Está Vd. en

Documento BOE-A-2003-7585

Orden APU/856/2003, de 1 de abril de 2003, por la que se convocan pruebas selectivas para cubrir plazas de personal laboral fijo en la categoría de Oficial de Servicios Generales, mediante contratación laboral fija, por el turno de promoción interna.

Publicado en:
«BOE» núm. 87, de 11 de abril de 2003, páginas 14437 a 14444 (8 págs.)
Sección:
II. Autoridades y personal - B. Oposiciones y concursos
Departamento:
Ministerio de Administraciones Públicas
Referencia:
BOE-A-2003-7585

TEXTO ORIGINAL

En cumplimiento de lo dispuesto en los artículos 29 y 31 del Convenio Único para el personal laboral de la Administración del Estado, el Acuerdo de la CIVEA de 7 de noviembre de 2000, relativa a la cobertura de puestos en el ámbito del convenio único, y de conformidad con los artículos 13.7 de la Ley 6/1997, de 14 de abril, de Organización y Funcionamiento de la Administración General del Estado y 56 de la Ley 24/2001, de 27 de diciembre, de Medidas Fiscales, Administrativas y de Orden Social,

Este Ministerio, en uso de las competencias que le están atribuidas, ha resuelto:

Primero.

Convocar proceso selectivo para cubrir, por el turno de promoción interna, las plazas que figuran relacionadas en el anexo a la presente Orden.

Segundo.

Quienes deseen tomar parte en el proceso selectivo podrán efectuar la solicitud en el plazo de veinte días naturales, contados a partir del siguiente al de la publicación en el «Boletín Oficial del Estado» de la presente Orden en impreso ajustado al modelo oficial de solicitud de admisión a pruebas selectivas en la Administración Pública y liquidación de derechos de examen (modelo 790) y que les será facilitado en el Ministerio de Defensa, el Centro de Información Administrativa del Ministerio de Administraciones Públicas, la Dirección General de la Función Pública, las Delegaciones y Subdelegaciones del Gobierno y en las representaciones consulares o diplomáticas y en la página de Internet www.map.es/seap/dgfp/dgfp.htm.

Tercero.

Las bases de la convocatoria se harán públicas, al menos, en los tablones de anuncios del Ministerio de Defensa, en las Delegaciones y Subdelegaciones del Gobierno; en la Dirección General de la Función Pública y Centro de Información Administrativa del Ministerio de Administraciones Públicas, así como en la página de internet del Ministerio de Defensa (www.mde.es).

Madrid, 1 de abril de 2003.‒P. D. (Orden APU/3363/2002, de 27 de diciembre, B.O.E. del 3 de enero de 2003), el Secretario de Estado para la Administración Pública, Julio Gómez-Pomar Rodríguez.

Ilmos. Sres.: Directora general de la Función Pública, Subsecretario del Ministerio de Defensa y Presidente del Órgano de Selección.

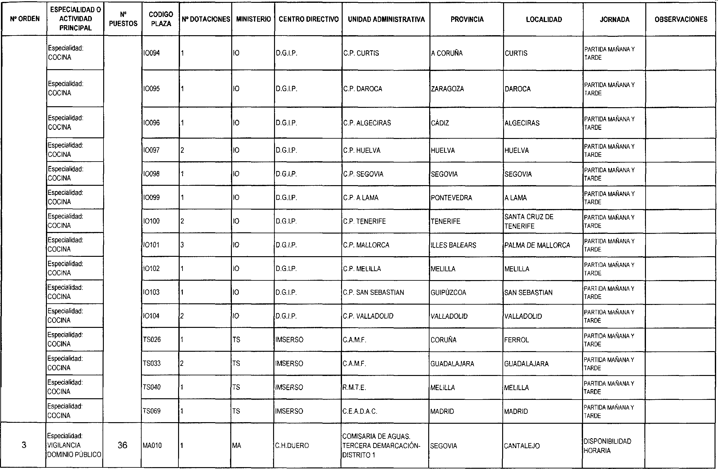
ANEXO I
Categoría profesional: Oficial de Servicios Generales

Grupo profesional: 5 Área funcional: 3

Imagen: /datos/imagenes/disp/2003/87/07585_16768925_image1.png

Imagen: /datos/imagenes/disp/2003/87/07585_16768925_image2.png

Imagen: /datos/imagenes/disp/2003/87/07585_16768925_image3.png

Imagen: /datos/imagenes/disp/2003/87/07585_16768925_image4.png

Imagen: /datos/imagenes/disp/2003/87/07585_16768925_image5.png

Imagen: /datos/imagenes/disp/2003/87/07585_16768925_image6.png

Imagen: /datos/imagenes/disp/2003/87/07585_16768925_image7.png

Imagen: /datos/imagenes/disp/2003/87/07585_16768925_image8.png

Imagen: /datos/imagenes/disp/2003/87/07585_16768925_image9.png

Imagen: /datos/imagenes/disp/2003/87/07585_16768925_image10.png

Imagen: /datos/imagenes/disp/2003/87/07585_16768925_image11.png

Imagen: /datos/imagenes/disp/2003/87/07585_16768925_image12.png

Imagen: /datos/imagenes/disp/2003/87/07585_16768925_image13.png

subir

Agencia Estatal Boletín Oficial del Estado

Avda. de Manoteras, 54 - 28050 Madrid