha de validez 1 de enero.

Artículo 5.

Las autorizaciones se extenderán a nombre de una Empresa y son intrasferibles, y deberán ser devueltas en el plazo de dos meses a partir de la fecha de su otorgamiento, debidamente cumplimentadas con los datos que la Dirección General de Transportes Terrestres requiera y selladas por las Aduanas cruzados, y, en su caso, con documentación fehaciente de utilización de buques transbordadores.

Artículo 6.

Previa autorización de la Dirección General de Transportes Terrestres, las Empresas podrán intercambiar números equivalentes de autorizaciones de país distinto a cargo de los cupos respectivos que tengan asignados para cada año.

Artículo 7.

La transferencia entre Empresas de Transporte público internacional de mercancías, de autorizaciones de transporte MDON de carga útil igual o mayor de 15 toneladas, previa autorización de la Dirección General de Transportes Terrestres, podrá dar lugar a la transmisión de uno parte proporcional del cupo de autorizaciones de transporte internacional asignado de la Empresa cedente a la Empresa cesionaria con arreglo al procedimiento y en las condiciones siguientes:

a) La instancia motivada y suscrita por las partes interesadas se elevará a la Dirección General de Transportes Terrestres, indicando el detalle de la cesión proyectada de tarjetas de transporte y del número de autorizaciones internacionales que acompañarían a la misma. En todo caso el porcentaje de éste, respecto al cupo asignado a la Empresa cedente, debe Ser equivalente al porcentaje de tarjetas de transporte MDCN y de 15 toneladas de carga útil que pasen de la titularidad de la Empresa cedente a la cesionaria.

b) La Dirección General atenderá preferentemente aquellos expedientes que supongan una mejor estructura y potenciación de las Empresas españolas de transporte internacional de mercancías.

c) De resolverse el expediente favorablemente, la transmisión, provisional o definitiva, de los cupos de autorizaciones internacionales correspondientes tendrá lugar a partir del momento en que las tarjetas MDCN de más de 15 toneladas de carga útil figuren provisional o definitivamente a nombre de la Empresa cesionaria. En todo caso los vehículos adscritos a estas tarjetas no tendrán antigüedad superior a ocho años.

Artículo 8.

Independientemente de las sanciones solicitadas por las autoridades competentes de los distintos acuerdos bilaterales, para aplicar a las Empresas españolas que infrinjan las normas de los convenios bilaterales o la transgresión de los Reglamentos Internacionales de Transporte por Carretera suscritos por España, Ja Dirección General de Transportes Terrestres podrá suspender temporalmente, parcial o totalmente, las entregas de autorizaciones aludidas en el artículo 4.º a las Empresas beneficiarias del artículo 2.º, que incumplan las obligaciones o las normas contenidas en esta Orden ministerial o en los acuerdos suscritos por las Asociaciones y Empresas españolas internacionales de mercancías que sean refrendados por la Administración.

Artículo 9.

La Dirección General de Transportes Terrestres vigilará la utilización de los cupos asignados a autorizaciones, y podrá revisar a lo largo del año los cupos remanentes de autorizaciones respecto a las que se prevea no van a poder ser consumidas por las Empresas beneficiarías, dado el ritmo de su utilización y la capacidad de utilización de la flota disponible, previa audiencia de la Empresa afectada.

Artículo 10.

Las Empresas a que se refiere el apartado 2.2.2, párrafo tercero, y que deseen acceder al tráfico de algunos de esos países, deberán solicitarlo ante la Dirección General de Transportes Terrestres antes de 30 de junio de cada año.

En cualquier caso, el número de autorizaciones que pueda asignarse a cada Empresa deberá compaginarse con las disponibilidades de tránsito que la misma tenga en la fecha de la resolución y de los respectivos remanentes.

Artículo 11.

De las autorizaciones multilaterales de la CEMT ordenadas por su nivel de utilización durante los nueve primeros meses del año anterior en tráfico multilateral, medido en toneladas/kilómetro, las veintidós primeras se otorgarán nuevamente a las Empresas titulares durante el año precedente.

Las restantes se otorgarán a las Empresas, no titulares de están autorizaciones multilaterales, siguientes en la clasificación general realizada por la Dirección General de Transportes Terrestres (Sección de Transportes Internacionales), por el número de viajes en carga realizados en tráfico internacional de mercancías, siempre que las mismos hayan hecho por lo menos 1.000 viajes cargados el año precedente.

Artículo 12.

La Dirección den eral podrá autorizar contratos de colaboración entre Empresas de transporte internacional con arreglo a las normas contenidas en la Resolución de 26 de enero de 1981, publicada en el «Boletín Oficial del Estado» de 3 de febrero de 1968, o a las que en el futuro puedan establecerse.

Artículo 13.

La contratación de un transporte internacional por carretera, con origen en el territorio español o en tránsito por el mismo, deberá realizarse bien directamente con una Empresa de transporte de servicio público que disponga de vehículos debidamente autorizados, o a través de Una Agencia de transporte mediante el documento CMR.

Artículo 14.

Se faculta a la Dirección General de Transportes Terrestres para dictar las instrucciones que, en su caso, resulten precisas para la ejecución y desarrollo de la presente Orden y sin perjuicio de lo en ella establecido, para autorizar excepcionalmente aquellos casos que puedan presentarse de transporte internacional de mercancías de interés público, que no puedan ser resueltos por las Empresas españolas de transporte internacional registradas como tales.

Disposición final primera.

La Dirección General de Transportes Terrestres hará pública anualmente la relación de Empresas españolas autorizadas a efectuar tráfico internacional de mercancías por carretera, especificando el número de vehículos de cada Empresa, su capacidad de carga y el número de autorizaciones otorgadas, así como el coeficiente globalizado de posible utilización de la flota total de dichos transportistas, calculado con arreglo a la fórmula del artículo 3.º de esta Orden.

Disposición final segunda.

Sólo las Empresas que agoten sus cupos de autorizaciones asignadas para un año, para documentar viajes realizados con vehículos de su titularidad y también aquellas otras Empresas que antes de 1 de diciembre indiquen a la Dirección General de Transportes Terrestres el número de autorizaciones que no van a retirar en lo que queda de año, podrán disponer para el Siguiente del mismo número de autorizaciones que tuvieron asignadas para el precedente, siempre, por supuesto, que los contingentes bilaterales se mantengan, sus coeficientes de posible utilización de la flota permanezcan adecuados, y que no hayan sido objeto de sanción en contrario.

Disposición final tercera.

Las Resoluciones de la Dirección General de Transportes Terrestres en desarrollo de esta Orden ministerial tendrán especialmente en cuenta los inversiones que se realicen en vehículos nuevos y la creación de puestos de trabajo, criterios que asimismo serán considerados en años sucesivos.

Lo que comunico a V. I.

Dios guarde a V. I. muchos años.

Madrid, 1 de junio de 1981.

ALVAREZ ALVAREZ

Ilmo. Sr. Director general de Transportes Terrestres.

ANÁLISIS

  • Rango: Orden
  • Fecha de disposición: 01/06/1981
  • Fecha de publicación: 12/06/1981
  • Fecha de derogación: 03/08/1983
Referencias posteriores

Criterio de ordenación:

Referencias anteriores
Materias
  • Mercancías
  • Transportes terrestres

subir

Agència Estatal Butlletí Oficial de l'Estat

Avda. de Manoteras, 54 - 28050 Madrid