Está Vd. en

Documento BOE-A-2004-9937

Resolución 452/38121/2004, de 20 de mayo, de la Subsecretaría, por la que se convoca el proceso selectivo para el acceso a la condición de reservista voluntario.

Publicado en:
«BOE» núm. 129, de 28 de mayo de 2004, páginas 19769 a 19800 (32 págs.)
Sección:
II. Autoridades y personal - B. Oposiciones y concursos
Departamento:
Ministerio de Defensa
Referencia:
BOE-A-2004-9937

TEXTO ORIGINAL

De conformidad con lo dispuesto en la Ley 17/1999, de 18 de mayo («Boletín Oficial del Estado» número 119, del 19), de Régimen del Personal de las Fuerzas Armadas, vengo en resolver, con arreglo al Real Decreto 221/2004, de 6 de febrero («Boletín Oficial del Estado» número 33, del 7), por el que se aprueba la provisión de plazas de las Fuerzas Armadas y de la Escala Superior de Oficiales de la Guardia Civil para el año 2004, lo siguiente:

Primero.

Convocar el proceso selectivo para cubrir plazas para la adquisición de la condición de reservista voluntario, de acuerdo con las bases que se aprueban por esta resolución y que se publican como anexo I.

Segundo.

Mediante la presente resolución se ofertan las plazas que resulten necesarias para alcanzar 3000 efectivos, el 31 de diciembre de 2004, de acuerdo con la distribución que figura en el anexo II. Estas plazas corresponden al primer ciclo de selección.

Las plazas correspondientes al segundo ciclo de selección se expondrán públicamente en las Delegaciones de Defensa y Subdelegaciones de Defensa dependientes del Ministerio de Defensa.

Tercero.

La selección se regirá por las disposiciones siguientes:

Ley 17/1999, de 18 de mayo («Boletín Oficial del Estado» número 119, del 19), de Régimen del Personal de las Fuerzas Armadas.

Ley 62/2003, de 30 de diciembre («Boletín Oficial del Estado» número 313, del 31), de Medidas Fiscales, Administrativas y del Orden Social.

Real Decreto 1735/2000, de 20 de octubre («Boletín Oficial del Estado» número 253, del 21), por el que se aprueba el Reglamento General de Ingreso y Promoción en las Fuerzas Armadas.

Real Decreto 1691/2003, de 12 de diciembre («Boletín Oficial del Estado» número 298, del 13), por el que se aprueba el Reglamento de acceso y régimen de los reservistas voluntarios.

Real Decreto 944/2001, de 3 de agosto («Boletín Oficial del Estado» número 186, del 4), por el que se aprueba el Reglamento para la determinación de la aptitud psicofísica del personal de las Fuerzas Armadas.

Cuarto.

El Director General de Reclutamiento y Enseñanza Militar adoptará las disposiciones necesarias para llevar a cabo el proceso de selección, de acuerdo con las normas establecidas en estas bases.

Madrid, 20 de mayo de 2004.‒El Subsecretario, Justo Zambrana Pineda.

ANEXO I
Bases de la convocatoria

1. Objeto

Regular el proceso selectivo por el sistema de concurso para el acceso a la condición de reservista voluntario con las categorías de Oficial, Suboficial y Tropa y Marinería.

2. Ciclos de selección

El proceso continuo de selección se llevará a cabo mediante el establecimiento de sucesivos ciclos de selección (determinados en el apéndice 1), que se realizarán a lo largo del año.

3. Condiciones para tomar parte en la convocatoria

Podrán optar a las plazas ofertadas quienes cumplan las siguientes condiciones:

3.1 Generales:

a) Tener la nacionalidad española antes de que finalice el plazo de admisión de instancias.

b) Tener cumplidos al menos 18 años de edad en la fecha en que finalice el plazo de admisión de instancias, y no cumplir ni haber cumplido en el presente año la edad de 58 años, para las plazas de Oficiales y Suboficiales, ni de 55 para las de Tropa y Marinería.

c) Acreditar buena conducta ciudadana conforme a lo establecido en la Ley 68/1980, de 1 de diciembre, sobre expedición de certificaciones e informes sobre conducta ciudadana.

d) Carecer de antecedentes penales.

e) No estar privado de los derechos civiles.

f) No tener reconocida la condición de objetor de conciencia.

g) No haber sido separado mediante expediente disciplinario del servicio de cualquiera de las Administraciones Públicas ni hallarse inhabilitado con carácter firme para el ejercicio de la función pública.

h) Poseer la aptitud psicofísica necesaria, que será verificada mediante las pruebas que se determinan en la presente convocatoria.

3.2 Particulares:

a) Acreditar los niveles educativos y títulos profesionales exigidos:

1. Para acceder a las plazas de Oficiales deberá acreditarse alguno de los siguientes niveles educativos:

a) Tener aprobado el primer ciclo de educación universitaria, en el caso de los cuerpos generales de los ejércitos, de Infantería de Marina y de los cuerpos de especialistas de los ejércitos.

b) Estar en posesión del título de piloto comercial de avión o de helicóptero con licencia en vigor y habilitación de vuelo instrumental expedido por la Dirección General de Aviación Civil en los cuerpos generales de los ejércitos y de Infantería de Marina que requieran la aptitud de vuelo.

c) Estar en posesión de los mismos títulos que se exijan reglamentariamente para el acceso a militar de carrera del cuerpo y escala correspondiente, en el caso de los Cuerpos de Intendencia, de Ingenieros y de los cuerpos comunes de las Fuerzas Armadas, así como determinadas especialidades fundamentales de los cuerpos de especialistas en los que se precise estar en posesión del los títulos de Diplomado Universitario, Arquitecto Técnico o Ingeniero Técnico.

2. Para acceder a las plazas de Suboficiales deberá acreditarse alguno de los siguientes niveles educativos:

a) Estar en posesión del título de Bachiller en la modalidad o modalidades que, para cada cuerpo y, en su caso, especialidad fundamental se determine en la convocatoria correspondiente, para el caso de los cuerpos generales de los ejércitos, de Infantería de Marina y de los cuerpos de especialistas de los ejércitos.

b) Haber superado la prueba que se recoge en el artículo 38.2 de la Ley Orgánica 10/2002, de 23 de diciembre, de Calidad de la Educación, para el caso de los cuerpos de especialistas de los ejércitos.

c) Estar en posesión de los títulos de Formación Profesional de Técnico Especialista, Técnico Superior o equivalente a efectos académicos.

d) Estar en posesión de alguna de las acreditaciones académicas declaradas equivalentes a efectos de acceso a los ciclos formativos de grado superior de Formación Profesional.

3. Los solicitantes que opten a las plazas de Tropa y Marinería, deberán acreditar estar en posesión del título de Graduado Escolar o 2.o Curso de la Enseñanza Secundaria Obligatoria aprobado en su totalidad.

Los requisitos precitados, se acreditarán mediante la presentación del certificado original, o compulsa, del título que se posea.

En caso de solicitar más de una plaza, se deberá acreditar el nivel educativo correspondiente a la que exija mayor titulación.

b) Superar el reconocimiento médico, de acuerdo con el cuadro médico de exclusiones que figura en el anexo al Real Decreto 944/2001, de 3 de agosto, por el que se aprueba el Reglamento para la determinación de la aptitud psicofísica del personal de las Fuerzas Armadas.

c) No haber resuelto su compromiso como militar de complemento o como militar profesional de Tropa y Marinería por aplicación de los supuestos b) c), d), y j) del artículo 148.3 de la Ley 17/1999, tanto para las vacantes de Oficiales y Suboficiales, como para las de Tropa y Marinería.

d) No estar incluido en los supuestos del artículo 138.1 de la Ley 17/1999.

3.3 Se podrán solicitar hasta un máximo de diez (10) códigos de plazas distintos de entre todos los ofertados.

3.4 Otras aptitudes:

a) No tener adquirida la condición de reservista voluntario ni haber sido seleccionado en anterior convocatoria o ciclo en plaza de reservista voluntario. En este último caso será preceptiva la renuncia a la plaza en que fue seleccionado.

b) No haber incumplido la orden de presentación, sin causa justificada, en el Centro Militar de Formación o Unidad, para completar la correspondiente fase de formación, ni haber causado baja voluntaria durante la misma, en el ciclo de selección anterior al que se solicite, tanto de esta convocatoria como de la publicada en el año 2003 para el acceso a la condición de reservista voluntario.

c) No haber sido calificado «no apto» en la convocatoria mencionada en el párrafo anterior, o en algún ciclo de la presente, por alguna de las causas recogidas en el cuadro médico de exclusiones del Real Decreto 944/2001, que se considere permanente.

d) No estar incluido en el artículo 145.3, ni en los supuestos.

d) y e) del artículo 145.2 de la Ley 17/1999.

e) En el caso de haber sido militar profesional de Tropa y Marinería, no haberle sido denegada en los últimos 5 años la firma de un nuevo compromiso por no reunir los requisitos del artículo 95.6 de la Ley 17/1999.

f) En el caso de haber sido militar de complemento, no haberle sido denegada en los últimos 5 años la firma de un nuevo compromiso por no reunir los requisitos del artículo 91.4 de la Ley 17/1999.

4. Cita previa para participar en el proceso selectivo

4.1 La participación en el proceso selectivo de esta convocatoria se iniciará con la solicitud de cita previa dirigida al Presidente de la Comisión Permanente de Selección.

4.2 La solicitud de cita previa se podrá realizar por vía telefónica, personalmente o también por correo certificado o telefacsímil, en el Área de Reclutamiento de la Delegación o Subdelegación de Defensa de la provincia de residencia, Oficinas Delegadas u Oficinas o Puntos de Información dependientes de las mismas (apéndice 2).

También podrá solicitarse en las Unidades de los Ejércitos y de la Guardia Civil, desde donde se cursará al Área de Reclutamiento de la Delegación o Subdelegación de Defensa, de la provincia de residencia.

Por último, la solicitud de cita previa podrá presentarse ante los órganos de las administraciones a que se refiere el artículo 38.4 de la Ley 30/1992, de 26 de noviembre, del Régimen Jurídico de las Administraciones Públicas y del Procedimiento Administrativo Común («Boletín Oficial del Estado» número 285), modificada por la Ley 4/1999, de 13 de enero («Boletín Oficial del Estado» número 12).

Cuando la solicitud no se realice personalmente en el Área de Reclutamiento, deberá cumplimentarse, por escrito, en el Centro de Selección correspondiente en el momento de la presentación.

4.3 La solicitud de cita previa se ajustará al modelo del apéndice 3, efectuándose, dicha solicitud, en los plazos señalados en el apéndice 1 de la presente resolución.

4.4 El Área de Reclutamiento receptora de la solicitud de cita previa, comunicará a cada uno de los solicitantes el número de identificación del aspirante (NIA), la fecha, hora y el Centro de Selección donde se llevará a cabo el proceso selectivo.

Para efectuar el viaje desde el Área de Reclutamiento de su provincia de residencia hasta el Centro de Selección, los solicitantes dispondrán de pasaporte Oficial, de ida y regreso.

5. Documentación

5.1 Al efectuar su presentación en el Centro de Selección, los solicitantes deberán presentar los documentos siguientes:

a) Fotocopia compulsada del Documento Nacional de Identidad por ambas caras.

b) Fotocopia compulsada de los niveles académicos y titulaciones exigidos, en la base 3.2.a), de esta resolución.

c) Fotocopia compulsada de los documentos acreditativos de los méritos alegados por el solicitante para ser valorados en la fase de concurso.

d) Para los que hayan realizado el servicio militar, fotocopia compulsada de la Cartilla Militar, Notificación de Pase a la Reserva del Servicio Militar, o certificado del Área de Reclutamiento del que dependa el solicitante, con indicación del empleo alcanzado, condecoraciones obtenidas y el tiempo permanecido en las Fuerzas Armadas.

e) Para los que hayan sido militares profesionales, documentación acreditativa con indicación, asimismo, del empleo alcanzado, condecoraciones obtenidas y el tiempo permanecido en las Fuerzas Armadas.

f) Para los que hayan participado en misiones fuera del territorio nacional durante un período de tiempo igual o superior a dos meses ininterrumpidos, original o fotocopia compulsada del certificado de la unidad especificando la misión o misiones en las que ha participado y su duración.

g) Certificado del Registro Central de Penados y Rebeldes, o resguardo acreditativo de haberlo solicitado.

5.2 El Centro de Selección donde realice las pruebas le proporcionará, para cumplimentar, el documento de Declaración de Conducta Ciudadana (según modelo del apéndice 4).

5.3 Si del examen de la documentación presentada se dedujera que algún solicitante carece de alguno de los requisitos señalados en la base 3, la Comisión Permanente de Selección declarará su exclusión del proceso selectivo o la baja como aspirante a reservista voluntario, según el caso, sin perjuicio de exigirle las posibles responsabilidades en que pudieran haber incurrido.

5.4 La compulsa de estos documentos deberá ser realizada por la Secretaría del centro docente que los emite, Notarías, Intervención Militar, Áreas de Reclutamiento, o por los encargados de las oficinas de registro de la Administración General del Estado y de sus organismos públicos.

5.5 La experiencia en relación con los cometidos a desempeñar, se acreditará mediante certificación del empresario o empleador para el cual el aspirante llevó a cabo su actividad.

5.6 La documentación indicada en el apartado 5.1 será válida para toda la convocatoria, y no será necesario presentarla nuevamente si participa en más de un ciclo de selección, salvo que el solicitante haya dejado de reunir las condiciones para participar en el proceso selectivo, o desee acreditar un baremo superior.

Asimismo, será válida para aquellos que se presentaron a la anterior convocatoria publicada por Resolución 452/38270/2003, de 22 de diciembre, con la misma salvedad anterior.

6. Órganos de selección

6.1 Para el desarrollo y calificación del proceso selectivo, el Director General de Reclutamiento y Enseñanza Militar nombrará una Comisión Permanente de Selección cuya composición y funcionamiento se ajustarán a lo dispuesto en el Real Decreto 1735/2000, de 20 de octubre, por el que se aprueba el Reglamento General de Ingreso y Promoción de las Fuerzas Armadas.

6.2 Los órganos de apoyo a la Comisión Permanente de Selección, que se citan en el artículo 13.3 del Real Decreto 1735/2000, serán los centros de selección en los que se realice el proceso selectivo.

6.3 Dependiente de la Comisión Permanente, se constituirá una secretaría compuesta por el personal técnico y de apoyo necesario para la realización del proceso selectivo.

6.4 La Comisión Permanente de Selección tendrá la categoría que corresponda de acuerdo con la legislación vigente.

6.5 Corresponde a la Comisión Permanente de Selección:

Dirigir y coordinar el desarrollo del proceso selectivo en todos los Centros de Selección.

Verificar el cálculo de las puntuaciones de concurso, de acuerdo con las puntuaciones y valoraciones de los méritos establecidos en el apéndice 6.

Calcular la puntuación final obtenida por cada aspirante en cada una de las plazas a las que opta.

Determinar los solicitantes que serán nombrados aspirantes seleccionados para cada plaza convocada.

Revisar a petición de los aspirantes la calificación de «no apto» en la prueba de reconocimiento médico.

Declarar las exclusiones y bajas pertinentes en el proceso de selección.

Realizar cuantos más actos se deriven de lo establecido en la presente resolución.

7. Proceso selectivo

El proceso selectivo se llevará a cabo en los Centros de Selección y constará de:

a) Concurso: Consistirá en la valoración de los méritos que acrediten los solicitantes, de acuerdo con el baremo del apéndice 6. Los méritos a valorar serán los que se posean el primer día del plazo de solicitud correspondiente a cada ciclo. La puntuación directa será de cero (0) a cincuenta (50) puntos.

b) Reconocimiento de aptitud psicofísica.

c) Orientación.

8. Desarrollo del proceso selectivo

8.1 Al efectuar los solicitantes su presentación, el Centro de Selección realizará las siguientes acciones:

Comprobar la identidad del aspirante.

Recoger y comprobar la documentación presentada.

Auxiliarle en la cumplimentación de la ficha de aspirante a reservista voluntario (según modelo del apéndice 5).

Grabar los méritos que acredite de acuerdo con lo especificado en el apéndice 6.

8.2 El reconocimiento médico se realizará según el cuadro médico de exclusiones del Real Decreto 944/2001, de 3 de febrero, por el que se aprueba el Reglamento para la determinación de la aptitud psicofísica del personal de las Fuerzas Armadas:

La calificación del reconocimiento médico será de «apto» o «no apto».

Los que resulten «no apto», causarán baja en el proceso selectivo.

La calificación de «apto» obtenida en el reconocimiento médico de un ciclo de selección tendrá validez para toda la convocatoria. Asimismo será válida para esta convocatoria la calificación de «apto» obtenida en el reconocimiento médico de la convocatoria anterior publicada por Resolución 452/38270/2003, de 22 de diciembre.

La calificación de «no apto» podrá ser revisada a instancia del interesado, mediante solicitud dirigida al Presidente de la Comisión Permanente de Selección en el plazo máximo de tres días a partir del siguiente al de comunicación de la citada calificación. Dicha solicitud se cursará preferentemente en el mismo Centro de Selección o a través del Área de Reclutamiento de la provincia de residencia del interesado.

El Presidente de la Comisión Permanente de Selección dispondrá la comparecencia del interesado ante el Tribunal Médico Militar de Apelación correspondiente, siendo pasaportado, de ida y regreso, por su Área de Reclutamiento. No obstante, finalizará todo el proceso selectivo y permanecerá pendiente del resultado del dictamen del citado Tribunal.

Los aspirantes cuyas solicitudes de revisión no se hubieran resuelto en el momento de la asignación de plazas, y sean finalmente estimadas, formarán parte del ciclo siguiente, o de la siguiente convocatoria en el caso de que se trate del último ciclo de la anterior.

Recibido el dictamen médico, el fallo, que será definitivo, será notificado al interesado por el Presidente de la Comisión Permanente de Selección.

8.3 Una vez superado el reconocimiento médico, cada solicitante realizará una entrevista en la que en función de sus capacidades y de las plazas convocadas, se le orientará hacia aquéllas que mejor se adecuen a sus capacidades y preferencias.

Finalmente firmará la solicitud de plazas, que será definitiva.

8.4 El Centro de Selección notificará a cada solicitante el resultado provisional del proceso selectivo, según modelo del apéndice 7.

8.5 Los Centros de Selección comunicarán a la Comisión Permanente de Selección los resultados provisionales de todos los solicitantes.

9. Asignación de plazas

9.1 Para cada plaza ofertada, las puntuaciones obtenidas por los aspirantes se ordenarán de mayor a menor. La Comisión Permanente de Selección, una vez finalizada la selección de aspirantes citados en cada ciclo, procederá a la asignación de las plazas, de acuerdo a la puntuación y a las preferencias manifestadas en la ficha de aspirante a reservista voluntario (apéndice 5).

9.2 En caso de igualdad en la puntuación, la asignación de plazas se resolverá según el orden de prelación siguiente:

a) Mayor puntuación de los Méritos Generales del baremo.

b) Mayor puntuación de los Méritos Académicos del baremo.

c) Mayor puntuación de los Méritos Militares del baremo.

d) Mayor edad.

9.3 Efectuada la asignación de plazas, en las Áreas de Reclutamiento se expondrá públicamente el resultado definitivo de la selección.

9.4 La relación de aspirantes seleccionados, con indicación de la puntuación obtenida, será remitida por la Comisión Permanente de Selección al Director General de Reclutamiento y Enseñanza Militar para su comunicación a los Mandos de Personal del Ejército de Tierra, la Armada y el Ejército del Aire y a la Subdirección General de Enseñanza Militar.

Las Delegaciones y Subdelegaciones de Defensa comunicarán la plaza asignada a los aspirantes seleccionados.

9.5 En caso de que en algún código de vacante hubiera menos peticionarios que plazas convocadas, la Comisión Permanente de Selección podrá acumular la diferencia a otro código de vacante del mismo ejército o cuerpo común, donde hubiera más peticionarios que plazas convocadas, de acuerdo con las necesidades de cada ejército o cuerpo común.

No se podrá declarar seleccionados, un número de aspirantes superior al de plazas convocadas.

La asignación definitiva de la unidad, centro u organismo en que será activado el reservista, cuando exista más de uno por código de plaza, o se encuentre en los cometidos «sin determinar», se efectuará por parte de los Jefes de los Mandos de Personal de cada ejército y del Subsecretario de Defensa en el caso de los cuerpos comunes, durante el período de formación básica militar.

10. Nombramiento y formación

10.1 El Director General de Reclutamiento y Enseñanza Militar designará al personal seleccionado, que deberá realizar los períodos de formación correspondientes, en las fechas que más se acomoden a las preferencias manifestadas por los interesados en la ficha de aspirante a reservista voluntario (apéndice 5).

10.2 La fase de formación básica militar se iniciará con una fase de correspondencia seguida de una fase de presente que tendrá una duración máxima de quince días. Este plazo podrá reducirse en función de la experiencia militar previa del aspirante, según determinen, en sus ámbitos respectivos, el Mando de Adiestramiento y Doctrina del Ejército de Tierra, los Mandos de Personal de la Armada y del Ejército del Aire y la Subdirección General de Enseñanza Militar.

Los correspondientes Centros Militares de Formación impartirán tres módulos diferenciados de formación básica militar que corresponderán a los aspirantes a Oficial, Suboficial y Tropa y Marinería. Dentro de cada uno de estos módulos existirán otros dos en función del nivel de conocimientos militares adquiridos previamente y reflejado en la ficha de solicitud.

Posteriormente se realizará el período de formación específica, con una duración máxima variable de quince días de presente, que podrá ser no continuada, en la propia unidad, centro u organismo a que corresponda la plaza obtenida. Este período podrá reducirse en función de la experiencia previa del aspirante o eximirse en el caso de aquellos que hubieran sido seleccionados en plaza directamente relacionada con su profesión civil. La reducción o exclusión correspondiente será competencia de las autoridades mencionadas en el párrafo primero de este apartado.

10.3 Para su presentación al Centro Militar de Formación, los alumnos dispondrán de pasaporte oficial que les será remitido por su Área de Reclutamiento, con cargo a cada ejército o a la Subsecretaría de Defensa.

Aquellos que residan en el extranjero, serán pasaportados desde el punto de llegada a territorio nacional, hasta el Centro Militar de Formación que corresponda.

11. Adquisición y compromiso

Los aspirantes seleccionados que, una vez superado el período de formación básica militar, y, en su caso, de formación específica, firmen el compromiso correspondiente, adquirirán la condición de reservistas voluntarios con el empleo que les corresponda en cada caso. Para ello será requisito previo e indispensable, de no haberlo efectuado con anterioridad, prestar juramento o promesa ante la Bandera en la forma que establece la ley.

Al reservista voluntario se le concederá el empleo correspondiente a la plaza obtenida. Caso de haber ostentado con anterioridad un empleo militar, sólo podrá mantenerse cuando éste y el consecuente con la plaza obtenida estén incluidos en la misma categoría, atendiendo a lo establecido en el artículo 11.2 de la Ley 17/1999.

La duración del compromiso será el señalado para cada plaza en la presente convocatoria, computándose a partir de la fecha de publicación de la resolución de adquisición de la condición de reservista voluntario.

Al firmar el compromiso los interesados podrán manifestar:

a) El período máximo de activación anual para prestar servicio en unidades, centros u organismos del Ministerio de Defensa a que limitan su compromiso, sin que dicho límite pueda ser inferior a un mes.

b) Su voluntariedad para participar en misiones en el extranjero, que podrá manifestarse con carácter general para todo tipo de misiones exteriores o de manera individualizada para alguna de aquellas que se encuentren en curso al momento de suscribir el compromiso inicial o solicitar un nuevo compromiso.

12. Norma final

La presente convocatoria y cuantos actos se deriven de ella y de la actuación de los órganos de selección, podrán ser impugnados en los casos y en la forma establecidos en la Ley 30/1992, de 26 de noviembre, de Régimen Jurídico de las Administraciones Públicas y del Procedimiento Administrativo Común («Boletín Oficial del Estado» número 285, del 27), modificada por la Ley 4/1999, de 13 de enero («Boletín Oficial del Estado» número 12, del 14).

APÉNDICE 1
  Fecha publicación plazas Fecha inicio citas Fecha fin citas
1.o Ciclo. 28 de mayo de 2004. 29 de mayo de 2004. 18 de junio de 2004.
2.o Ciclo. 21 de septiembre de 2004. 22 de septiembre de 2004. 15 de octubre de 2004.
APÉNDICE 2

Relación de Delegaciones/Subdelegaciones de Defensa

(Áreas de Reclutamiento)

01 Álava

Dirección: C/Postas, 52-54.

Código postal: 01004.

Tfno.: 945/25.14.33.

Fax: 945/27.41.34.

02. Albacete

Dirección: Plaza de Gabriel Lodares, 2.

Código postal: 02002.

Tfno.: 967/22.27.94.

Fax: 967/23.91.15.

03. Alicante

Dirección: C/Colombia, 3.

Código postal: 03010.

Tfno.: 96/525.25.90, 96/524.33.68.

Fax: 96/524.34.20.

04. Almería

Dirección: C/General Luque, 2.

Código postal: 04002.

Tfno.: 950/23.27.41.

Fax: 950/27.39.84.

05. Ávila

Dirección: Paseo de San Roque, 9.

Código postal: 05003.

Tfno.: 920/22.14.39.

Fax: 920/25.35.44.

06. Badajoz (Centro de Selección)

Dirección: Avda. Fernando Calzadilla, 8.

Código postal:06004.

Tfno.: 924/23.29.86.

Fax: 924/24.20.53.

07. Illes Balears (P. Mallorca) (Centro de Selección)

Dirección: C/Mateu Enric Lladó, 40.

Código postal: 07071.

Tfno.: 971/71.21.78.

Fax: 971/72.59.04.

08. Barcelona (Centro de Selección)

Dirección: C/Tcol. González Tablas, s/n. (Cuartel del Bruch) Pedralbes.

Código postal: 08034.

Tfno.: 93/280.44.44.

Fax: 93/205.86.12.

09. Burgos (Centro de Selección)

Dirección: C/Vitoria, 63.

Código postal: 09006.

Tfno.: 947/22.67.06.

Fax: 947/24.53.74.

10. Cáceres

Dirección: Avda. de las Delicias, s/n. (Cuartel Infanta Isabel).

Código postal: 10071.

Tfno.: 927/24.76.78.

Fax: 927/24.36.52.

11. Cádiz (Centro de Selección)

Dirección: Paseo de Carlos III, núm. 1.

Código postal: 11071.

Tfno.: 956/21.20.86.

Fax: 956/22.71.16.

12. Castellón

Dirección: Avda. del Mar, 19.

Código postal: 12003.

Tfno.: 964/22.08.00.

Fax: 964/23.44.04.

13. Ciudad Real

Dirección: C/Altagracia, 58.

Código postal: 13003.

Tfno.: 926/22.13.76.

Fax: 926/22.36.54.

14. Córdoba (Centro de Selección)

Dirección: C/Lope de Hoces, 5.

Código postal: 14003.

Tfno.: 957/29.14.99-957/29.16.41.

Fax: 957/29.34.99.

15. A Coruña (Centro de Selección)

Dirección: Avda. Alferez Provisional, 7.

Código postal: 15006.

Tfno.: 981/12.23.35.

Fax: 981/12.18.76.

16. Cuenca

Dirección: Parque San Julián, 13.

Código postal: 16002.

Tfno.: 969/21.21.15.

Fax: 969/23.06.36.

17. Girona

Dirección: C/Emili Grahit, 4.

Código postal: 17003.

Tfno.: 972/20.01.28.

Fax: 972/21.31.10.

18. Granada (Centro de Selección)

Dirección: C/Santa Bárbara, núm. 13.

Código postal: 18071.

Tfno.: 958/80.62.51-958/80.62.52-958/80.62.53.

Fax: 958/80.62.45.

19. Guadalajara

Dirección: C/Plaza de los Caidos, s/n.

Código postal: 19001.

Tfno.: 949/21.17.08.

Fax: 949/23.43.53.

20. Guipúzcoa (San Sebastián)

Dirección: C/Sierra de Aralar, 51-53. (Acuartelamiento del Barrio de Loyola).

Código postal: 20014.

Tfno.: 943/47.03.75.

Fax: 943/45.39.57.

21. Huelva

Dirección: C/Sanlúcar de Barrameda, n.2.

Código postal: 21071.

Tfno.: 959/22.02.42.

Fax: 959/22.55.00.

22. Huesca

Dirección: C/Rioja, núm. 1.

Código postal: 22002.

Tfno.: 974/21.02.41.

Fax: 974/21.43.64.

23. Jaén

Dirección: C/Pintor Zabaleta, núm. 2.

Código postal: 23008.

Tfno.: 953/22.18.33.

Fax: 953/27.51.17.

24. León (Centro de Selección)

Dirección: C/General Lafuente, 9.

Código postal: 24001.

Tfno.: 987/23.72.08-987/87.69.12.

Fax: 987/87.69.82.

25. Lleida

Dirección: C/Onofre Cerveró, 1.

Código postal: 25071.

Tfno.: 973/23.09.85.

Fax: 973/24.62.37.

26. La Rioja (Logroño)

Dirección: C/Comandancia, 6.

Código postal 26001.

Tfno.: 941/22.80.61.

Fax: 941/20.16.26.

27. Lugo

Dirección: C/San Fernando, s/n.

Código postal: 27001.

Tfno.: 982/24.10.24.

Fax: 982/24.11.03.

28. Madrid y residentes en el extranjero (Centro de Selección en Oficina Delegada)

Dirección: C/Quintana, 5.

Código postal: 28008.

Tfno.: 91/542.25.35.

Fax: 91/758.93.29.

29 Málaga (Centro de Selección)

Dirección: Paseo de La Farola, 10.

Código postal: 29016.

Tfno.: 952/06.17.88.

Fax: 952/06.17.94.

30. Murcia (Centro de Selección)

Dirección: Paseo de Garay, s/n.

Código postal: 30003.

Tfno.: 968/21.20.02.

Fax: 968/22.18.21.

31. Navarra (Pamplona)

Dirección: C/General Chinchilla, 10, 2.o.

Código postal: 31002.

Tfno.: 948/22.55.48-948/22.58.28.

Fax: 948/21.21.40.

32 Ourense

Dirección: C/Paseo, 35.

Código postal: 32003.

Tfno.: 988/21.22.00.

Fax: 988/37.14.84.

33. Asturias (Oviedo)

Dirección: Plaza de España, s/n.

Código postal: 33071.

Tfno.: 98/525.14.25.

Fax: 98/525.46.65.

34. Palencia

Dirección: C/Casado del Alisal, 2.

Código postal: 34001.

Tfno.: 979/74.27.47.

Fax: 979/70.06.56.

35. Las Palmas (Las Palmas de Gran Canaria) (Centro de Selección)

Dirección: C/Real del Castillo, 152 (Risco de San Francisco).

Código postal: 35014.

Tfno.: 928/38.25.56.

Fax: 928/43.20.23.

36. Pontevedra (Centro de Selección)

Dirección: Paseo de Cervantes, s/n.

Código postal: 36001.

Tfno.: 986/85.18.73.

Fax: 986/84.78.01.

37. Salamanca

Dirección: C/Alfonso de Castro, 34-2.a, planta.

Código postal: 37005.

Tfno.: 923/22.08.78.

Fax: 923/25.82.36.

38. Tenerife (Santa Cruz de Tenerife) (Centro de Selección)

Dirección: Avda. 25 de Julio, 3-Bajo.

Código postal: 38004.

Tfno.: 922/27.60.60.

Fax: 922/29.39.02.

39. Cantabria (Santander)

Dirección: Plaza Velarde, s/n.

Código postal: 39001.

Tfno.: 942/21.20.23.

Fax: 942/36.29.12.

40. Segovia

Dirección: C/Puente de Sanctí Spiritus, 2.

Código postal: 40002.

Tfno.: 921/46.11.53.

Fax: 921/46.62.22.

41. Sevilla (Centro de Selección)

Dirección: Avda. Eduardo Dato, 21.

Código postal: 41005.

Tfno.: 954/98.85.23-39-41.

Fax: 954/98.87.59.

42. Soria

Dirección: Antolín de Soria, s/n.

Código postal: 42002.

Tfno.: 975/22.79.72.

Fax: 975/22.79.73.

43. Tarragona

Dirección: Rambla Vella, 4.

Código postal: 43003.

Tfno.: 977/23.15.50.

Fax: 977/21.10.91.

44. Teruel

Dirección: Avda. de Sagunto, 11.

Código postal: 44071.

Tfno.: 978/60.21.36.

Fax: 978/60.70.10.

45. Toledo

Dirección: C/Duque de Lerma, núm. 6.

Código postal: 45004.

Tfno.: 925/28.33.71.

Fax: 925/28.33.72.

46. Valencia (Centro de Selección)

Dirección: P.o. de la Alameda, n.28.

Código postal: 46010.

Tfno.: 961/96.34.00.

Fax: 961/96.34.40.

47. Valladolid (Centro de Selección)

Dirección: Fray Luis de León, 7.

Código postal: 47002.

Tfno.: 983/30.32.33.

Fax: 983/39.00.75.

48. Vizcaya (Bilbao)

Dirección: C/Urizar, 13, 4.a planta.

Código postal: 48012.

Tfno.: 944/22.13.20.

Fax: 944/10.30.80.

49. Zamora

Dirección: Avda. Requejo, 14, bajo.

Código postal: 49030.

Tfno.: 980/52.15.46.

Fax: 980/51.14.06.

50. Zarazoza (Centro de Selección)

Dirección: C/Vía San Fernando, s/n.

Código postal: 50071.

Tfno.: 976/25.53.75.

Fax: 976/27.66.68.

51. Ceuta (Centro de Selección)

Dirección: C/Marina Española, núm. 12-planta baja.

Código postal: 51001.

Tfno.: 956/51.26.96.

Fax: 956/51.11.79.

52. Melilla (Centro de Selección)

Dirección: C/Gabriel de Morales, núm. 1.

Código postal: 52002.

Tfno.: 952/69.01.21.

Fax: 952/69.02.37.

Relación de oficinas de información delegadas

Madrid (Centro de Selección)

Dirección: P.o de Reina Cristina, n.3.

Código postal: 28014.

Tfno.: 91/434.17.80. Fax: 91/434.57.13.

Algeciras (Cádiz)

Dirección: C/General Primo de Rivera, n.3.

Código postal: 11271.

Tfno.: 956/63.37.86.

Cartagena (Murcia)

Dirección: Calle Real, n.20, bajo derecha.

Código postal: 30271.

Tfno. y Fax: 968/50.25.22.

El Ferrol (A Coruña)

Dirección: C/Anton de Molins, s/n.

Código postal: 15490.

Tfno.: 981/33.63.63.

Fax: 981/30.00.84.

Mahón: (Illes Balears)

Dirección: C/Isabel II, núm. 20.

Código postal: 07071.

Tfno.: 971/35.13.36.

Fax: 971/35.04.44.

Servicio telefonico de información general: Tfno.: 902/43.21.00.

APÉNDICE 3
Ficha de solicitud de cita previa

D/Dña..............................................................., nacido/a el:........................................ DNI........................................ domiciliado/a en.......................... provincia.......................... calle:................................................... código postal............. teléfono:...................................

Declara:

Que son ciertos los datos reflejados en la presente ficha y que reúne todas las condiciones generales y particulares exigidas en las bases de la presente convocatoria.

Asimismo, expresa su voluntariedad para participar en misiones en el extranjero o para colaborar en el mantenimiento de la paz y seguridad internacionales.................................... (sí/no).

Solicita:

Que le sea concedida cita previa para realizar las pruebas selectivas para acceso a la condición de reservista voluntario.

.........................., a........ de..................... de 2004. Firma del solicitante.

Fdo:

Sr. Presidente de la Comisión Permanente de Selección.

(Área de Reclutamiento de.....................................................)

APÉNDICE 4
Declaración de conducta ciudadana

D/Dña...................................., nacido/a el:..................... en...................... DNI/pasaporte:......................, expedido con fecha............................, domiciliado/a en............................ provincia:................................., calle:................................., código postal:.................., teléfono:..................,..................

Por la presente, bajo su responsabilidad,

Declara:

a) Que....................... se encuentra inculpado o procesado, ni le han sido aplicadas medidas de seguridad (*).

b) Que........... ha sido condenado en juicio de faltas durante los tres años inmediatamente anteriores a esta declaración (*).

c) Que............ se le ha impuesto sanción gubernativa en los tres años inmediatamente anteriores a la fecha, como consecuencia de expediente administrativo sancionador, por hechos que guarden relación directa con esta convocatoria (*).

En.........................., a........ de..................... de 2004.

(Firma)

(*) De resultar afirmativo alguno de los supuestos, hacer constar en el reverso de la presente declaración, órgano jurisdiccional o autoridad gubernativa que haya seguido diligencias, impuesto medidas de seguridad o hubiere sancionado. No serán objeto de declaración las sanciones gubernativas por actos meramente imprudentes ni las procedentes de infracciones de tráfico.

APÉNDICE 5
Ficha de aspirante a reservista voluntario (1)

D/Dña................................................................ nacido/a el:........................ en........................ DNI........................, expedido con fecha...................., domiciliado en...................., provincia.............................. calle......................................, código postal.........................., teléfono................................

1. Experiencia militar previa:

Ejército o Cuerpo común:................................................... Empleo:........................................................................... Especialidad:.................................................................... Tiempo aproximado de servicio:.......................................... Fecha última en que dejo el servicio activo:...........................

Para los reservistas temporales *, fecha de finalización de la condición de reservista temporal:.............................................

2. Capacidades profesionales:

Trabajo que desarrolla:...................................................... Puesto que ocupa:............................................................

Empresa o entidad:............................................................ Lugar:............................................................................. Domicilio:................................... Teléfono:..................... Número de empleados de la empresa:..................................

Otras capacidades profesionales (actividades profesionales y laborales que ha desarrollado):

.......................................................................................

.......................................................................................

.......................................................................................

Tiempo transcurrido en cada una de ellas:

.......................................................................................

.......................................................................................

.......................................................................................

(1) En caso de tener alguna duda en el momento de cumplimentar este documento, solicite la colaboración del personal del Centro de Selección donde lleve a cabo las correspondientes pruebas de selección.

* (Los reservistas temporales tendrán dicha condición desde el momento de la finalización o resolución de su compromiso con las Fuerzas Armadas hasta cumplir el número de años que se le haya determinado).

3. Otras capacidades o actividades:

.......................................................................................

.......................................................................................

.......................................................................................

4. Niveles educativos y títulos profesionales:

.......................................................................................

.......................................................................................

5. Delegación o Subdelegación de Defensa (provincia) de la que desea depender:

.......................................................................................

6. Formación militar:

a) De entre los períodos propuestos por el ejército o cuerpo común para los que Vd ha solicitado plaza, exprese sus preferencias para realizar la formación básica militar.

Ejército de Tierra

  Períodos de formación básica militar  
1.o incorporación 2.o incorporación 3.o incorporación 4.o incorporación
Plazas de Oficial. 06-17 sep 2004 18-29 oct 2004 10-21 ene 2005
Plazas de Suboficial. 20 sep 2001-oct 2004 08-19 nov 2004 24 ene 2004-feb 2005
Plazas de Tropa. 04-15 oct 2004 22 nov 2003-dic 2004 07-18 feb 2005 21 feb 2004-mar 2005

Orden de prioridades:

Oficiales:

1.o...................................

2.o....................................

3.o....................................

Suboficiales:

1.o...................................

2.o....................................

3.o....................................

Tropa:

1.o....................................

2.o....................................

3.o....................................

4.o....................................

Armada

  Períodos de formación básica militar
1.o incorporación 2.o incorporación 3.o incorporación 4.o incorporación
Plazas de Oficial. 16-27 ago 2004 06-17 jun 2005
Plazas de Suboficial. 18-29 oct 2004 10-21 ene 2005 07-18 mar 2005 09-20 may 2005
Plazas de Tropa.... 6-17 sep 2004 15-26 nov 2004 10-21 ene 2005 06-17 jun 2005

Orden de prioridades:

Oficiales:

1.o....................................

2.o....................................

Suboficiales:

1.o....................................

2.o....................................

3.o....................................

4.o....................................

Tropa y Marinería:

1.o....................................

2.o....................................

3.o....................................

4.o....................................

Ejército del Aire

  Períodos de formación básica militar
1.o incorporación 2.o incorporación 3.o incorporación 4.o incorporación
Plazas de Oficial y Suboficial. 13-24 sep 2004 18-29 oct 2004 15-26 nov 2004 31 ene-11 feb 2005
Plazas de Tropa. 5-16 jul 2004 19-30 jul 2004 18-29 oct 2004 31 ene-11 feb 2005

Orden de prioridades:

Oficiales:

1.o....................................

2.o....................................

3.o....................................

4.o....................................

Suboficiales:

1.o....................................

2.o....................................

3.o....................................

4.o....................................

Tropa:

1.o....................................

2.o....................................

3.o....................................

4.o....................................

Cuerpos comunes

  Períodos de formación básica militar
1.o incorporación 2.o incorporación 3.o incorporación 4.o incorporación
Plazas de Oficial. 15-30 sep 2004 18-31 oct 2004 2-15 nov 2004 15-30 nov 2004

Orden de prioridades:

1.o....................................

2.o....................................

3.o....................................

4.o....................................

Las fechas de la fase de formación específica se determinarán, durante la realización de la fase de formación básica militar, en los correspondientes Centros Militares de Formación.

b) Caso de ser seleccionado, y con antelación suficiente a su incorporación para la realización del período de formación básica militar, recibirá en su domicilio el envío correspondiente a la fase por correspondencia. Exprese una dirección completa para la remisión de los documentos.

1. Dirección postal..........................................................

2. Correo electrónico/e-mail.............................................

7. Activación:

Exprese sus preferencias en cuanto a los periodos anuales y áreas geográficas para pasar a situación de activado.

.......................................................................................

.......................................................................................

.......................................................................................

.......................................................................................

8. Voluntariedad:

Exprese su voluntariedad para participar en misiones fuera del territorio nacional.............

En cumplimiento de lo establecido en la Ley Orgánica 15/1999, de 13 de diciembre, de protección de datos de carácter personal, le informamos que sus datos personales requeridos, una vez proporcionados, quedarán incorporados y serán tratados única y exclusivamente por los órganos correspondientes del Ministerio de Defensa con el fin de facilitar su acceso a la condición de reservista voluntario y su posterior activación, en su caso.

Asimismo, le informamos de la posibilidad de ejercer los derechos de acceso, rectificación y oposición de sus datos de carácter personal ante la Delegación o Subdelegación de Defensa en la que quede adscrito.

Firma del solicitante

Fdo:

APÉNDICE 6
Baremo de concurso

Méritos Militares

Haber sido militar de carrera con la categoría de Oficial: 12 puntos.

Haber sido militar de carrera con la categoría de Suboficial: 11 puntos.

Haber sido militar de complemento con la categoría de Oficial: 10 puntos.

Haber sido militar de complemento con la categoría de Suboficial: 9 puntos.

Haber sido militar de reemplazo con empleo de Alférez: 8 puntos.

Haber sido militar de reemplazo con empleo de Sargento: 7 puntos.

Haber sido militar profesional de Tropa y Marinería con empleo de Cabo o superior: 6 puntos.

Haber sido militar profesional de Tropa y Marinería con empleo de Soldado/Marinero: 5 puntos.

Haber sido militar de reemplazo con empleo igual o superior a Cabo: 4 puntos.

Haber sido militar de reemplazo con empleo de Soldado/Marinero: 3 puntos.

Sólo se tendrá en cuenta para la valoración de este apartado la condición militar, de las citadas anteriormente, que mayor puntuación aporte.

Ser reservista temporal: 2 puntos.

Por cada año o fracción de servicio en las Fuerzas Armadas: 0,5 puntos.

Por cada participación en misiones fuera del territorio nacional por un período igual o superior a dos meses ininterrumpidos: 2 puntos.

Cruz del Mérito Militar, Naval o Aeronáutico: 4 puntos.

Mención Honorífica (Publicada en el BOD): 2 puntos.

La puntuación máxima de los méritos militares será de 25 puntos.

Méritos Académicos

Estar en posesión del título o documento acreditativo de:

Para Oficiales, Suboficiales y Tropa y Marinería:

Licenciado, Ingeniero, Arquitecto o superior: 8 puntos.

Para Suboficiales y Tropa y Marinería:

Diplomado, Ingeniero Técnico o Arquitecto Técnico: 6 puntos.

Para Tropa y Marinería:

Título de Técnico Superior, Técnico Especialista o Módulo Profesional Nivel 3, Bachillerato LOGSE, COU y sus equivalentes a efectos académicos: 4 puntos.

Técnico de Grado Medio LOGSE, título de BUP, 2.o curso de FP II (Régimen General), 3.er curso de FP II (REE) o 1.er curso Bachillerato LOGSE: 3 puntos.

Graduado en Educación Secundaria, Formación Profesional de Primer Grado, 2.o curso de BUP y sus equivalentes a efectos académicos: 2 puntos.

No se valorarán otros estudios declarados equivalentes con alguno de los anteriores.

Título de la Escuela Oficial de Idiomas o acreditación de un perfil lingüístico, de cualquier idioma.

Se contabilizará según el siguiente baremo:

Perfil Lingüístico SLP 3.3.3.3 ó superior: 3 puntos.

Ciclo Superior de la EOI: 4 puntos.

Perfil Lingüístico SLP 2.2.2.2 ó superior: 1 punto.

Ciclo Elemental de la EOI: 2 puntos.

Cuando se acrediten varias titulaciones se valorará únicamente la de mayor grado.

La puntuación máxima de los méritos académicos será de 11 puntos.

Méritos Generales

Más de tres años o 300 horas de experiencia acreditada en relación con los cometidos a desempeñar:

Nivel Directivo: 6 puntos.

Nivel Técnico: 4 puntos.

Nivel Auxiliar: 2 puntos.

Desde un año o 100 horas hasta tres años o 300 horas de experiencia acreditada en relación con los cometidos a desempeñar:

Nivel Directivo: 5 puntos.

Nivel Técnico: 3 puntos.

Nivel Auxiliar: 1 punto.

Menos de un año o 100 horas de experiencia acreditada en relación con los cometidos a desempeñar:

Nivel Directivo: 3 puntos.

Nivel Técnico: 2 puntos.

Nivel Auxiliar: 0,5 puntos.

Pertenencia a la Administración Pública:

Cuerpos Superiores Grupo: A 6 puntos.

Cuerpos de Gestión Grupo B: 4 puntos.

Cuerpos Administrativos Grupo C: 2 puntos.

Cuerpo Auxiliar Grupo D: 1 punto.

Titulación relacionada con los cometidos a desempeñar: 3 puntos.

Realización de cursos o estudios de postgrado directamente relacionados con el área profesional

Cursos de más de 100 horas: 2 puntos.

Cursos de más de 10 horas y menos de 100 horas: 1 punto.

Voluntariedad para participar en misiones fuera del territorio nacional: 5 puntos.

Para vacantes específicas del Ejército de Tierra

Miembros de la antigua Escala Honorífica Militar de Ferrocarriles: 3 puntos *.

Para vacantes específicas de la Armada

Controladores de Tráfico Aéreo: 6 puntos *.

Capitanes de la Marina Mercante: 8 puntos *. Pilotos de la Marina Mercante: 6 puntos *.

* Si solicita vacantes relacionadas con los cometidos propios de la Escala o Titulación.

La puntuación máxima de los méritos generales será de 14 puntos.

Para ser valorada en la fase de concurso, la documentación correspondiente deberá presentarse debidamente legalizada o compulsada.

APÉNDICE 7
Notificación del resultado de las pruebas

Fecha:..................

Nombre:..................

Primer apellido:..................

Segundo apellido:.................. DNI:..................

Se le notifica que ha obtenido Vd, los siguientes resultados en el proceso selectivo correspondiente al primer ciclo de la convocatoria para acceso a la condición de reservista voluntario. Reconocimiento médico:

Baremo de concurso:

Plaza Puntuación Plaza Puntuación
............... .............. .............. ...............
............... .............. .............. ...............
............... .............. .............. ...............
............... .............. .............. ...............
............... .............. .............. ...............

Estos resultados servirán de base para su clasificación en relación con los demás solicitantes a las plazas convocadas.

Contra esta resolución podrá interponer recurso de alzada ante el Director General de Reclutamiento y Enseñanza Militar del Ministerio de Defensa, en el plazo de un mes.

..............., a... de............... de 2004

El Gestor del Área de Reclutamiento

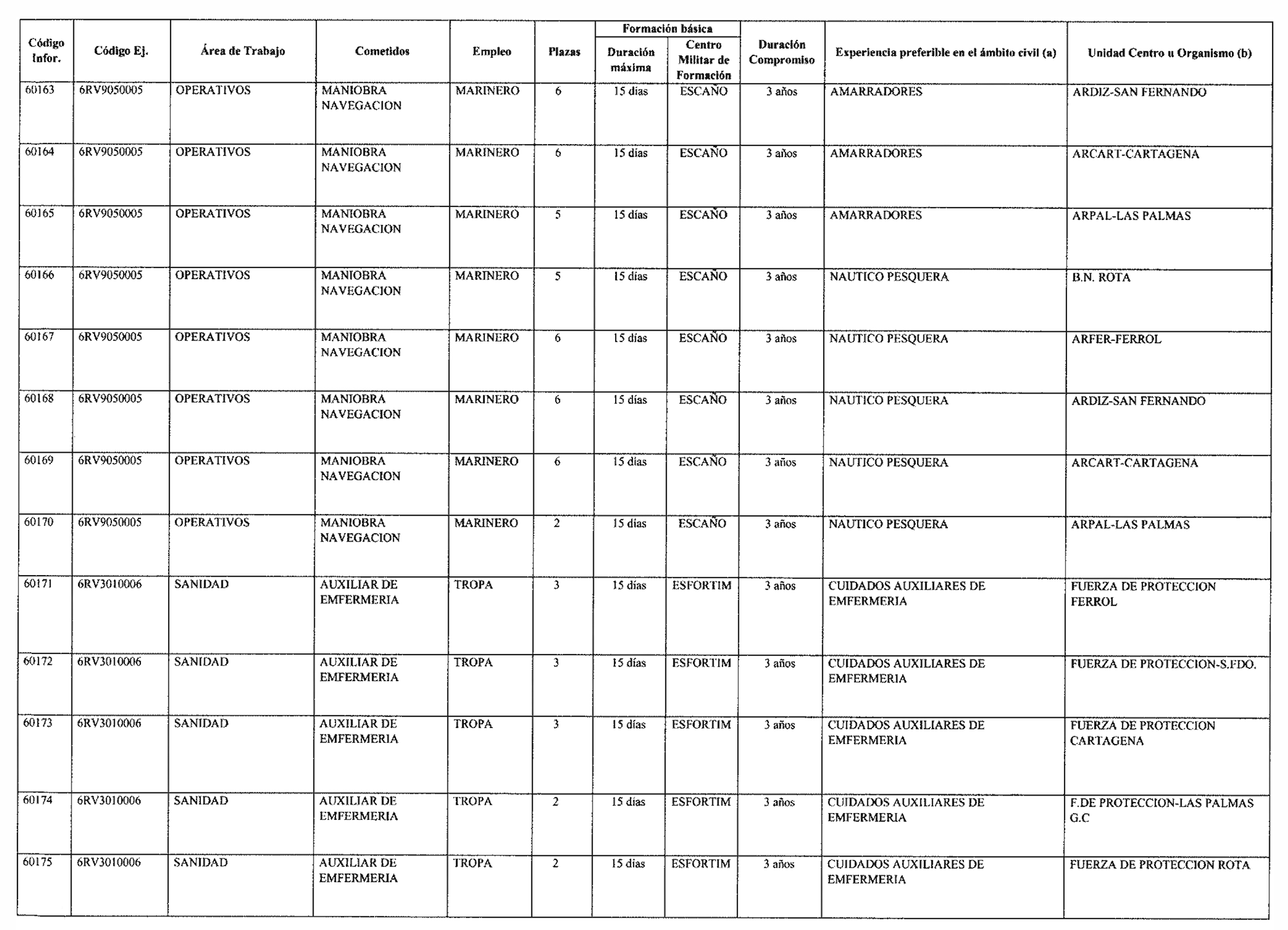
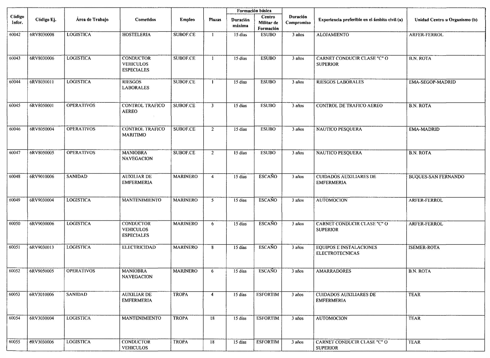
ANEXO II
Plazas que se ofertan 1.er ciclo de selección

Imagen: /datos/imagenes/disp/2004/129/09937_16525479_image1.png

Imagen: /datos/imagenes/disp/2004/129/09937_16525479_image2.png

Imagen: /datos/imagenes/disp/2004/129/09937_16525479_image3.png

Imagen: /datos/imagenes/disp/2004/129/09937_16525479_image4.png

Imagen: /datos/imagenes/disp/2004/129/09937_16525479_image5.png

Imagen: /datos/imagenes/disp/2004/129/09937_16525479_image6.png

Imagen: /datos/imagenes/disp/2004/129/09937_16525479_image7.png

Imagen: /datos/imagenes/disp/2004/129/09937_16525479_image8.png

Imagen: /datos/imagenes/disp/2004/129/09937_16525479_image9.png

Imagen: /datos/imagenes/disp/2004/129/09937_16525479_image10.png

Imagen: /datos/imagenes/disp/2004/129/09937_16525479_image11.png

Imagen: /datos/imagenes/disp/2004/129/09937_16525479_image12.png

Imagen: /datos/imagenes/disp/2004/129/09937_16525479_image13.png

Imagen: /datos/imagenes/disp/2004/129/09937_16525479_image14.png

Imagen: /datos/imagenes/disp/2004/129/09937_16525479_image15.png

Imagen: /datos/imagenes/disp/2004/129/09937_16525479_image16.png

Imagen: /datos/imagenes/disp/2004/129/09937_16525479_image17.png

Imagen: /datos/imagenes/disp/2004/129/09937_16525479_image18.png

Imagen: /datos/imagenes/disp/2004/129/09937_16525479_image19.png

Imagen: /datos/imagenes/disp/2004/129/09937_16525479_image20.png

Imagen: /datos/imagenes/disp/2004/129/09937_16525479_image21.png

Imagen: /datos/imagenes/disp/2004/129/09937_16525479_image22.png

Imagen: /datos/imagenes/disp/2004/129/09937_16525479_image23.png

Imagen: /datos/imagenes/disp/2004/129/09937_16525479_image24.png

subir

Agencia Estatal Boletín Oficial del Estado

Avda. de Manoteras, 54 - 28050 Madrid