Contenu non disponible en français

Vous êtes à

Documento BOE-A-2003-9381

Orden APU/1110/2003, de 22 de abril, por la que se convocan pruebas selectivas para cubrir plazas de personal laboral fijo en la categoría de Técnico de Actividades Técnicas de Mantenimiento y Oficios, mediante contratación laboral fija, por el turno de promoción interna.

Publicado en:
«BOE» núm. 110, de 8 de mayo de 2003, páginas 17542 a 17559 (18 págs.)
Sección:
II. Autoridades y personal - B. Oposiciones y concursos
Departamento:
Ministerio de Administraciones Públicas
Referencia:
BOE-A-2003-9381

TEXTO ORIGINAL

En cumplimento de lo dispuesto en los artículos 29 y 31 del

Convenio Único para el personal laboral de la Administración del

Estado, el Acuerdo de la CIVEA de 7 de noviembre de 2000,

relativa a la cobertura de puestos en el ámbito del convenio único,

y de conformidad con los artículos 13.7 de la Ley 6/1997, de

14 de abril, de Organización y Funcionamiento de la

Administración General del Estado y 56 de la Ley 24/2001, de 27 de

diciembre, de Medidas Fiscales, Administrativas y de Orden Social,

Este Ministerio, en uso de las competencias que le están

atribuidas, ha resuelto:

Primero.-Convocar proceso selectivo para cubrir, por el turno

de promoción interna, las plazas que figuran relacionadas en el

anexo a la presente Orden.

Segundo.-Quienes deseen tomar parte en el proceso selectivo

podrán efectuar la solicitud en el plazo de veinte días naturales,

contados a partir del siguiente al de la publicación en el "Boletín

Oficial del Estado" de la presente Orden en impreso ajustado al

modelo oficial de solicitud de admisión a pruebas selectivas en

la Administración Pública y liquidación de derechos de examen

(modelo 790) y que les será facilitado en el Ministerio de Defensa,

el Centro de Información Administrativa del Ministerio de

Administraciones Públicas, la Dirección General de la Función Pública,

las Delegaciones y Subdelegaciones del Gobierno y en las

representaciones consulares o diplomáticas y en la página de Internet

www.map.es/seap/dgfp/dgfp.htm.

Tercero.-Las bases de la convocatoria se harán públicas, al

menos, en los tablones de anuncios del Ministerio de Defensa,

en las Delegaciones y Subdelegaciones del Gobierno ; en la

Dirección General de la Función Pública y Centro de Información

Admi

nistrativa del Ministerio de Administraciones Públicas, así como

en la página de internet del Ministerio de Defensa (www.mde.es).

Madrid, 22 de abril de 2003.-P.D. [Orden APU/3363/2002

de 27 de diciembre (B.O.E. del 3 de enero de 2003)], el Secretario

de Estado para la Administración Pública, Julio Gómez-Pomar

Rodríguez.

Ilmos. Sres. Directora General de la Función Pública,

Subsecretario del Ministerio de Defensa y Presidente del órgano de

selección.

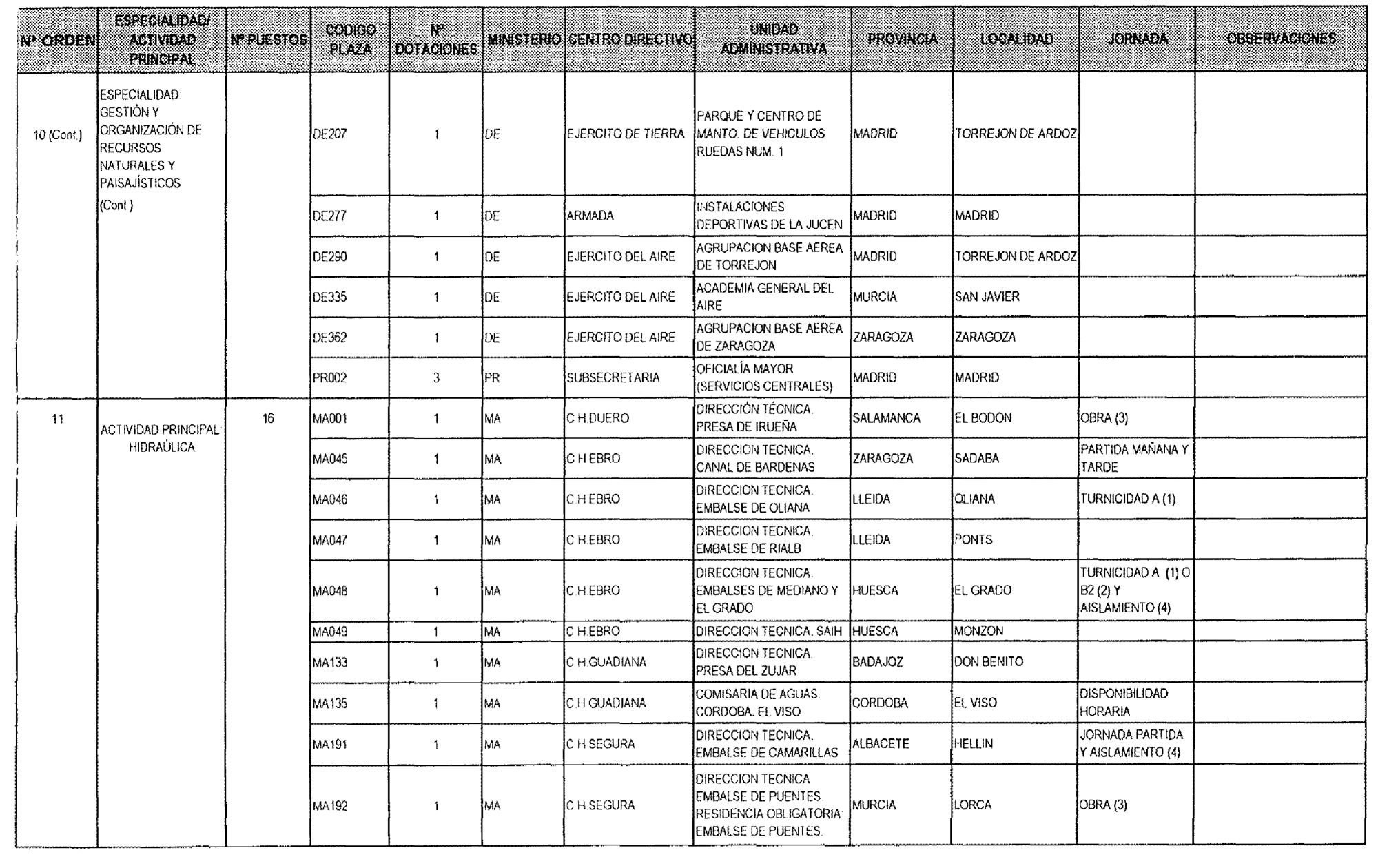
ANEXO I (Ver imágenes páginas 17544 a 17559)

subir

Agence d'État Bulletin Officiel de l'État

Av. Manoteras, 54 - 28050 Madrid