Contido non dispoñible en galego

Está Vd. en

Documento BOE-A-2026-158

Orden TES/1573/2025, de 31 de diciembre, por la que se actualiza el contenido del anexo 2 del Real Decreto 713/2010, de 28 de mayo, sobre registro y depósito de convenios colectivos, acuerdos colectivos de trabajo y planes de igualdad.

Publicado en:
«BOE» núm. 3, de 3 de enero de 2026, páginas 640 a 668 (29 págs.)
Sección:
I. Disposiciones generales
Departamento:
Ministerio de Trabajo y Economía Social
Referencia:
BOE-A-2026-158
Permalink ELI:
https://www.boe.es/eli/es/o/2025/12/31/tes1573

TEXTO ORIGINAL

I

El Real Decreto 713/2010, de 28 de mayo, sobre registro y depósito de convenios colectivos, acuerdos colectivos de trabajo y planes de igualdad, regula el procedimiento de inscripción y depósito de estos instrumentos a través de medios electrónicos, así como el funcionamiento del registro correspondiente, en desarrollo de lo previsto en el artículo 90.2 del texto refundido de la Ley del Estatuto de los Trabajadores, aprobado por el Real Decreto Legislativo 2/2015, de 23 de octubre.

En particular, el artículo 6 del Real Decreto 713/2010, de 28 de mayo, regula la solicitud de inscripción de los convenios colectivos, planes de igualdad y demás acuerdos inscribibles previstos en el artículo 2.1, así como los modelos de carácter estadístico que deben cumplimentarse junto con dicha solicitud. A este último respecto, el apartado tercero del citado precepto prevé la utilización de una serie de formularios recogidos en los modelos oficiales que figuran en el anexo 2, cuyo objeto es recabar los datos necesarios para la elaboración de la estadística de convenios colectivos.

En este contexto, la experiencia derivada de la aplicación del real decreto desde su aprobación, junto con las reformas laborales aprobadas en los últimos años y las modificaciones sustantivas que estas han introducido, han puesto de manifiesto algunas necesidades de mejora y adaptación de determinadas variables contenidas en las hojas estadísticas.

En consecuencia, se procede a la actualización de los anexos 2.I, 2.II, 2.III y 2.IV del Real Decreto 713/2010, de 28 de mayo, a fin de garantizar su adecuación al marco normativo vigente y contexto sociolaboral actual, así como la coherencia técnica y estadística de la información registrada, incorporando variables más precisas y relevantes para el seguimiento de la negociación colectiva. Con estas modificaciones se pretende mejorar la comparabilidad de los datos y garantizar una recogida de información más eficaz, coherente con los principios de simplificación administrativa.

El anexo 2.V, que contiene la hoja estadística de los planes de igualdad, no se modifica, precisamente, por ser muy posterior en el tiempo al resto, dado que se añadió, con efectos de 14 de enero de 2021, por la disposición final primera, apartado 11 del Real Decreto 901/2020, de 13 de octubre, por el que se regulan los planes de igualdad y su registro y se modifica el Real Decreto 713/2010, de 28 de mayo, sobre registro y depósito de convenios colectivos, acuerdos colectivos de trabajo y planes de igualdad.

Las modificaciones introducidas han sido objeto de análisis y consenso en el seno del Grupo Técnico tripartito para el seguimiento y la mejora de la información relativa a la negociación colectiva, al registro de convenios y acuerdos colectivos de trabajo y al funcionamiento de la aplicación informática que le da soporte (REGCON). Dicho grupo, constituido en 2017, está integrado por el Ministerio de Trabajo y Economía Social y por las organizaciones empresariales y sindicales más representativas a nivel estatal (CEOE, CEPYME, CC. OO. y UGT) y tiene como finalidad atender las necesidades detectadas en materia de información sobre negociación colectiva.

Su aprobación se lleva a cabo mediante orden ministerial, en virtud de la habilitación a la persona titular del Ministerio de Trabajo y Economía Social contenida en la disposición final tercera del Real Decreto 713/2010, de 28 de mayo, toda vez que las modificaciones contenidas en la presente orden constituyen un desarrollo de carácter técnico que no incide en el contenido sustantivo de los derechos y obligaciones derivados de los convenios colectivos y acuerdos colectivos de trabajo ni en el procedimiento de registro y depósito de los convenios y acuerdos colectivos.

II

La norma contiene un artículo único y dos disposiciones finales.

El artículo único introduce las modificaciones necesarias en los anexos 2.I, 2.II, 2.III y 2.IV del Real Decreto 713/2010, de 28 de mayo; mientras que las disposiciones finales fijan, respectivamente, el título competencial y la entrada en vigor.

III

Esta orden cumple con los principios de necesidad, eficacia, proporcionalidad, seguridad jurídica, transparencia y eficiencia, exigidos como principios de buena regulación por el artículo 129 de la Ley 39/2015, de 1 de octubre, del Procedimiento Administrativo Común de las Administraciones Públicas. Por lo que se refiere a su necesidad y eficacia esta modificación normativa constituye el instrumento más adecuado para cumplir el objetivo perseguido. Respecto a la proporcionalidad la orden contiene la regulación imprescindible para alcanzar el objetivo propuesto. En cuanto a la seguridad jurídica la reforma propuesta es coherente con el resto del ordenamiento jurídico, tanto nacional como de la Unión Europea. En aplicación del principio de transparencia la norma define claramente sus objetivos y justificación en el preámbulo y se ha posibilitado que los potenciales destinatarios tengan una participación activa en la elaboración de las normas a través del cumplimiento de los trámites de audiencia e información públicas previstos en la Ley 50/1997, de 27 de noviembre, del Gobierno, que también han incluido la consulta a las autoridades laborales de las comunidades autónomas. Por último, se respeta el principio de eficiencia, toda vez que la reforma no impone nuevas cargas administrativas ni afecta a la gestión de los recursos públicos.

Finalmente, la orden se dicta al amparo de la habilitación contenida en la disposición final tercera del Real Decreto 713/2010, de 28 de mayo, que faculta a la persona titular del Ministerio de Trabajo y Economía Social para dictar cuantas disposiciones sean necesarias para la aplicación y desarrollo de lo establecido en dicho real decreto, así como para modificar los modelos oficiales que figuran en su anexo 2.

En su virtud, con la aprobación previa de la Ministra de Hacienda y Función Pública, dispongo:

Artículo único. Modificación de los anexos 2.I, 2.II, 2.III y 2.IV del Real Decreto 713/2010, de 28 de mayo, sobre registro y depósito de convenios colectivos, acuerdos colectivos de trabajo y planes de igualdad.

Se modifican los anexos 2.I, 2.II, 2.III y 2.IV del Real Decreto 713/2010, de 28 de mayo, sobre registro y depósito de convenios colectivos, acuerdos colectivos de trabajo y planes de igualdad, que quedan redactados como sigue:

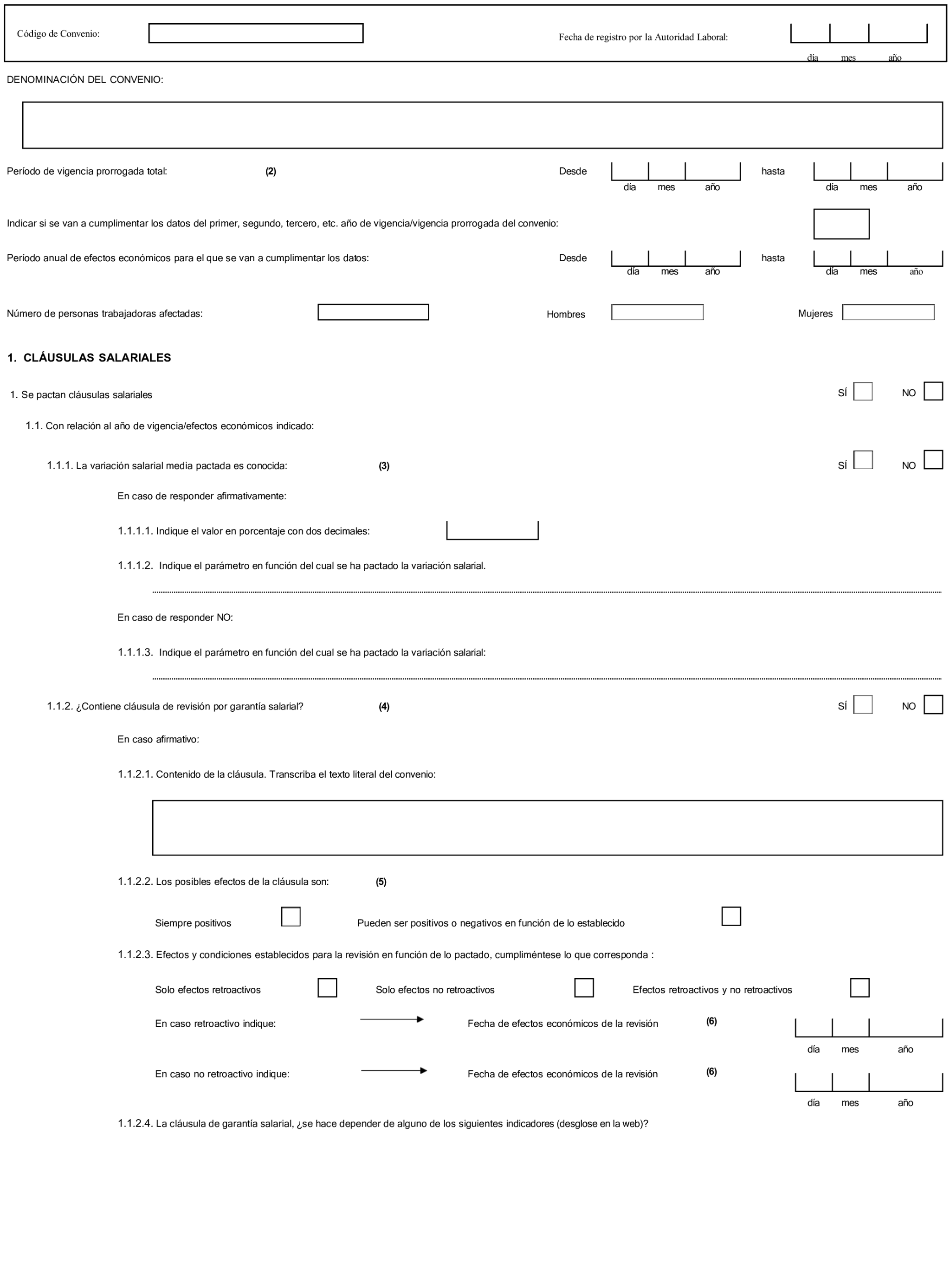
ANEXO 2.I
Hoja estadística de Convenios Colectivos de Empresa (1)

Imagen: /datos/imagenes/disp/2026/3/158_16494794_1.png

Imagen: /datos/imagenes/disp/2026/3/158_16494794_2.png

Imagen: /datos/imagenes/disp/2026/3/158_16494794_3.png

Imagen: /datos/imagenes/disp/2026/3/158_16494794_4.png

Imagen: /datos/imagenes/disp/2026/3/158_16494794_5.png

Imagen: /datos/imagenes/disp/2026/3/158_16494794_6.png

Imagen: /datos/imagenes/disp/2026/3/158_16494794_7.png

Imagen: /datos/imagenes/disp/2026/3/158_16494794_8.png

Imagen: /datos/imagenes/disp/2026/3/158_16494794_9.png

Imagen: /datos/imagenes/disp/2026/3/158_16494794_10.png

Imagen: /datos/imagenes/disp/2026/3/158_16494794_11.png

Imagen: /datos/imagenes/disp/2026/3/158_16494794_12.png

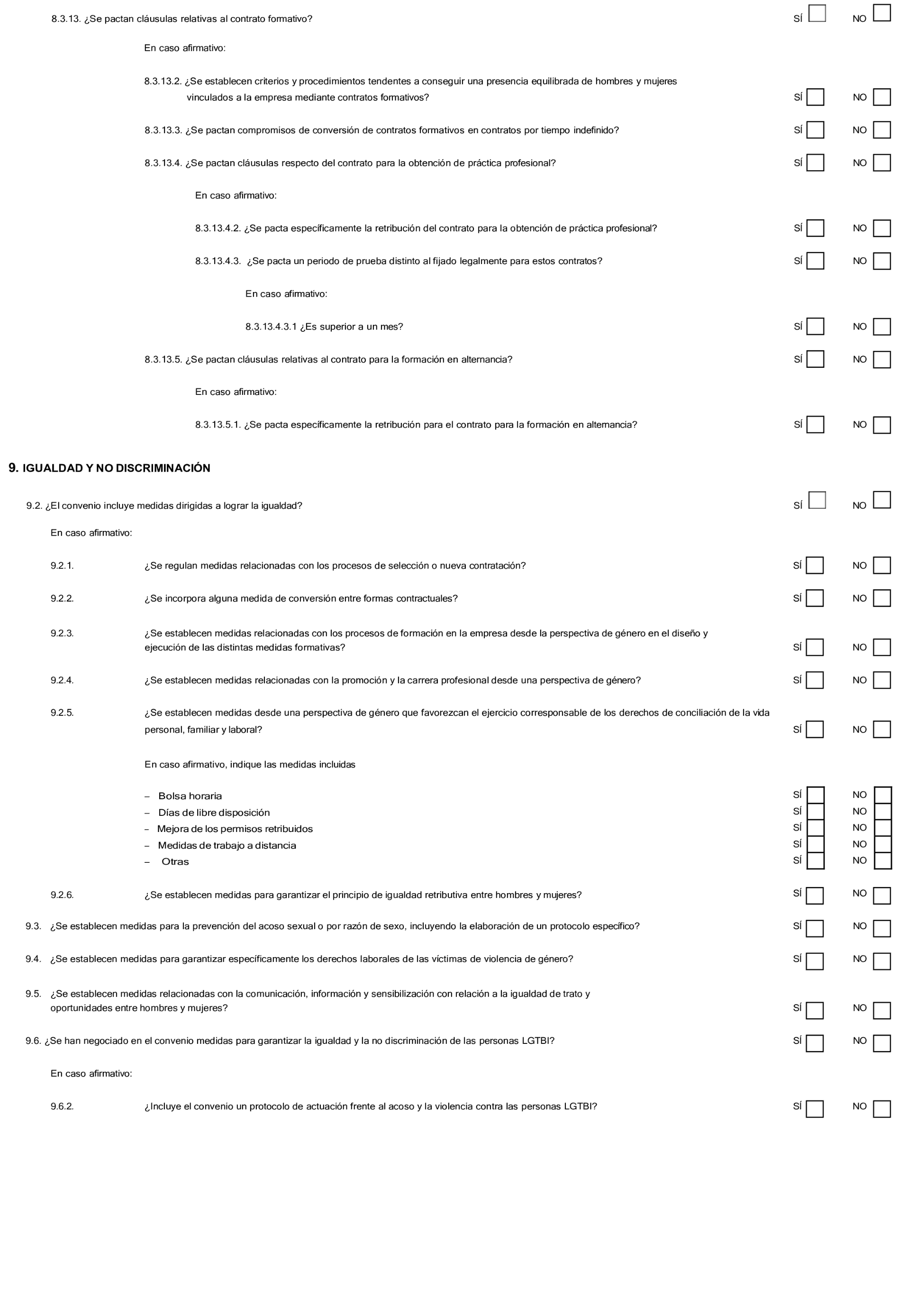
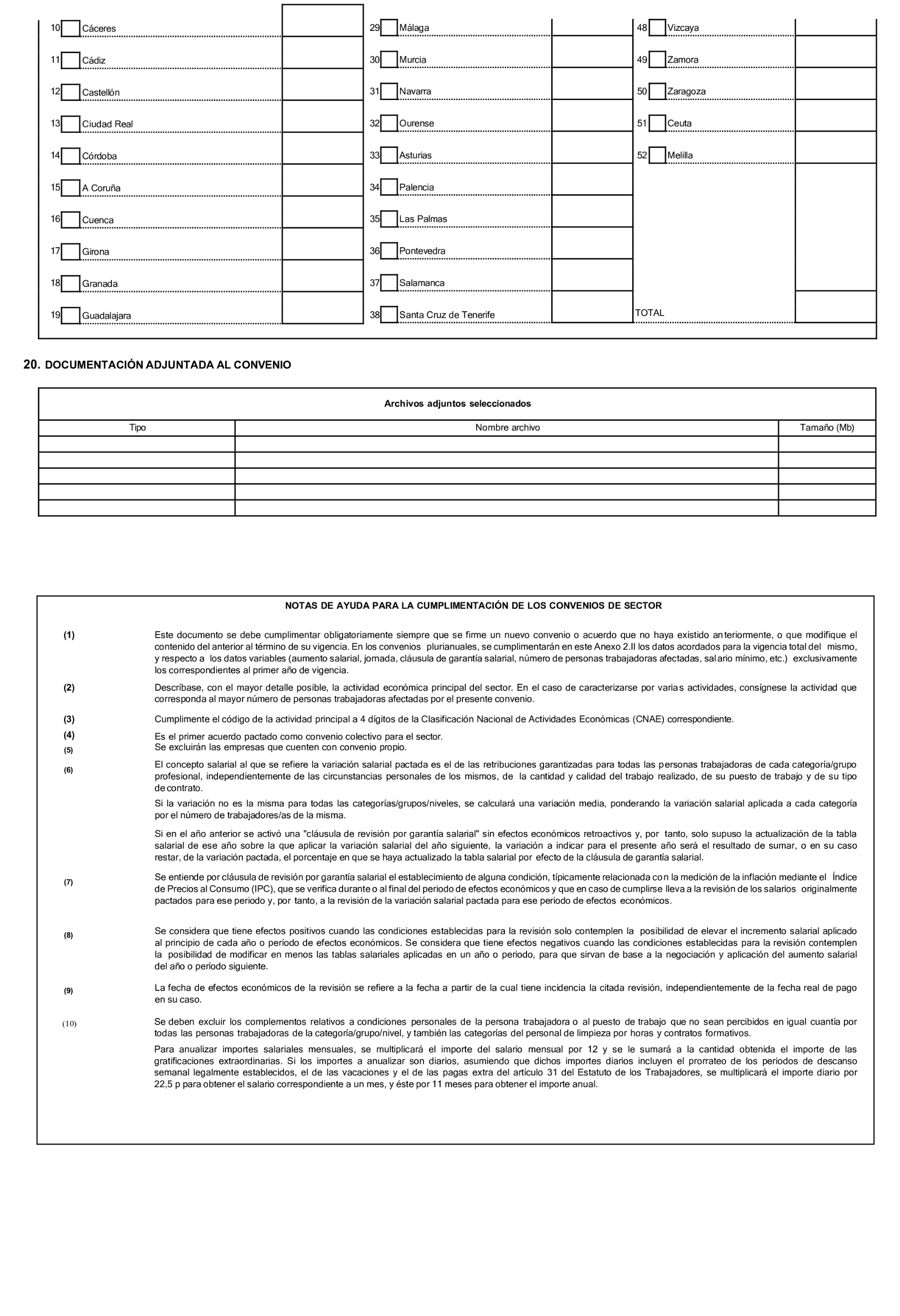
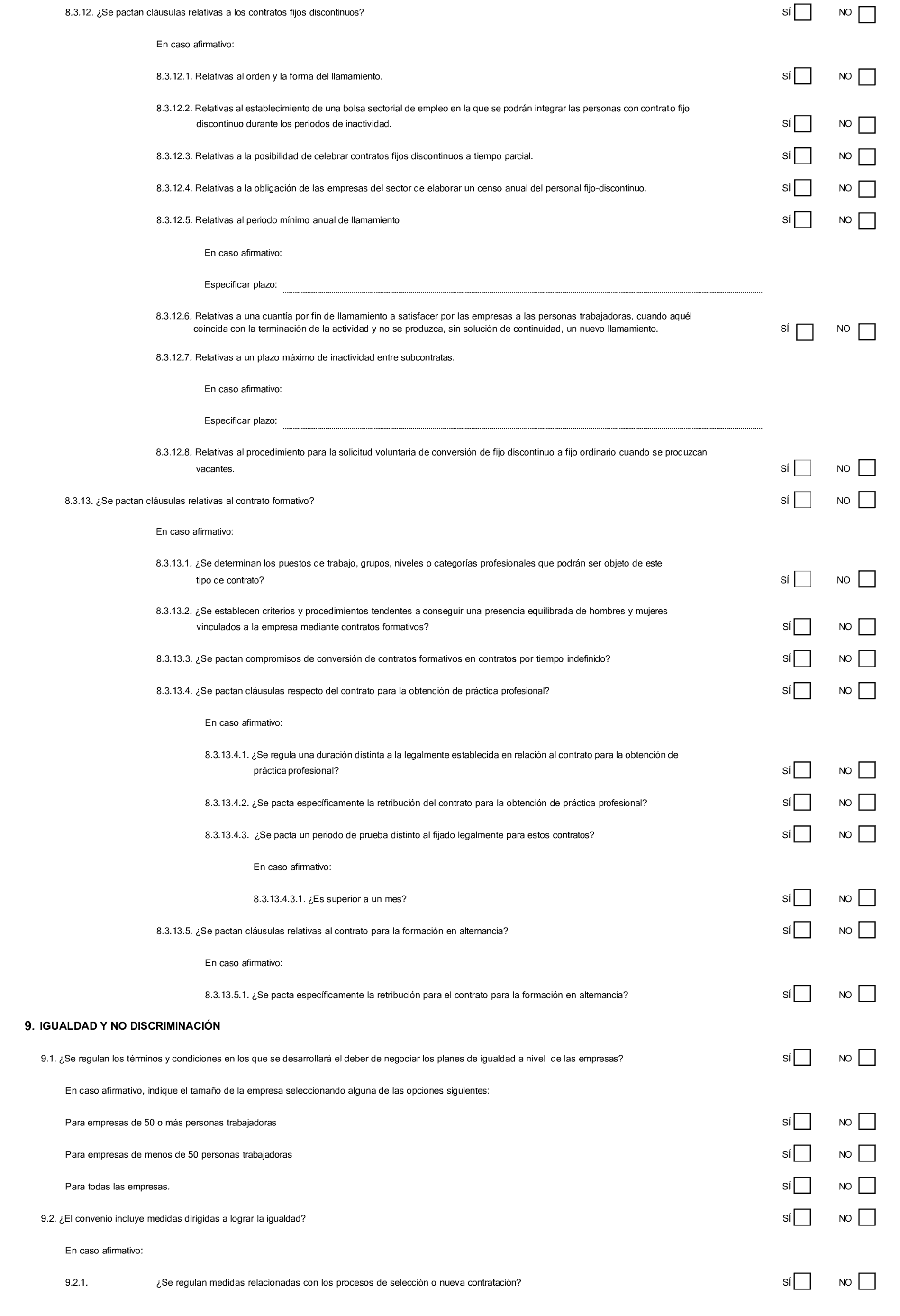
ANEXO 2.II
Hoja estadística de Convenios Colectivos de Sector (1)

Imagen: /datos/imagenes/disp/2026/3/158_16494795_1.png

Imagen: /datos/imagenes/disp/2026/3/158_16494795_2.png

Imagen: /datos/imagenes/disp/2026/3/158_16494795_3.png

Imagen: /datos/imagenes/disp/2026/3/158_16494795_4.png

Imagen: /datos/imagenes/disp/2026/3/158_16494795_5.png

Imagen: /datos/imagenes/disp/2026/3/158_16494795_6.png

Imagen: /datos/imagenes/disp/2026/3/158_16494795_7.png

Imagen: /datos/imagenes/disp/2026/3/158_16494795_8.png

Imagen: /datos/imagenes/disp/2026/3/158_16494795_9.png

Imagen: /datos/imagenes/disp/2026/3/158_16494795_10.png

Imagen: /datos/imagenes/disp/2026/3/158_16494795_11.png

ANEXO 2.III
Revisión salarial por cláusula de «Garantía Salarial» (1)

Imagen: /datos/imagenes/disp/2026/3/158_16494796_1.png

ANEXO 2.IV
Revisión salarial anual de los convenios plurianuales o de las prórrogas para los sucesivos años de vigencia (1)

Imagen: /datos/imagenes/disp/2026/3/158_16494797_1.png

Imagen: /datos/imagenes/disp/2026/3/158_16494797_2.png

Disposición final primera. Título competencial.

Esta orden se dicta al amparo de lo dispuesto en el artículo 149.1.7.ª de la Constitución Española, que atribuye al Estado la competencia exclusiva en materia de legislación laboral, sin perjuicio de su ejecución por los órganos de las Comunidades Autónomas.

Disposición final segunda. Entrada en vigor.

La presente orden entrará en vigor el día 15 de enero de 2026 y resultará plenamente aplicable a todos los convenios colectivos y acuerdos colectivos de trabajo que se presenten a partir de esa fecha en la plataforma que da soporte al registro electrónico de convenios, con independencia de la fecha de suscripción del correspondiente convenio o acuerdo colectivo.

Madrid, 31 de diciembre de 2025.–La Vicepresidenta Segunda del Gobierno y Ministra de Trabajo y Economía Social, Yolanda Díaz Pérez.

ANÁLISIS

  • Rango: Orden
  • Fecha de disposición: 31/12/2025
  • Fecha de publicación: 03/01/2026
  • Fecha de entrada en vigor: 15/01/2026
  • Entrada en vigor: en la forma indicada en la disposición final 2.
Referencias anteriores
  • MODIFICA, con efectos desde el 15 de enero de 2026, los anexos 2.I, 2.II, 2.III y 2.IV del Real Decreto 713/2010, de 28 de mayo (Ref. BOE-A-2010-9274).
Materias
  • Convenios colectivos
  • Dirección General de Trabajo
  • Estadística
  • Formularios administrativos
  • Igualdad de género
  • Negociación colectiva
  • Registros administrativos

subir

Axencia Estatal Boletín Oficial do Estado

Avda. de Manoteras, 54 - 28050 Madrid