Está Vd. en

Documento BOE-A-2000-24222

Orden de 12 de diciembre de 2000 por la que se definen el ámbito de aplicación, las condiciones técnicas mínimas de cultivo, rendimientos, precios y fechas de suscripción en relación con el seguro de rendimientos ante condiciones climáticas adversas, en la producción de uva de vinificación (cosecha 2001), comprendido en los Planes Anuales de Seguros Agrarios Combinados.

Publicado en:
«BOE» núm. 311, de 28 de diciembre de 2000, páginas 46364 a 46393 (30 págs.)
Sección:
III. Otras disposiciones
Departamento:
Ministerio de Agricultura, Pesca y Alimentación
Referencia:
BOE-A-2000-24222

TEXTO ORIGINAL

De conformidad con lo establecido en la Ley 87/1978, de 28 de diciembre, de Seguros Agrarios Combinados, y lo indicado en el Reglamento que la desarrolla, en relación con las funciones encomendadas a la Entidad Estatal de Seguros Agrarios (en adelante ENESA), en lo que se refiere al Seguro de Rendimientos, ante condiciones climáticas adversas, en la producción de Uva de Vinificación (cosecha 2001) y a propuesta de ENESA, dispongo:

Artículo 1. Ámbito de aplicación-definiciones.

El ámbito de aplicación del Seguro de Rendimientos abarcará todas las parcelas tanto de secano como de regadío en plantación regular, correspondientes a explotaciones declaradas como asegurables por el Ministerio de Agricultura, Pesca y Alimentación, de acuerdo a los criterios que se establecen en el Anejo I, y que estén inscritas en el Registro Vitícola, regularizadas o solicitada su regularización, conforme a lo previsto en la normativa vigente.

El ámbito de aplicación del Seguro complementario abarcará todas las parcelas acogidas al Seguro de Rendimientos y que, en el momento de su contratación, tengan unas esperanzas reales de producción superiores a las declaradas en el citado Seguro.

Para el riesgo de marchitez fisiológica por parcelas en la variedad Bobal, el ámbito de aplicación se extiende a las siguientes provincias, comarcas y términos municipales:

Provincia: Albacete. Comarcas: Mancha y Manchuela.

Provincia: Cuenca. Comarcas: Serranía Baja, Manchuela y Mancha Baja; Serranía Media: Términos municipales de: Enguidanos, La Pesquera y Paracuellos.

Provincia: Valencia. Comarcas: Alto Turia, Requena-Utiel, Hoya de Buñol, Valle de Ayora.

Se entiende, a los efectos del Seguro, por:

Explotación asegurable: Conjunto de parcelas inscritas en el Registro Vitícola a nombre del titular de la explotación, regularizadas o solicitada su regularización a la fecha de la contratación del seguro, tanto de secano, como de regadío, situadas en el ámbito de aplicación del seguro y que figura como asegurable en la Base de Datos que a ese fin ha elaborado.

Titular de la Declaración de Seguro: A la persona física o jurídica que figura como titular en el Registro Vitícola y realiza la contratación del seguro.

Plantación regular: Superficie de Uva de Vinificación sometida a unas técnicas de cultivo adecuadas, concordantes con las que tradicionalmente se realicen en la zona y que tiendan a conseguir las producciones potenciales que permitan las condiciones ambientales de la zona en que se ubique.

Parcela: Porción de terreno del mismo cultivo (secano o regadío) y variedad, que constituyendo una superficie continua, figura inscrita en el Registro Vitícola a nombre del titular de la explotación, encontrándose en su caso, ya regularizada o solicitada su regularización.

Parcela de regadío: A efectos del Seguro, se considera parcela de regadío, aquella que teniendo infraestructura de riego adecuada, cumpla alguna de las siguientes condiciones:

a) Se encuentre en una zona regable definida por la Confederación Hidrográfica del ámbito de la parcela.

b) Disponga de la correspondiente concesión de agua o pozo legalizado para el riego por la Confederación Hidrográfica competente.

En este caso se considerará suficiente si existe solicitud de concesión de agua o de legalización de pozo para riego al citado Organismo.

c) Pueda efectuar el riego con agua embalsada procedente de escorrentía, disponiendo de al menos una dotación de 2.000 m3/Ha por campaña agrícola.

Estado fenológico «B»: Yemas de algodón: A estos efectos se considera que una yema se encuentra en dicho estado cuando se produce la separación de las escamas, haciéndose bien visible a simple vista la protección algodonosa parduzca.

Estado fenológico «C»: Punta verde: Se considera que la yema ha alcanzado este estado, cuando continúa hinchándose y alargándose hasta presentar la punta verde que es el brote.

Estado fenológico «F»: Racimos visibles: Cuando al menos el 50 por 100 de las vides de la parcela asegurada, alcancen o sobrepasen el estado fenológico «F». Se considera que una vid o cepa ha alcanzado o sobrepasado dicho estado, cuando al menos el 50 por 100 de las yemas o brotes de la misma se encuentren en el estado «F» o posteriores. A estos efectos una yema o brote se encuentra en dicho estado cuando en el extremo del brote aparecen los racimos rudimentarios netamente visibles y éste tiene de 4 a 6 hojas extendidas o abiertas.

Estado fenológico «I»: Floración o cierna: Se considera que una inflorescencia está en dicho estado cuando en sus flores, la corola, en forma de capuchón, se separa de su base y es realzada hacia arriba por los estambres, permaneciendo el ovario desnudo, disponiéndose los órganos masculinos alrededor de él.

Recolección o vendimia: Momento en que los racimos son separados de la vid.

Artículo 2. Producciones asegurables.

El Seguro de Rendimientos podrá suscribirse bajo una de las dos modalidades, A y B, cuyas características son:

Modalidad A: Cobertura del riesgo de Helada, Pedrisco y, en su caso, Madurez fisiológica, por parcela, y de las restantes adversidades climáticas, por explotación.

Modalidad B: Cobertura del riesgo de Pedrisco, por parcela, y de las restantes adversidades climáticas, incluida la Marchitez fisiológica, en su caso, por explotación

En relación con ambas modalidades, son producciones asegurables las correspondientes a todas las variedades de uvas de vinificación. No son producciones asegurables las obtenidas de:

Parcelas no incluidas en el Registro Vitícola.

Parcelas incluidas en el Registro Vitícola no regularizadas, ni solicitada regularización.

Plantaciones con edades inferiores a las relacionadas a continuación para secano y regadío, a contar desde el año de plantación de la parcela:

  Tipo de plantación
Con barbados Con plantas injertadas
Secano. 4 3
Regadío. 3 2

Parcelas que se encuentren en estado de abandono.

Parcelas destinadas a experimentación o ensayo, tanto de material vegetal como de técnicas o prácticas culturales.

Dichas producciones quedarán excluidas de la cobertura de este Seguro, aun cuando por error hayan podido ser incluidas por el Tomador o el Asegurado en la Declaración de Seguro.

Artículo 3. Condiciones técnicas mínimas de cultivo.

Para el cultivo cuya producción es objeto del Seguro, deberán cumplirse las siguientes condiciones técnicas mínimas de cultivo:

a) Mantenimiento del suelo en adecuadas condiciones, por laboreo tradicional o por otros métodos tales como encespedado, mulchíng o acolchado, aplicación de herbicidas o por la práctica del «no laboreo».

b) Realización de podas adecuadas todos los años.

c) Abonado de acuerdo con las características del terreno y las necesidades del cultivo.

d) Tratamientos fitosanitarios en la forma y número necesarios para el mantenimiento del cultivo en un estado sanitario aceptable.

e) Riegos oportunos y suficientes en plantaciones de regadío, salvo causa de fuerza mayor. Se entenderá que se presenta esta situación cuando la Autoridad de la Cuenca Hidrográfica correspondiente establezca oficialmente restricciones en las dotaciones de agua para riego.

f) Cumplimiento de cuantas normas sean dictadas, tanto sobre lucha antiparasitaria y tratamientos integrales como sobre medidas culturales o preventivas de carácter fitosanitario.

En caso de deficiencia en el cumplimiento de las condiciones técnicas mínimas de cultivo, el Asegurador podrá reducir la indemnización en proporción a la importancia de los daños derivados de la misma y el grado de culpa del Asegurado.

Además de lo anteriormente indicado, y con carácter general, cualquier otra práctica cultural que se utilice, deberá realizarse según lo acostumbrado en cada comarca por el buen quehacer del agricultor, todo ello en concordancia con la producción fijada en la Declaración de Seguro.

Artículo 4. Rendimiento asegurable.

El Asegurado fijará en la Declaración de Seguro la producción unitaria, expresada en kilogramos de uva correspondiente a cada una de las parcelas que componen su explotación, teniendo en cuenta los siguientes criterios, según se trate del Seguro de Rendimientos o del Complementario.

I. Seguro de rendimientos: El asegurado fijará en la Declaración de Seguro el rendimiento unitario en cada parcela, teniendo en cuenta los rendimientos obtenidos en años anteriores, de tal modo que la media de los rendimientos declarados en cada parcela, ponderados con las superficies declaradas en cada una de ellas, no supere el rendimiento máximo que le ha sido asignado por ENESA para la explotación, según el tipo de cultivo asegurado (blancas secano, blancas regadío, tintas secano y tintas regadío) en cada término municipal.

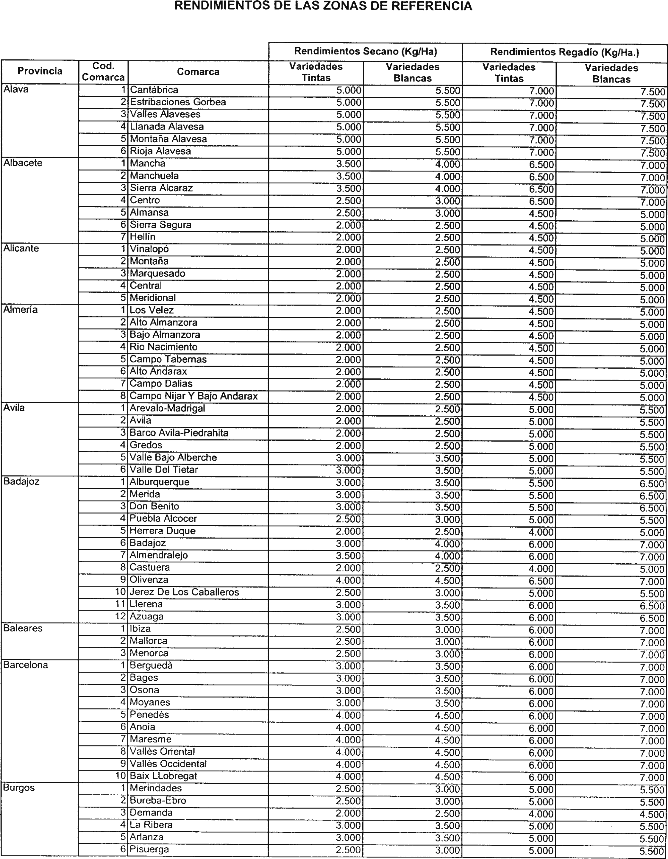
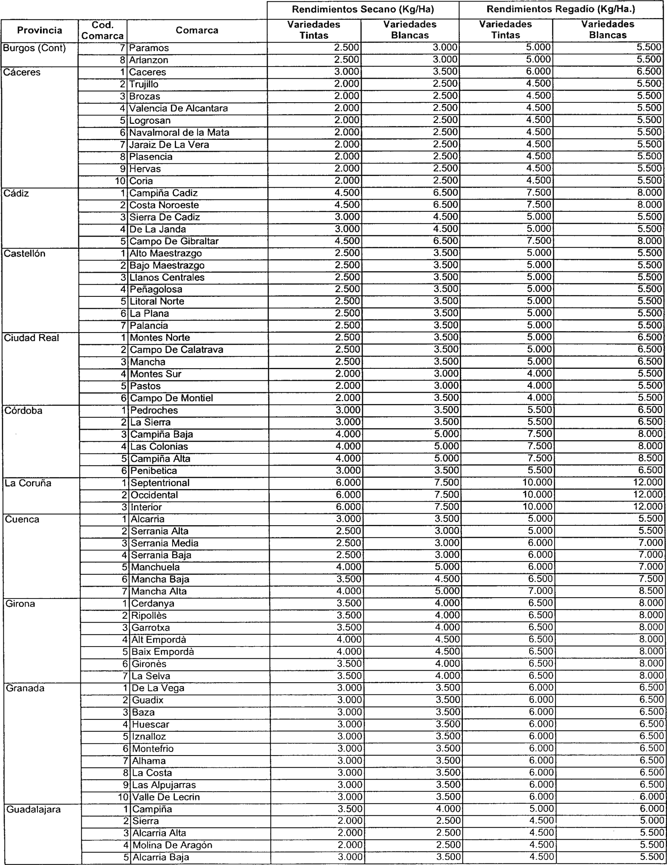
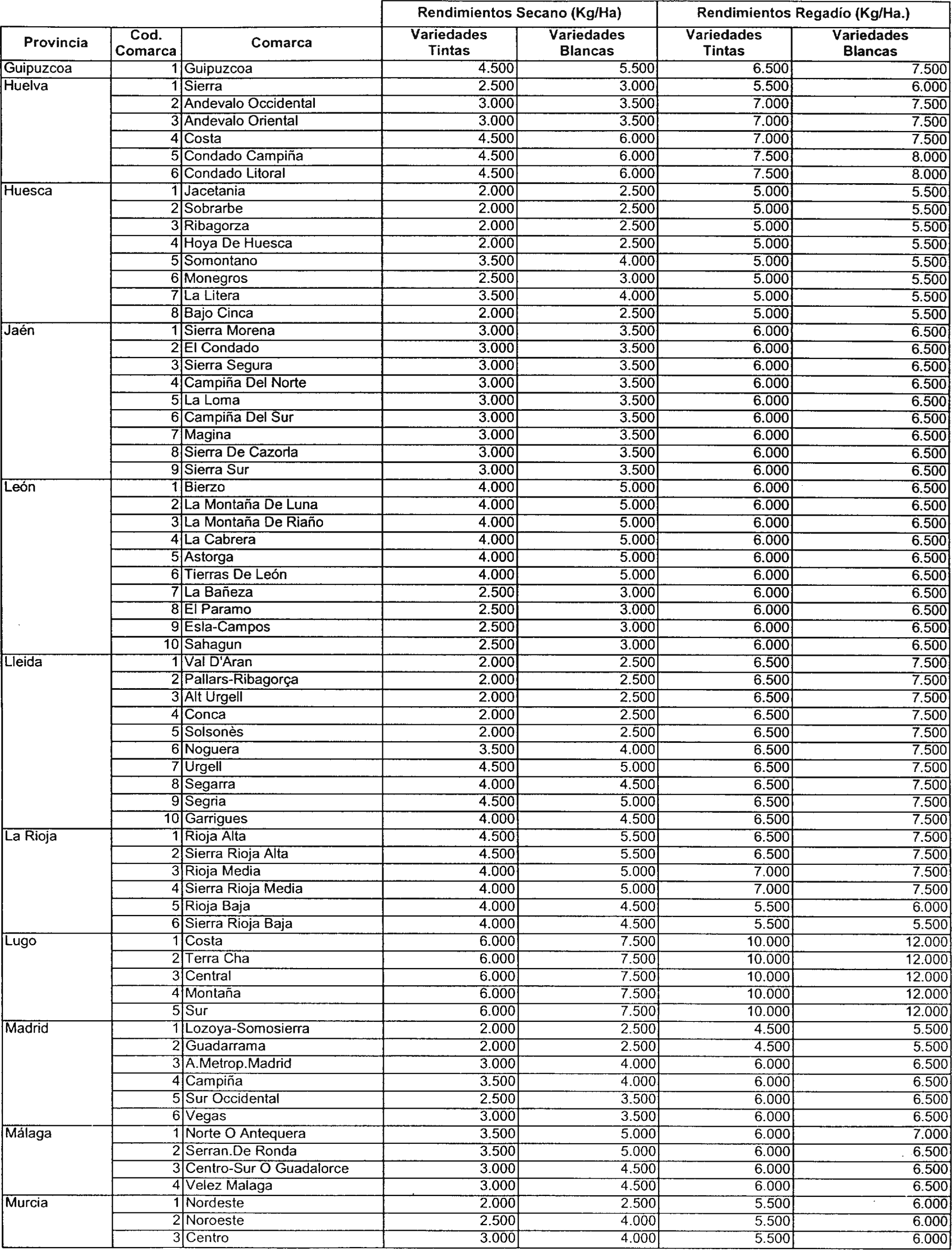
Dicho rendimiento máximo se obtendrá multiplicando el índice de rendimiento, obtenido por el procedimiento que se describe en el Anejo I a esta Orden, por los rendimientos de las zonas de referencia que figuran en el Anejo II a la misma.

El Índice de Rendimiento de cada explotación, figura en la Base de Datos que estará expuesta desde el mismo día de la entrada en vigor de la presente Orden en el Tablón de Anuncios de ENESA, sita en la calle Miguel Ángel, número 23, quinta planta, 28010 Madrid, pudiendo ser consultada igualmente en la página que el Ministerio de Agricultura, Pesca y Alimentación dispone en Internet, y cuya dirección es www.mapya.es.

I.1 Solicitudes de cambio de titularidad. Aquellos agricultores titulares de explotaciones asegurables, que no figuren en la Base de Datos de Explotaciones Asegurables por haber cambiado su explotación de titular en los últimos años, podrán solicitar el cambio de titular.

Para ello deberán:

1. Formalizar la Declaración de Seguro a nombre del antiguo titular de la explotación (el que figura en la Base de Datos de Explotaciones Asegurables).

2. Cursar la solicitud, en el impreso establecido al efecto, y en el que se deberá consignar el nombre o la razón social del solicitante, su NIF o CIF, su domicilio, el código postal y el teléfono, en su caso. Dicha solicitud deberá realizarse antes de la finalización del período de suscripción y únicamente se atenderán aquellas que vayan acompañadas de, al menos, la siguiente documentación:

Copia del DNI/CIF del antiguo titular o titulares y del nuevo titular de la explotación.

Certificación de la Consejería o Departamento de Agricultura competente en la gestión del Registro Vitícola de que las parcelas de viñedo de la explotación objeto de aseguramiento figuran a nombre del nuevo titular o está en trámite su inscripción.

Además se podrá adjuntar cualquier otra documentación que se considere oportuna para justificar el cambio de titularidad solicitado.

I.2 Solicitudes de revisión del índice de rendimiento. Los agricultores que consideren que el índice de rendimiento asignados a su explotación no se ajusta a la realidad productiva de la misma, a consecuencia de posibles errores en su serie productiva, podrán solicitar un incremento de dichos rendimientos máximos. Para ello deberán:

1. Formalizar la Declaración de Seguro con el rendimiento asignado (el que corresponda a los índices que figuran en la Base de Datos de Explotaciones Asegurables).

2. Cursar la solicitud de modificación de rendimientos, en el impreso establecido al efecto, y en el que se deberá consignar el nombre o la razón social del solicitante, su NIF o CIF, su domicilio, el código postal y el teléfono, en su caso.

Dicha solicitud deberá cursarse durante el periodo de contratación del seguro y únicamente se atenderán aquellas solicitudes que vayan acompañadas de, al menos, la siguiente documentación:

Copia del DNI/CIF del titular de la explotación.

Copia de las pólizas de seguro de los años, dentro de la serie 89-99, en los que se considere que los datos productivos son erróneos

Además, se podrá adjuntar cualquier otra documentación que se considere oportuna para justificar el aumento o revisión del rendimiento solicitado.

I.3 Resolución y comunicación de las resoluciones. La resolución de las solicitudes, que se ajustará a los criterios generales que se contienen en el Anejo I de esta Orden, y en su caso, a las instrucciones aclaratorias y de interpretación que ENESA dicte al efecto, se comunicará a los asegurados interesados en los 45 días siguientes a la finalización del periodo de suscripción.

Si la solicitud de cambio de titularidad es aceptada, por Agroseguro se procederá a la actualización de la póliza con los datos del nuevo titular.

Si se rechaza el cambio de titular solicitado, por Agroseguro se procederá a anular la Declaración de Seguro formalizada inicialmente, extornando la totalidad de la prima de coste.

Si la solicitud de incremento del índice de rendimiento es atendida favorablemente, ya sea total o parcialmente, por Agroseguro se procederá a la actualización de la Declaración del Seguro con los nuevos rendimientos resultantes de aplicar el nuevo índice de rendimiento de la explotación a los rendimientos zonales de referencia y a la regularización del correspondiente recibo de prima, salvo renuncia expresa del Asegurado recibida en Agroseguro en el plazo de 20 días desde la comunicación de la resolución. Si se rechaza el incremento del índice de rendimiento, tendrá validez la Declaración de Seguro formalizada inicialmente, salvo renuncia expresa del Asegurado recibida en Agroseguro en el plazo de 20 días desde la comunicación de la resolución.

I.4 Ajustes posteriores de rendimientos. Si los rendimientos asegurados superasen los correspondientes al índice de rendimiento asignado, aquéllos quedarán automáticamente corregidos de manera proporcional en todas las parcelas de la explotación, teniéndose en cuenta en la emisión del recibo de la prima.

Si durante la vigencia de la Declaración de Seguro se detectase que el rendimiento asignado a la explotación es superior al potencial productivo de la misma, ENESA realizará el análisis y control del rendimiento asignado que, en caso de que se compruebe la citada falta de adecuación, podrá dar lugar a la modificación del citado rendimiento.

II. Seguro complementario. Quedará de libre fijación por el Asegurado el rendimiento a consignar, para cada parcela, en la Declaración de Seguro, debiendo tener en cuenta que la suma de la producción complementaria más la producción declarada en el Seguro de Rendimientos deberá ajustarse a las esperanzas reales de producción.

Si Agroseguro no estuviera de acuerdo con la producción declarada en alguna/s parcela/s se corregirá por acuerdo amistoso entre las partes. De no producirse dicho acuerdo, corresponderá al Asegurado demostrar los rendimientos.

Artículo 5. Precios unitarios.

Los precios unitarios a aplicar para las distintas variedades y únicamente a efectos del Seguro, pago de primas e importe de indemnizaciones en su caso, serán fijados libremente por el Asegurado entre los umbrales, máximos y mínimos de precios, que se establecen en el Anejo III según ámbito y variedades.

Excepcionalmente, ENESA podrá proceder a la modificación de los límites de precios citados, con anterioridad al inicio del período de suscripción, dando comunicación de la misma a Agroseguro.

Artículo 6. Período de garantía.

Teniendo en cuenta las dos modalidades, A y B, de aseguramiento se establecen los inicios y final de garantías siguientes: Inicio de garantías:

Helada (Modalidad A) y Pedrisco (Modalidad A y B): Estado fenológico «B» (yema de algodón) por parcela.

Marchitez fisiológica en la variedad Bobal: Estado fenológico «F» (racimos visibles) por parcela, en las provincias, comarcas y términos municipales que se señalan en el artículo 1 de la presente Orden.

Restantes adversidades climáticas: Se cubrirán en ambas modalidades por explotación, con la toma de efecto, una vez transcurrido el período de carencia.

Se incluyen como adversidades climáticas la Helada, la Marchitez fisiológica y el Pedrisco (Modalidad A) y el Pedrisco (Modalidad B), con anterioridad al inicio de garantías a nivel de parcela.

Final de garantías: El período de garantías del seguro finalizará, en ambas modalidades, A y B, y sus complementarios, en la fecha más temprana de las relacionadas a continuación:

En el momento de la vendimia.

Fecha en la que se sobrepase la madurez comercial del fruto.

Fecha límite que para cada provincia figura a continuación:

El 31 de octubre, para las provincias de: Alicante, Albacete, Almería, Badajoz, Baleares, Cáceres, Cádiz, Ciudad Real, Córdoba, La Coruña, Cuenca, Gerona, Granada, Huelva, Jaén, Las Palmas, Lugo, Málaga, Murcia, Orense, Oviedo, Pontevedra, Santa Cruz de Tenerife, Sevilla, Toledo, Valencia y Vizcaya.

El 10 de noviembre, para las provincias de Barcelona, Burgos, Castellón, Guadalajara, Guipúzcoa, Huesca, León, Lérida, Madrid, Navarra, Palencia, La Rioja, Salamanca, Soria, Tarragona, Teruel, Valladolid, Zamora y Zaragoza.

El 30 de noviembre, para las provincias de Alava, Ávila, Santander y Segovia.

Para el riesgo de Marchitez fisiológica en la modalidad «A» en la variedad Bobal, el período de garantías a nivel de parcela, finaliza cuando la inflorescencia alcanza el Estado Fenológico «I» (floración o cierna), quedando por tanto excluidos de las garantías, los racimos cuajados o en estados posteriores. En todo caso, la tasación definitiva se realizará antes de la recolección.

Artículo 7. Período de suscripción.

Los períodos de suscripción del Seguro serán los siguientes:

I. Seguro de rendimientos: Inicio de suscripción: A la entrada en vigor de la presente Orden.

Finalización de la suscripción: 15 de febrero de 2001.

II. Seguro complementario:

  Modalidad Almería, Cádiz, Córdoba, Huelva, Las Palmas, Málaga, Tenerife y Sevilla Resto del ámbito de aplicación
A Inicio período suscripción. A la entrada en vigor de esta Orden.
Fin período de suscripción. 1 marzo. 25 de marzo
B Inicio período suscripción. A la entrada en vigor de esta Orden.
Fin período de suscripción. 15 de abril. 30 de abril

Excepcionalmente, ENESA podrá proceder a la modificación del período de suscripción, si las circunstancias lo aconsejasen, dándose comunicación de la misma a Agroseguro.

La entrada en vigor se inicia a las veinticuatro horas del día en que se pague la prima por el Tomador del Seguro y siempre que previa o simultáneamente se haya suscrito la Declaración de Seguro.

Carecerá de validez y no surtirá efecto alguno la declaración cuya prima no haya sido pagada por el Tomador del Seguro dentro de dicho plazo. Para aquellas Declaraciones de Seguro que se suscriban el último día del período de suscripción del Seguro, se considerará como pago válido el realizado en el siguiente día hábil al de finalización del plazo de suscripción.

Artículo 8. Clases de cultivo.

A efectos de lo establecido en el artículo 4 del Reglamento para la aplicación de la Ley 87/1978, sobre Seguros Agrarios Combinados, aprobado por Real Decreto 2329/1979, de 14 de septiembre, y de acuerdo con lo dispuesto en el Plan Anual de Seguros Agrarios Combinados, se consideran clase única todas las variedades de uva para vinificación.

En consecuencia el agricultor que suscriba este Seguro deberá asegurar la totalidad de las producciones asegurables que posea dentro del ámbito de aplicación del Seguro, en una de las modalidades del mismo, que se señalan en el artículo 2 de la presente Orden.

Disposición final primera.

Por ENESA, y dentro del ámbito de sus atribuciones, se adoptarán cuantas medidas sean necesarias para el cumplimiento de lo dispuesto en la presente Orden.

Disposición final segunda.

La presente Orden entrará en vigor el día siguiente al de su publicación en el «Boletín Oficial del Estado».

Madrid, 12 de diciembre de 2000.

ARIAS CAÑETE

Ilmo. Sr. Presidente de la Entidad Estatal de Seguros Agrarios.

ANEJO I
Procedimiento de cálculo de los rendimientos máximos asegurables

1. Información de base. El estudio de los rendimientos máximos asegurables de las explotaciones y de sus niveles de riesgo se ha basado en los datos contenidos en la serie histórica del Seguro Combinado de Uva de Vinificación.

La base inicial contenía información de las campañas comprendidas entre 1989 y 1999, ambas inclusive. Los datos incluidos en dicha base de datos, determinados para cada productor y campaña, por ámbito territorial y por cultivo (uvas tintas y blancas cultivadas en secano y regadío), son los siguientes:

1. Superficie asegurada.

2. Producción asegurada.

3. Producción real esperada en helada.

4. Producción real final incluida la producción perdida por siniestros de pedrisco.

Dado que sólo se disponía de información diferenciada entre parcelas de secano y regadío para las campañas 1998 y 1999, se estableció el criterio de diferenciación entre ambas.

A este fin se han considerado como parcelas de regadío, en los años de la serie de los que se dispone de información, todas aquellas cuyo rendimiento calculado fuera mayor a la media de secano y regadío de los años de los que se poseía información diferenciada; es decir, 1998 y 1999, considerándose parcelas de secano aquellas en las que el rendimiento fuera inferior a dicha media.

En la base de datos empleada, se han incluido aquellos productores de los que se posee, al menos, la siguiente información:

Productores asegurados en las tres últimas campañas (1997, 1998 y 1999).

Productores asegurados en las dos últimas campañas (1998 y 1999) y en otras dos más del período 1989-1997, ambos inclusive.

Productores asegurados en cinco o más campañas del período 1989-1999, ambos inclusive.

Con este criterio el total de productores asegurables, incluidos en la base de datos, ha sido de 42.024.

Considerando que los rendimientos en secano y en regadío son distintos y que también lo son los correspondientes a las variedades blancas y tintas, ha sido necesario clasificar las explotaciones en función de su nivel productivo, en cada caso.

Teniendo en cuenta esta información, la clasificación de la explotación viene dada por los distintos índices que representan la relación que tiene cada una de las explotaciones incluidas en la base de datos, respecto de los rendimientos de referencia y de las tarifas de referencia calculadas a partir de la información que se tiene del Seguro Combinado de Uva de Vinificación.

Los índices globales analizados (totalizando uvas blancas y tintas, cultivadas en parcelas de secano y regadío) han sido los siguientes.

Índice de producción asegurada, deducido de la relación entre la producción asegurada y la superficie asegurada (I.P.A.).

Índice de producción obtenida, deducido de la relación entre la producción final, considerando, en su caso, las pérdidas por daños de pedrisco, y la superficie asegurada (I.P.O.).

Índice de producción esperada, deducido de la relación entre la producción real final y la superficie asegurada.

Índice de producción de referencia, deducido de la relación entre ésta y la superficie asegurada.

2. Cálculo de los índices de rendimientos máximos asegurables. El cálculo de los índices de rendimientos máximos asegurables se ha realizado a partir de los índices de producción media obtenida por cada productor a lo largo de una serie de once años de información (Serie 1989-1999)

Para hallar el índice de producción obtenida ha sido preciso, en algunos casos, completar la serie exigida, teniendo que reconstruir las que estuvieran incompletas.

La reconstrucción de las series incompletas se ha efectuado asignando un índice de producción a los años sin información. Este índice es el de su ámbito de referencia corregido por la relación obtenida entre el índice de producción medio de los años de los que se tiene información (resultado del cociente entre el índice de producción obtenido y el asegurado) y el índice zonal correspondiente a los mismos años. Este cociente incluye, además, un factor de corrección establecido en función del número de años de información.

Una vez completada la serie, se ha procedido al cálculo del índice de rendimiento. Este índice se ha obtenido como cociente entre el sumatorio de los índices de producción obtenida (I.P.O.) a lo largo de la serie analizada y el sumatorio de los índices de producción asegurada en la misma serie (I.P.A.).

3. Cálculo de los índices de niveles de riesgo. El nivel de riesgo de cada uno de los productores, se ha obtenido calculando los porcentajes de pérdidas a partir de la información contenida en la base de datos, considerando las garantías establecidas en cada una de las dos Modalidades, de aseguramiento, A y B.

Este porcentaje de pérdidas por resto de riesgos, se ha obtenido en función de la relación existente entre las pérdidas indemnizables habidas a lo largo de su serie y los índices de producción asegurada.

No obstante, dado que la serie estudiada incluye datos referidos a campañas en las que se registraron pérdidas excepcionales, debido al efecto de la sequía, se ha analizado su período de retorno y su impacto. Ese estudio se ha realizado a nivel de provincia.

Para ello se han analizado los resultados de producción recogidos en el Anuario de Estadística editado por el Ministerio de Agricultura, Pesca y Alimentación correspondientes a los años comprendidos entre 1940 y 1996, ambos inclusive.

Analizado el impacto de estas pérdidas a nivel provincial, se ha aplicado un coeficiente corrector del 48 por 100, en los daños correspondientes a las campañas 1994 y 1995, a las siguientes provincias y Comunidades Autónomas:

Castellón, Córdoba, Granada, Jaén, Málaga, Teruel, Valladolid, Zaragoza y Comunidades Autónomas de Castilla-León, Castilla-La Mancha, Madrid y Extremadura.

El cálculo de índices de riesgo se ha efectuado a partir de la relación del total de las tasas obtenidas por resto de riesgos a nivel individual, más las primas actualmente vigentes en la Opción «A» del Seguro Combinado de Uva de Vinificación para los riesgos de Pedrisco, Helada, y Marchitez fisiológica, en su caso, calculadas éstas como media ponderada a nivel de comarca, respecto a la tasa de referencia zonal.

Los productores incluidos en la base de datos se han agrupado, en cuanto a los índices de rendimiento, en los siguientes niveles:

Nivel Índice de rendimiento
1 0,75
2 1,00
3 1,25
4 1,50
5 1,75
6 2,00
7 2,25
8 2,50
9 2,75
10 3,00

Estos índices de rendimiento son de aplicación sobre los rendimientos máximos asegurables en cada uno de los cultivos (blancas y tintas; secano y regadío).

4. Validación de los índices de rendimientos y de niveles de riesgo. Obtenidos los índices de rendimientos y de niveles de riesgo, se han establecido las reglas de validación que deben cumplir los mismos a fin de mantener la coherencia interna tanto entre las Modalidades establecidas en el Seguro de Rendimientos, como entre éstas y la Opción «A» del Seguro Combinado de Uva de Vinificación.

De acuerdo con las garantías de cada Línea de Seguro, esta relación establece que la prima de la Modalidad «B» del Seguro de Rendimientos tiene que ser inferior a la prima del Seguro Combinado de Uva, la cual, a su vez, debe ser inferior a la prima establecida para la Modalidad «A» del Seguro de Rendimientos.

Además, esta relación tiene que mantener, al nivel medio comarcal, las siguientes condiciones:

Las primas establecidas para la Modalidad «A» del Seguro de Rendimientos no pueden ser inferiores al 105 por 100, ni superiores al 112 por 100, de las establecidas actualmente para la Opción «A», del Seguro Combinado de Uva de Vinificación.

Las primas establecidas para la Modalidad «B» del Seguro de Rendimientos no pueden ser inferiores al 63 por 100, ni superiores al 83 por 100, de las establecidas actualmente para la Opción «A», del Seguro Combinado de Uva de Vinificación.

Aplicando estas reglas a la totalidad de las explotaciones asegurables, se han corregido los índices de rendimiento y los de riesgo de aquellas que no las cumplían, consiguiéndose de esta forma la armonización de las primas para todas las opciones de aseguramiento de la uva de vinificación.

ANEJO II

Imagen: /datos/imagenes/disp/2000/311/24222_11082909_image1.png

Imagen: /datos/imagenes/disp/2000/311/24222_11082909_image2.png

Imagen: /datos/imagenes/disp/2000/311/24222_11082909_image3.png

Imagen: /datos/imagenes/disp/2000/311/24222_11082909_image4.png

Imagen: /datos/imagenes/disp/2000/311/24222_11082909_image5.png

ANEJO III

Imagen: /datos/imagenes/disp/2000/311/24222_11082909_image6.png

Imagen: /datos/imagenes/disp/2000/311/24222_11082909_image7.png

Imagen: /datos/imagenes/disp/2000/311/24222_11082909_image8.png

Imagen: /datos/imagenes/disp/2000/311/24222_11082909_image9.png

Imagen: /datos/imagenes/disp/2000/311/24222_11082909_image10.png

Imagen: /datos/imagenes/disp/2000/311/24222_11082909_image11.png

Imagen: /datos/imagenes/disp/2000/311/24222_11082909_image12.png

Imagen: /datos/imagenes/disp/2000/311/24222_11082909_image13.png

Imagen: /datos/imagenes/disp/2000/311/24222_11082909_image14.png

Imagen: /datos/imagenes/disp/2000/311/24222_11082909_image15.png

Imagen: /datos/imagenes/disp/2000/311/24222_11082909_image16.png

Imagen: /datos/imagenes/disp/2000/311/24222_11082909_image17.png

Imagen: /datos/imagenes/disp/2000/311/24222_11082909_image18.png

Imagen: /datos/imagenes/disp/2000/311/24222_11082909_image19.png

Imagen: /datos/imagenes/disp/2000/311/24222_11082909_image20.png

Imagen: /datos/imagenes/disp/2000/311/24222_11082909_image21.png

Imagen: /datos/imagenes/disp/2000/311/24222_11082909_image22.png

Imagen: /datos/imagenes/disp/2000/311/24222_11082909_image23.png

Imagen: /datos/imagenes/disp/2000/311/24222_11082909_image24.png

Imagen: /datos/imagenes/disp/2000/311/24222_11082909_image25.png

subir

Agencia Estatal Boletín Oficial del Estado

Avda. de Manoteras, 54 - 28050 Madrid