Contingut no disponible en català

Us trobeu en

Documento BOE-A-2026-2352

Resolución de 19 de enero de 2026, de la Presidencia del Tribunal de Cuentas, por la que se convoca concurso específico para la provisión de puestos de trabajo.

Publicado en:
«BOE» núm. 29, de 2 de febrero de 2026, páginas 15454 a 15476 (23 págs.)
Sección:
II. Autoridades y personal - B. Oposiciones y concursos
Departamento:
Tribunal de Cuentas
Referencia:
BOE-A-2026-2352

TEXTO ORIGINAL

Estando vacantes determinados puestos de trabajo en el Tribunal de Cuentas, que se encuentran dotados presupuestariamente y cuya provisión resulta necesaria para el cumplimiento de sus fines, la Comisión de Gobierno de esta Institución, en el ejercicio de las atribuciones que le confiere el artículo 6.c) y h), en relación con el artículo 93, ambos de la Ley 7/1988, de 5 de abril, de Funcionamiento del Tribunal de Cuentas, en su reunión de 15 de enero de 2026, acordó aprobar las bases de la convocatoria de un concurso específico para la provisión de diversos puestos de trabajo, entre personal funcionario de los subgrupos C1 y C2, en distintos Departamentos y Unidades del Tribunal de Cuentas; acuerdo que, por la presente resolución, se hace público.

El Tribunal de Cuentas se configura en la Constitución como el supremo órgano fiscalizador de las cuentas y de la gestión económica del sector público, sin perjuicio de la función jurisdiccional que tiene encomendada, encaminada al enjuiciamiento de la responsabilidad contable en que incurran quienes tengan a su cargo el manejo de fondos públicos.

Tratándose de un órgano de relevancia constitucional, sus singulares cometidos y funciones, respecto de los que se desarrollan en el ámbito de las Administraciones Públicas, hacen que la labor del personal a su servicio y la cobertura de sus puestos de trabajo haya de adecuarse a las características propias del mismo. Esta adecuación se hace imprescindible teniendo en cuenta la necesaria especificidad del ámbito en el que esta Institución desarrolla su actuación y la especialización de sus funciones que –aun dentro del mismo Tribunal– es distinta en cada Departamento como consecuencia del diferente sector de la actividad sobre el que cada uno de ellos proyecta su actuación fiscalizadora, o el ejercicio de la función jurisdiccional que lleven a cabo. Debe tenerse en cuenta, además, la necesidad de planificar adecuadamente la gestión de los recursos humanos actualmente destinados en el Tribunal, ajustándola al marco descrito y de disponer la reordenación interna de sus efectivos con arreglo a los principios de igualdad, mérito y capacidad, procurando evitar la provisionalidad en la cobertura de los puestos de trabajo, mediante la convocatoria de los mismos a través de los procedimientos legalmente previstos para ello. Por las razones expuestas, y al amparo de lo previsto en el artículo 20.1 c) de la Ley 30/1984, de 2 de agosto, que prevé la posibilidad de convocar concursos dirigidos a personal funcionario destinados en áreas o sectores concretos, este concurso de méritos se dirige a personal funcionario de los subgrupos C1/C2 destinados en el Tribunal de Cuentas.

El concurso específico de méritos que se convoca mediante la presente resolución se regirá por lo previsto en el artículo 20.1, apartados a) y c) de la Ley 30/1984, de 2 de agosto, de medidas para la reforma de la Función Pública y en los artículos 40.1 y 45 del Reglamento General de Ingreso del Personal al servicio de la Administración del Estado y de Provisión de Puestos de Trabajo y Promoción Profesional de los Funcionarios Civiles de la Administración General del Estado, aprobado por el Real Decreto 364/1995, de 10 de marzo, todos ellos de aplicación en el Tribunal de Cuentas conforme a los artículos 37.1 de la Ley Orgánica 2/1982, de 12 de mayo, del Tribunal de Cuentas, y 88 de la Ley 7/1988, de 5 de abril, de Funcionamiento del Tribunal.

El presente concurso, de acuerdo con el artículo 14 de la Constitución española, la Directiva 2006/54/CE del Parlamento Europeo y del Consejo, de 5 de julio de 2006, relativa a la aplicación del principio de igualdad de oportunidades e igualdad de trato entre hombres y mujeres en asuntos de empleo y ocupación, el Acuerdo del Pleno del Tribunal de Cuentas de 29 de septiembre de 2014, por el que se aprueba el I Plan de Igualdad para mujeres y hombres del Tribunal de Cuentas, y la Ley Orgánica 3/2007, de 22 de marzo, para la igualdad efectiva de mujeres y hombres, tendrá en cuenta el principio de igualdad de trato entre mujeres y hombres en materia de acceso al empleo público, a la formación profesional y a las condiciones de trabajo, por lo que la provisión de puestos de trabajo se efectuará en el marco de los citados principios.

De acuerdo con lo anterior, y en el ejercicio de la competencia que le atribuye el artículo 2.1.b) de la Ley 7/1988, de 5 de abril,

Esta Presidencia ha resuelto convocar un concurso específico para cubrir los puestos de trabajo vacantes que se relacionan en el anexo I de esta resolución y que se desarrollará con arreglo a las siguientes

Bases

Primera. Requisitos y condiciones de participación.

1.1 De acuerdo con lo dispuesto en los apartados a) y c) del artículo 20.1 de la Ley 30/1984, de 2 de agosto, introducido por la Ley 13/1996, de 30 de diciembre, así como el artículo 41.1 del Reglamento General de Ingreso del Personal al servicio de la Administración del Estado y de Provisión de Puestos de Trabajo y Promoción Profesional de los Funcionarios Civiles de la Administración General del Estado, aprobado por el Real Decreto 364/1995, de 10 de marzo, podrá participar en el presente concurso el personal funcionario de carrera que reúna los siguientes requisitos:

a) Pertenecer a los Cuerpos y Escalas de los subgrupos C1/C2 que, a la fecha de terminación del plazo de presentación de solicitudes, se encuentre en servicio activo y esté destinado, sea con carácter definitivo o provisional, en el Tribunal de Cuentas o se halle en la situación de servicios especiales declarados por el Tribunal o en cualquier otra situación administrativa con derecho a reserva de puesto o de nivel en el Tribunal.

b) Cumplir, además, las condiciones de participación, requisitos y circunstancias que se señalan en la presente convocatoria y, específicamente, para cada puesto de trabajo, en el anexo I de la presente resolución.

1.2 Los requisitos, circunstancias y condiciones de participación exigidos en la convocatoria deberán cumplirse en la fecha de finalización del plazo de presentación de las solicitudes de participación y mantenerse hasta la toma de posesión en el puesto adjudicado, salvo por lo que se refiere al destino en el Tribunal de Cuentas, al que resultará de aplicación lo previsto en el apartado 1.1.a) de esta base.

La fecha de referencia para el cumplimiento de los méritos que se aleguen será, igualmente, la del día en que finalice el plazo de presentación de solicitudes.

1.3 El personal funcionario que pertenezca a dos o más Cuerpos o Escalas del mismo o distinto subgrupo de adscripción solo podrá participar desde uno de ellos.

1.4 El personal funcionario en servicio activo que se encuentre ocupando un puesto de trabajo en adscripción provisional en el Tribunal de Cuentas estará obligado a participar en el presente concurso en el caso de que se convoque dicho puesto, solicitando, al menos, el mismo, de acuerdo con lo establecido en los artículos 62.2 y 72.1 del Reglamento General de Ingreso del Personal al servicio de la Administración del Estado y de Provisión de Puestos de Trabajo y Promoción Profesional de los Funcionarios Civiles de la Administración General del Estado.

El personal funcionario sin destino definitivo que, habiendo solicitado el puesto que ocupan provisionalmente, no obtenga una de las plazas convocadas, podrá ser adscrito con carácter provisional a otros puestos vacantes en el Tribunal.

Segunda. Situaciones administrativas de las personas participantes.

2.1 El personal funcionario en servicio activo deberá haber permanecido en el último puesto de trabajo de destino definitivo un mínimo de dos años para poder participar en este concurso, salvo que se trate de personal funcionario con puesto de trabajo en el Tribunal de Cuentas, o en los supuestos previstos en el párrafo segundo del artículo 20.1e) de la Ley 30/1984, de 2 de agosto, de medidas para la reforma de la Función Pública y en el de supresión de su puesto de trabajo.

2.2 El personal funcionario en situación de servicio en otras Administraciones Públicas, de acuerdo con el artículo 88 del texto refundido de la Ley del Estatuto Básico del Empleado Público, aprobado por Real Decreto Legislativo 5/2015, de 30 de octubre, que, después de transcurridos dos años desde su transferencia o traslado, haya tomado posesión en un ulterior destino definitivo obtenido voluntariamente, no podrá participar hasta que hayan transcurrido dos años desde su incorporación al mismo; todo ello sin perjuicio de eventuales situaciones por causa de remoción, cese o supresión acaecidas en ese ulterior puesto.

2.3 Al personal funcionario que haya accedido a otro Cuerpo o Escala por promoción interna o por integración y permanezca en el puesto de trabajo que desempeñaba, se le computará el tiempo de servicios prestados en dicho puesto en el Cuerpo o Escala de procedencia, a efectos exclusivos de la permanencia de los dos años en destino definitivo para poder concursar.

Tercera. Modelos, plazos y formalidades de la solicitud.

3.1 Las solicitudes para participar en el concurso se dirigirán a la Presidencia del Tribunal de Cuentas.

De conformidad con lo establecido en el artículo 14.3 de la Ley 39/2015, de 1 de octubre, y en la disposición adicional primera del Reglamento de actuación y funcionamiento del sector público por medios electrónicos, aprobado por el Real Decreto 203/2021, de 30 de marzo, de aplicación al Tribunal de Cuentas conforme a los artículos 37.1 de la Ley Orgánica 2/1982, de 12 de mayo, del Tribunal de Cuentas, y 93 de la Ley 7/1988, de 5 de abril, de Funcionamiento del Tribunal, las personas aspirantes deberán realizar la presentación de las solicitudes y documentación anexa por medios electrónicos, a través de la sede electrónica de la web del Tribunal de Cuentas (https://sede.tcu.es), en el plazo de quince días hábiles contados a partir del día siguiente al de la fecha de publicación de esta convocatoria en el «Boletín Oficial del Estado».

La presentación electrónica permitirá:

– La cumplimentación e inscripción en línea, conforme al modelo establecido en el anexo I.

– Anexar documentos a la solicitud.

– El registro electrónico de la solicitud.

El sistema generará un «número de identificación de la solicitud», que servirá para identificar, de forma anónima, cada solicitud y servirá para el seguimiento del proceso. En aplicación de este sistema de anonimización, el «número de identificación de la solicitud» será el único dato identificativo utilizado durante las fases de admisión de solicitudes, evaluación y publicación de resultados, sin incluir datos personales.

La no presentación en tiempo y forma o por medios distintos de los previstos supondrá la exclusión de la persona.

Si durante el plazo de presentación de solicitudes se presentara más de una instancia, solo se atenderá a la presentada en último lugar, quedando anuladas las anteriores.

3.2 De acuerdo con el artículo 32.4 de la Ley 39/2015, de 1 de octubre, del Procedimiento Administrativo Común de las Administraciones Públicas, si una incidencia técnica debidamente acreditada imposibilitara el funcionamiento ordinario de los sistemas, se podrá acordar la ampliación del plazo de presentación de solicitudes, siempre y cuando este no hubiera vencido, debiendo publicarse en la sede electrónica tanto la incidencia técnica acontecida como la ampliación concreta del plazo acordada.

3.3 Para participar en el concurso se deberá anexar la siguiente documentación:

1. Anexo III. Certificado de méritos, que deberá ser expedido por la Subdirección de Recursos Humanos, utilizando necesariamente dicho modelo, y recogerá aquellos méritos, requisitos y datos imprescindibles que en él se señalan.

Ello sin perjuicio de que la Subdirección de Recursos Humanos del Tribunal de Cuentas pueda solicitar de las personas interesadas la acreditación de aquellos datos y antecedentes de los que no se tenga constancia o, en su caso, la documentación adicional que se estime necesaria para la comprobación de los méritos alegados.

2. Las personas interesadas deberán anexar, en todo caso, los certificados de funciones o experiencia profesional que consideren adecuados a fin de acreditar los méritos alegados en relación con la segunda fase del concurso.

3.4 Las personas participantes con alguna discapacidad podrán pedir la adaptación del puesto o de los puestos de trabajo. A la solicitud se deberá acompañar un informe expedido por el órgano competente en la materia, que acredite la procedencia de la adaptación y la compatibilidad con el desempeño de funciones que tenga atribuido el puesto o los puestos solicitados. La compatibilidad con el desempeño de las funciones propias del puesto de trabajo se valorará teniendo en cuenta las adaptaciones que se puedan realizar en él.

3.5 En el supuesto de estar interesadas en las vacantes convocadas dos personas que reúnan los requisitos exigidos, podrán condicionar todos o parte de los puestos que se incluyen en sus solicitudes, por razones de convivencia familiar, al hecho de que ambas obtengan destino en este concurso, entendiéndose, en caso contrario, anulada la petición de los puestos condicionados efectuada por ambas, quedando vigente el resto de sus solicitudes.

Las personas participantes que se acojan a esta petición deberán concretarlo en su solicitud y anexar fotocopia de la petición de la otra persona solicitante.

Los puestos sometidos a dicha condición habrán de solicitarse en los primeros números de orden del anexo I de la convocatoria.

Cuarta. Procedimiento de exclusión. Renuncias y desistimientos a la participación en el concurso.

4.1 Finalizado el plazo de presentación de solicitudes de participación y, en todo caso, antes de la constitución de la Comisión de Valoración del concurso, se acordará la exclusión de las personas candidatas que no reúnan los requisitos exigidos en la convocatoria, abriendo un plazo de cinco días hábiles para las posibles alegaciones por parte de las personas excluidas. El listado de exclusiones se publicará en la sede electrónica del Tribunal (sede.tcu.es).

4.2 Una vez transcurrido el plazo de presentación de solicitudes, estas serán vinculantes para el peticionario, sin que puedan ser objeto de modificación, aceptándose, no obstante, renuncias parciales a algunos de los puestos solicitados hasta la primera reunión de la Comisión de Valoración, cuya fecha se anunciará en la sede electrónica del Tribunal (sede.tcu.es).

4.3 Se admitirá, asimismo, el desistimiento de la solicitud realizada (que incluirá necesariamente la totalidad de los puestos solicitados) hasta el día anterior a la fecha de publicación de los listados provisionales de valoración de los méritos de la primera fase del concurso. Dicha fecha será objeto de publicidad con antelación.

Finalizado el plazo de presentación de solicitudes solo será posible la presentación, en los términos previstos en esta convocatoria, de aquella documentación que las personas interesadas acrediten haber solicitado antes de la finalización del plazo de presentación de solicitudes, pero que, obrando en poder de la Administración, no haya podido ser expedida en plazo.

Quinta. Valoración de los méritos.

El presente concurso específico consta de dos fases, cuya valoración se realizará de la siguiente manera: en la primera de ellas se valorarán, de acuerdo con lo previsto para esta fase, los méritos generales; y, en la segunda, los méritos específicos adecuados a las características de cada puesto determinados en el anexo I.

Los méritos se valorarán con referencia a la fecha de cierre del plazo de presentación de instancias y se acreditarán documentalmente mediante: a) en relación con los méritos generales, el certificado de méritos (anexo III); y b) mediante títulos, diplomas u otra documentación fehaciente, cuando se trate de conocimientos, y certificaciones acreditativas de los citados méritos, si se alega experiencia en relación con los méritos específicos.

A efectos de valoración de los méritos generales, el anexo III deberá referirse a los requisitos y méritos correspondientes al cuerpo o escala desde el que se participe, a excepción de la valoración del mérito general de la antigüedad, que se realizará de acuerdo con lo previsto en la base quinta, apartado 5.1.4, de esta convocatoria y de los cursos realizados por las personas aspirantes, que se valorarán atendiendo a los acreditados por los mismos y de acuerdo con lo previsto en el apartado 5.1.3.

Para poder obtener un puesto de trabajo en el presente concurso habrá de alcanzarse una puntuación mínima de nueve puntos en la primera fase y de seis en la segunda. Las personas participantes que en la primera fase no obtengan la puntuación mínima exigida no podrán pasar a la segunda.

La valoración de los méritos se efectuará de acuerdo con el siguiente baremo:

5.1 Fase primera. Méritos generales.

5.1.1 Grado personal consolidado.

El grado personal consolidado se valorará en relación con el nivel de los puestos de trabajo solicitados, hasta un máximo de 4,00 puntos, de la siguiente forma:

Grado personal del concursante respecto del nivel del puesto al que concursa Puntos
Superior en dos o más niveles. 4,00
Superior en un nivel. 3,75
De igual nivel. 3,50
Inferior en un nivel. 3,25
Inferior en dos o más niveles. 3,00

En este apartado se valorará, en su caso, el grado personal reconocido por cualquier Administración Pública o en la Sociedad Estatal de Correos y Telégrafos, en el Cuerpo o Escala desde el que participa el funcionario, cuando se halle dentro del intervalo de niveles establecido en el artículo 71.1 del Reglamento General de Ingreso del Personal al Servicio de la Administración del Estado y de Provisión de Puestos de Trabajo y Promoción Profesional de los Funcionarios Civiles de la Administración General del Estado, para el subgrupo de titulación en el que se encuentre clasificado el mismo.

En el supuesto de que el grado reconocido en el ámbito de otras Administraciones Públicas o en la Sociedad Estatal de Correos y Telégrafos exceda del máximo establecido en la Administración General del Estado, de acuerdo con el artículo 71 del reglamento mencionado en el párrafo anterior, para el subgrupo de titulación a que pertenezca el funcionario, deberá valorársele el grado máximo correspondiente al intervalo de niveles asignado a su subgrupo de titulación en la Administración General del Estado.

El personal funcionario que considere tener un grado personal consolidado, o que pueda ser consolidado durante el período de presentación de solicitudes, deberá recabar de las unidades competentes en materia de recursos humanos que dicha circunstancia quede expresamente reflejada en el anexo III.

5.1.2 Trabajo desarrollado.

El trabajo desarrollado se evaluará, hasta un máximo de 8,00 puntos, de la forma siguiente:

a) Por el desempeño de puestos de trabajo durante los últimos cinco años, según el nivel del complemento de destino del puesto o de los puestos desempeñados por la persona solicitante con carácter provisional o definitivo, hasta un máximo de 4,00 puntos, distribuidos de la siguiente forma:

  Puntos por mes trabajado
Por el desempeño de puestos de trabajo de nivel de complemento de destino superior al del puesto al que se concursa. 0,067
Por el desempeño de puestos de trabajo de nivel de complemento de destino igual al del puesto al que se concursa. 0,050
Por el desempeño de puestos de trabajo de nivel de complemento de destino inferior en un nivel al del puesto al que se concursa. 0,040
Por el desempeño de puestos de trabajo de nivel de complemento de destino inferior en dos o más niveles al nivel del puesto al que se concursa. 0,030

En el caso de personal funcionario procedente de las situaciones de servicios especiales o de otras situaciones administrativas con reserva de puesto, se atenderá al nivel del puesto que tuviera reservado, o de un puesto equivalente al que ocupaban, ya fuera con carácter provisional o definitivo, si se encontrara en el tercer año de excedencia por cuidado de familiares.

El tiempo de permanencia en la situación administrativa de excedencia por cuidado de familiares, regulado en el artículo 89.4 del texto refundido de la Ley del Estatuto Básico del Empleado Público, se considerará como de prestación de servicios efectivos.

A estos efectos, en relación con el personal funcionario que concurse sin nivel de complemento de destino, se entenderá que presta sus servicios en un puesto del nivel mínimo correspondiente al subgrupo de su cuerpo o escala.

Al personal funcionario cesado en puestos de libre designación, removido de puestos obtenidos por concurso o cuyo puesto haya sido suprimido, que se encuentre pendiente de asignación de puesto de trabajo, se le valorará el nivel de complemento de destino correspondiente a su grado personal consolidado.

b) Se valorará, asimismo, hasta un máximo de 4,00 puntos, la experiencia en el desempeño de funciones pertenecientes al área funcional o sectorial a la que corresponden los puestos convocados y la similitud de su contenido técnico o especialización.

Los cuatro puntos de este epígrafe se distribuirán de la siguiente forma:

Puesto ocupado por la persona concursante Puntos
En el mismo Departamento o Unidad y de similar contenido técnico o especialización al del puesto convocado. 4,00
En la misma área de actividad de adscripción del puesto solicitado. 3,00
En áreas de actividad distintas a la de adscripción del puesto solicitado. 2,00

A tales efectos, se considerarán como áreas de actividad la Sección de Fiscalización, la de Enjuiciamiento y la Secretaría General, entendiéndose incluidas en la Sección de Fiscalización, además de su Presidencia y Departamentos, el Departamento de Partidos Políticos; en la Sección de Enjuiciamiento, su Presidencia y Departamentos; y, en la Secretaría General, la Intervención. La Presidencia del Tribunal y la Fiscalía se considerarán, a estos efectos, incluidas en ambas Secciones.

5.1.3 Cursos de formación y perfeccionamiento: Se valorarán hasta un máximo de 6 puntos.

Los cursos susceptibles de valoración serán únicamente los recibidos o impartidos especificados en la convocatoria (anexo I), en el marco del Plan de Formación del Tribunal de Cuentas o de la formación para el empleo de las Administraciones Públicas, no pudiéndose valorar los pertenecientes a una carrera universitaria, los de doctorado, los derivados de procesos selectivos y los diplomas relativos a jornadas, seminarios, simposios, máster y similares.

Solo se tendrán en cuenta los cursos acreditados en el anexo III (Certificado de méritos) o, en su defecto, aquellos respecto a los cuales se haya expedido diploma y certificación de asistencia y/o, en su caso, certificación de aprovechamiento o impartición, los cuales deberán ser acreditados documentalmente por las personas interesadas dentro del plazo de presentación de solicitudes.

No serán objeto de valoración aquellos cursos en cuya certificación no aparezca su duración, salvo los que estén inscritos en el Registro Central de Personal, en cuyo caso se estará a las disposiciones que regulen la inscripción de los mismos en cuanto a su duración.

La valoración de estos cursos se efectuará en la siguiente forma:

a) Cursos recibidos:

Solo se valorarán los cursos recibidos con una duración igual o superior a diez horas.

– Los cursos de duración igual o superior a diez horas e inferior a quince se valorarán a razón de 0,5 puntos por curso.

– Los cursos de duración igual o superior a quince horas se valorarán a razón de 1 punto por curso.

b) Cursos impartidos:

Los cursos impartidos se valorarán con 1 punto, siempre que tengan una duración igual o superior a cinco horas.

Cada curso solo podrá ser valorado una vez y no se podrá acumular las puntuaciones obtenidas como receptor e impartidor. En caso de coincidencia, se otorgará la puntuación correspondiente como curso impartido.

Adicionalmente a los citados 6,00 puntos, se valorarán asimismo y con una puntuación de 0,125 por curso, con un máximo de 0,250 puntos, los cursos en materia de igualdad reconocidos por las Administraciones Públicas, así como los cursos de prevención de riesgos laborales y los de salud laboral.

5.1.4 Antigüedad.

Se valorará la antigüedad total acreditada por la persona solicitante, a razón de 0,20 puntos por año completo de servicio, hasta un máximo de 4,00 puntos, incluyéndose en el cómputo los servicios reconocidos al amparo de lo dispuesto en la Ley 70/1978, de 26 de diciembre, prestados en cualquier cuerpo, escala o plaza. No se valorarán, a estos efectos, los servicios prestados simultáneamente con otros ya computados.

5.1.5 Méritos referidos a la conciliación de la vida personal, familiar y laboral.

El personal funcionario que alegue causas relativas a la conciliación de la vida personal, familiar y laboral para la adjudicación de un puesto en distinta localidad deberá solicitar la totalidad de los puestos de trabajo convocados, siempre que se cumplan los requisitos establecidos en la convocatoria.

En caso contrario, esto es, si no se solicitan todos los puestos de trabajo convocados, los supuestos de conciliación de la vida personal, familiar y laboral solo serán objeto de valoración para la posible adjudicación de las plazas que tengan igual o inferior nivel de complemento de destino que el del puesto desempeñado o aquel que se tenga reservado, en caso de que se concurse desde situación distinta al servicio activo con derecho a reserva de puesto.

Se valorarán con un máximo de 4,00 puntos las siguientes situaciones:

a) El destino previo del cónyuge funcionario:

Se valorará con 2,00 puntos siempre que se haya obtenido, mediante convocatoria pública, en el municipio donde radique el puesto o puestos de trabajo solicitados y se acceda desde municipio distinto.

A estos efectos, no se otorgará puntuación a aquellos supuestos en los que la persona participante ocupe ya un puesto de trabajo con carácter provisional (adscripción provisional o comisión de servicios) en el municipio donde tiene destino el cónyuge funcionario o la cónyuge funcionaria.

b) El cuidado de hijos/as o cuidado de un familiar:

Se valorará con 2,00 puntos, siendo incompatibles entre sí ambos supuestos.

Cuidado de hijos/as: Se valorará tanto cuando se trate de hijos/as por naturaleza como por adopción o acogimiento permanente o preadoptivo, hasta que cumplan doce años, siempre que se acredite fehacientemente que la obtención del puesto que se solicita permitirá una mejor atención del menor, de acuerdo con el Real Decreto 255/2006, de 3 de marzo.

Cuidado de un familiar: Se valorará hasta el segundo grado inclusive de consanguinidad o afinidad, siempre que, por razones de edad, accidente, enfermedad o discapacidad no pueda valerse por sí mismo y no desempeñe actividad retribuida y se acceda desde un municipio distinto, siempre que se acredite que la obtención del puesto que se solicita permitirá una mejor atención del familiar, de acuerdo con el Real Decreto 255/2006, de 3 de marzo.

En relación con el cuidado de familiar, no se otorgará puntuación en aquellos supuestos en los que la persona participante ocupe ya un puesto de trabajo con carácter provisional (adscripción provisional o comisión de servicios) en el municipio donde radique el familiar cuyo cuidado se pretende.

Para que puedan ser valoradas situaciones relativas a la conciliación familiar, las personas solicitantes que las aleguen deberán acreditarlo necesariamente mediante la presentación de la documentación que se especifica en la base sexta, apartado 6.2, de esta convocatoria antes del cierre del plazo de presentación de solicitudes.

La puntuación máxima de esta fase será de 26,25 puntos.

La valoración provisional de esta primera fase se publicará en la intranet y en la página web del Tribunal de Cuentas, concediéndose a las personas interesadas un plazo de diez días para que puedan presentar alegaciones ante la Comisión de Valoración.

5.2 Fase segunda. Méritos específicos adecuados a las características del puesto.

5.2.1 Esta fase consistirá en la comprobación y valoración de los méritos específicos alegados por las personas solicitantes, considerando su nivel de adecuación a los requerimientos y características de cada puesto, a la vista de los certificados presentados.

5.2.2 La Comisión de Valoración evaluará los méritos específicos alegados por las personas solicitantes asignando hasta un máximo de 12 puntos.

Únicamente se procederá a valorar como méritos específicos los conocimientos y/o experiencia adquiridos en el desarrollo de las tareas propias de uno o varios puestos de trabajo cuando se hayan estado realizando durante seis meses o más, con independencia del cuerpo, escala o plaza donde se hayan adquirido.

Sexta. Acreditación de los méritos.

6.1 Los méritos generales enumerados en el apartado 1 de la base quinta en lo relativo al grado personal, trabajo desarrollado, cursos en su caso y antigüedad se acreditarán en el certificado de méritos, según modelo que figura como anexo III.

El personal funcionario que alegue participación o impartición de cursos en su solicitud deberá aportar los diplomas o certificados correspondientes, salvo que, constando en su expediente personal, ya figuren en la certificación de méritos (anexo III). No podrá valorarse ningún curso que no figure en dicha certificación o, en defecto de ésta, que la persona candidata no haya acreditado documentalmente con su solicitud.

6.2 El personal funcionario que aleguen méritos referidos a la conciliación de la vida personal, familiar y laboral, deberá aportar, para su acreditación –además de la específica señalada en dicho apartado–, la siguiente documentación, durante el plazo de presentación de solicitudes:

a) Destino previo del cónyuge funcionario:

– Certificación acreditativa del destino del cónyuge, indicando la fecha de toma de posesión del puesto de trabajo y de su forma de provisión, expedida por la Unidad Administrativa competente donde el cónyuge se halle destinado.

– Copia del Libro de Familia o certificación actualizada del Registro Civil de inscripción matrimonial.

b) Cuidado de hijos/as:

– Copia del Libro de Familia o resolución administrativa o judicial de la adopción, acogimiento permanente o preadoptivo.

– Declaración de la persona progenitora solicitante, debidamente firmada, justificando fehacientemente las razones que avalan que el cambio de puesto permite la mejor atención del menor, que únicamente tendrá validez cuando venga motivado en términos de ubicación del puesto que se convoca.

c) Cuidado de un familiar:

– Parentesco: Libro de Familia y/o otros documentos públicos que acrediten la relación hasta el segundo grado, inclusive, de consanguinidad o afinidad.

– Situación de dependencia por edad, accidente, enfermedad o discapacidad: Certificado médico oficial o documento de los órganos de la Administración Pública competente en la materia, acreditativo de tales extremos.

– No desempeño de actividad retribuida: Certificado de no encontrarse en alta en ninguno de los regímenes de la Seguridad Social y declaración de la persona dependiente de que no desempeña actividad retribuida alguna.

– Mejor atención familiar: Declaración de la persona solicitante, debidamente firmada, justificando las razones que avalan que el cambio de puesto permite la mejor atención del familiar.

– En todos los anteriores supuestos, certificado de empadronamiento y certificación o documentación que acredite la discapacidad, cuando sea necesario para acreditar las circunstancias derivadas de dichos documentos.

6.3 Para la acreditación de los méritos específicos de la segunda fase, las personas participantes deberán anexar a su solicitud los correspondientes títulos, diplomas u otra documentación fehaciente, cuando se trate de conocimientos; y certificación acreditativa de las funciones realizadas, si se alega experiencia. Las certificaciones deberán estar expedidas, al menos, por Subdirectores o cargos asimilados; o con su visado, cuando quien expida el documento ocupe puesto de nivel inferior a aquéllos.

Los méritos exigidos en el anexo I en relación con la primera fase del concurso deberán referirse necesariamente a los del Cuerpo o Escala desde el que se participa en el concurso, salvo por lo que se refiere al mérito de la antigüedad, que se valorará de conformidad con lo previsto en el apartado 5.1.4 (base quinta) y a los cursos realizados por las personas aspirantes, que se valorarán atendiendo a todos los acreditados por los mismos.

6.4 Para la certificación de los méritos y funciones descritos en los apartados anteriores, se aplicará lo dispuesto en el artículo 57 de la Ley Orgánica 3/2007, de 22 de marzo, para la Igualdad efectiva de mujeres y hombres, según el cual en las bases de los concursos para la provisión de puestos de trabajo se computará, a los efectos de valoración del trabajo desarrollado y de los correspondientes méritos, el tiempo que las personas candidatas hayan permanecido en las situaciones a que se refiere el artículo 56 de la citada ley orgánica.

6.5 De acuerdo con el artículo 28.7 de la Ley 39/2015, de 1 de octubre, de Procedimiento Administrativo Común de las Administraciones Públicas, las personas candidatas se responsabilizarán de los documentos que presenten. No obstante, cuando la relevancia del documento lo exija o existan dudas derivadas de la calidad de la copia, se podrán solicitar copias auténticas, de acuerdo con el artículo 27 de dicha ley.

Séptima. Criterios y procedimiento de valoración de los méritos.

7.1 Los méritos, requisitos de participación y cualesquiera otros datos alegados por las personas solicitantes deberán estar referidos a la fecha de terminación del plazo de presentación de solicitudes.

7.2 La valoración de los méritos se efectuará conforme a lo establecido en los artículos 44 y 45 del Reglamento General de Ingreso del Personal al servicio de la Administración General del Estado y de Provisión de Puestos de Trabajo y Promoción Profesional de los Funcionarios Civiles de la Administración General del Estado. El resultado de su aplicación determinará el orden de prioridad de las personas concursantes para la adjudicación de las plazas.

7.3 En la segunda fase del concurso, cada miembro de la Comisión de Valoración deberá puntuar a las personas candidatas tomando en consideración las características y los méritos preferentes que se establecen para cada puesto, pudiendo tomar como referencia los criterios de valoración, puntuaciones e iniciativa de adjudicación expuestos motivadamente por el miembro de la Comisión de Valoración que actúe en representación del Órgano o Departamento donde figure adscrito el puesto correspondiente, que los formalizará por escrito para su debida constancia en el expediente. Dicha motivación deberá referirse a las puntuaciones propuestas para la totalidad de las personas aspirantes valorados y para cada uno de los méritos específicos objeto de valoración en esta segunda fase.

7.4 La valoración de los méritos específicos de la fase segunda se efectuará mediante la puntuación obtenida con la media aritmética de las otorgadas por cada uno de los miembros de la Comisión de Valoración, debiendo desecharse a estos efectos la máxima y la mínima concedidas o, en su caso, una de las que aparezcan repetidas como tales. Las puntuaciones otorgadas, así como la valoración final, deberán reflejarse en el acta que se levantará al efecto. La puntuación final determinará el orden de prioridad de las personas concursantes para la adjudicación de los puestos.

7.5 La propuesta de adjudicación deberá recaer sobre la persona candidata que, en cada puesto, haya obtenido mayor puntuación, sumados los resultados finales de las dos fases.

7.6 En caso de empate en la puntuación total final, se acudirá para dirimirlo, en aplicación de lo dispuesto en el artículo 44.4 del Reglamento General de Ingreso del Personal al servicio de la Administración General del Estado y de Provisión de Puestos de Trabajo y Promoción Profesional de los Funcionarios Civiles de la Administración General del Estado, a los méritos enunciados en la base quinta de la presente convocatoria, por el mismo orden allí expresado y, de persistir el empate, se acudirá a la fecha de ingreso, como funcionario/a de carrera, en el cuerpo o escala desde el que se concursa y, en su defecto, al número obtenido en el proceso selectivo.

7.7 Tanto la solicitud de participación como el resto de los anexos deberán cumplimentarse de forma que permita a la Comisión de Valoración el conocimiento y cómputo de las diferentes circunstancias y méritos de las personas candidatas, para lo que deberán éstos acreditar, mediante los pertinentes documentos, todos los datos alegados. La Comisión de Valoración, en cualquier momento, podrá contrastar estos datos, a través de la Subdirección de Recursos Humanos, con los existentes en el Tribunal de Cuentas o, en su caso, órgano similar de la Administración Pública de que se trate, solicitar las oportunas aclaraciones y comprobantes a la persona concursante y, si procediera, modificar la puntuación otorgada. Las posibles discrepancias o dudas subsistentes serán resueltas, definitivamente, según los datos aportados por la Subdirección de Recursos Humanos del Tribunal de Cuentas o, en su caso, por el Registro Central de Personal.

7.8 Los puestos de trabajo incluidos en la convocatoria no podrán declararse desiertos cuando existan concursantes que, habiéndolos solicitado, hubiesen obtenido las puntuaciones mínimas exigidas.

Octava. Comisión de Valoración.

8.1 La valoración de los méritos y la propuesta de adjudicación de cada uno de los puestos a la persona solicitante que hubiera obtenido mayor puntuación será realizada por una Comisión de Valoración, que se ajustará al principio de composición equilibrada de mujeres y hombres, de acuerdo con el segundo párrafo del artículo 53 de la Ley Orgánica 3/2007, de 22 de marzo, para la igualdad efectiva de mujeres y hombres. Ésta estará integrada por los siguientes miembros:

Presidente/a: Un/a funcionario/a de cuerpos o escalas de los subgrupos A1 o A2, con destino en la Subdirección de Recursos Humanos del Tribunal de Cuentas.

Secretario/a: Un/a funcionario/a de cuerpos o escalas de los subgrupos A1, A2 o C1, con destino en el Tribunal de Cuentas.

Vocales: Cinco funcionarios/as de cuerpos o escalas de los subgrupos A1, A2 o C1, con destino en el Tribunal de Cuentas.

Las organizaciones sindicales más representativas y las que cuenten con más del diez por ciento de representantes en el conjunto de las Administraciones Públicas o en el ámbito del Tribunal de Cuentas tendrán derecho a participar como miembros en la Comisión de Valoración.

Las personas representantes de las organizaciones sindicales se designarán a propuesta de éstas, advirtiéndose expresamente que, interesada la propuesta de designación por parte del Tribunal de Cuentas, si no se formulara por dichas organizaciones sindicales propuesta de nombramiento en el plazo de diez días hábiles, se entenderá que la organización sindical de que se trate decae en su derecho.

Todas las personas representantes designadas tendrán el carácter de miembros permanentes titulares, de cada uno de los cuales, con iguales requisitos de condición y adscripción, se designará un suplente.

8.2 Con el carácter de miembro no permanente, participará en los cometidos de la Comisión de Valoración, cuando sea convocada para ello, una persona representante del Departamento o Unidad de adscripción de los puestos objeto del concurso. Esta será designada por la Secretaría General del Tribunal de Cuentas, a propuesta de los titulares del Departamento o Unidad afectada.

8.3 El número de las personas representantes de las organizaciones sindicales no podrá ser igual o superior al de los miembros designados a propuesta de la Administración, tal y como dispone el artículo 46 del Reglamento General de Ingreso del Personal al servicio de la Administración General del Estado y de Provisión de Puestos de Trabajo y Promoción Profesional de los Funcionarios Civiles de la Administración General del Estado.

8.4 Todos los miembros de la Comisión de Valoración deberán, además de pertenecer a cuerpos o escalas de grupo de titulación igual o superior al exigido para los puestos convocados, poseer grado personal o desempeñar puestos de nivel igual o superior al de los convocados.

8.5 La Comisión de Valoración podrá solicitar de la autoridad convocante la designación de personas expertas, que, en calidad de asesoras, actuarán con voz pero sin voto, de acuerdo con el artículo 46 del Reglamento General de Ingreso del Personal al servicio de la Administración General del Estado y de Provisión de Puestos de Trabajo y Promoción Profesional de los Funcionarios Civiles de la Administración General del Estado.

8.6 Una vez que se determine la composición nominal de la Comisión de Valoración mediante Resolución de la Secretaría General, actuando por delegación de la Comisión de Gobierno, dicha composición se hará pública en la sede electrónica del Tribunal para general conocimiento y, en particular, a los efectos de abstención y recusación previstos en los artículos 23 y 24 de la Ley 40/2015, de 1 de octubre, de Régimen Jurídico del Sector Público.

Novena. Resolución del concurso.

9.1 La Comisión de Valoración propondrá a la Comisión de Gobierno del Tribunal de Cuentas las personas candidatas que hayan obtenido mayor puntuación para cada puesto, de acuerdo con lo establecido en la base quinta.

9.2 El concurso se resolverá por la Comisión de Gobierno del Tribunal de Cuentas y se hará público mediante Resolución de la Presidencia del Tribunal de Cuentas, que será objeto de publicación en el «Boletín Oficial del Estado».

9.3 La resolución, que deberá dictarse en un plazo no superior a seis meses a contar desde el día siguiente al de la finalización del plazo de presentación de solicitudes, siendo inhábil, en su caso, a efectos de cómputo de plazos el mes de agosto, deberá expresar, además del puesto adjudicado, el de origen de cada persona adjudicataria, con indicación del respectivo Organismo de origen y nivel de complemento de destino, así como su subgrupo de clasificación y, en su caso, la situación administrativa de procedencia.

9.4 En los términos del artículo 47.2 del Reglamento General de Ingreso del Personal al servicio de la Administración General del Estado y de Provisión de Puestos de Trabajo y Promoción Profesional de los Funcionarios Civiles de la Administración General del Estado, la resolución del concurso se motivará con expresa referencia al cumplimiento de las normas reglamentarias y de las presentes bases. En todo caso, deberán quedar acreditadas en el expediente, como fundamento de la resolución adoptada, la observancia del procedimiento debido y la valoración final de los méritos de las personas candidatas.

9.5 El plazo de toma de posesión del nuevo destino obtenido será de tres días hábiles si no implica cambio de residencia del/de la funcionario/a; o de un mes, si comporta cambio de residencia o el reingreso al servicio activo. Dicho plazo de toma de posesión empezará a contarse a partir del día siguiente al del cese, que deberá efectuarse dentro de los tres días hábiles siguientes al de la publicación de la resolución del concurso en el «Boletín Oficial del Estado». Si la resolución comporta el reingreso al servicio activo, el plazo de toma de posesión deberá computarse desde dicha publicación.

Lo establecido en el párrafo anterior se entiende sin perjuicio de la aplicación, en su caso, de lo dispuesto en el punto 2 del artículo 48 del Reglamento General de Ingreso del Personal al servicio de la Administración General del Estado y de Provisión de Puestos de Trabajo y Promoción Profesional de los Funcionarios Civiles de la Administración General del Estado, en materia de posible aplazamiento de las fechas de cese y toma de posesión por necesidades del servicio.

9.6 El cómputo de los plazos posesorios se iniciará cuando finalicen los permisos o licencias que, en su caso, hayan sido concedidos a las personas interesadas, salvo que, por causas justificadas, el órgano convocante acuerde suspender su disfrute. No obstante, para el personal funcionario que se encuentre en situación de licencia por enfermedad, se diligenciará el cese y la toma de posesión en el nuevo destino. sin que por ello sea necesario que finalice la licencia que tenga concedida.

9.7 El destino adjudicado será irrenunciable, salvo que, antes de finalizar el plazo posesorio, se hubiere obtenido otro destino mediante convocatoria pública, en cuyo caso la persona adjudicataria podrá optar entre los puestos que le hayan sido adjudicados, estando obligada a comunicar la opción realizada a los Organismos en cuyos concursos participó, en el plazo de tres días.

9.8 Los destinos adjudicados se considerarán de carácter voluntario y, en consecuencia, no generarán derecho al abono de indemnización por concepto alguno.

9.9 La publicación en el «Boletín Oficial del Estado» de la resolución del concurso, con adjudicación de los puestos, servirá de notificación a las personas interesadas y, a partir de la misma, empezarán a contarse los plazos establecidos en esta base.

Décima. Recursos.

Contra la presente resolución, las personas interesadas podrán interponer recurso de alzada ante el Pleno del Tribunal de Cuentas en el plazo de un mes, de conformidad con lo establecido en el artículo 21.3.c), de la Ley 2/1982, de 12 de mayo, Orgánica del Tribunal de Cuentas, y en el 3.j) y disposición adicional primera, 1 y 4, de la Ley 7/1988, de 5 de abril, de Funcionamiento del Tribunal, en relación con los artículos 121 y 122 de la Ley 39/2015, de 1 de octubre, del Procedimiento Administrativo Común de las Administraciones Públicas.

Madrid, 19 de enero de 2026.–La Presidenta del Tribunal de Cuentas, Enriqueta Chicano Jávega.

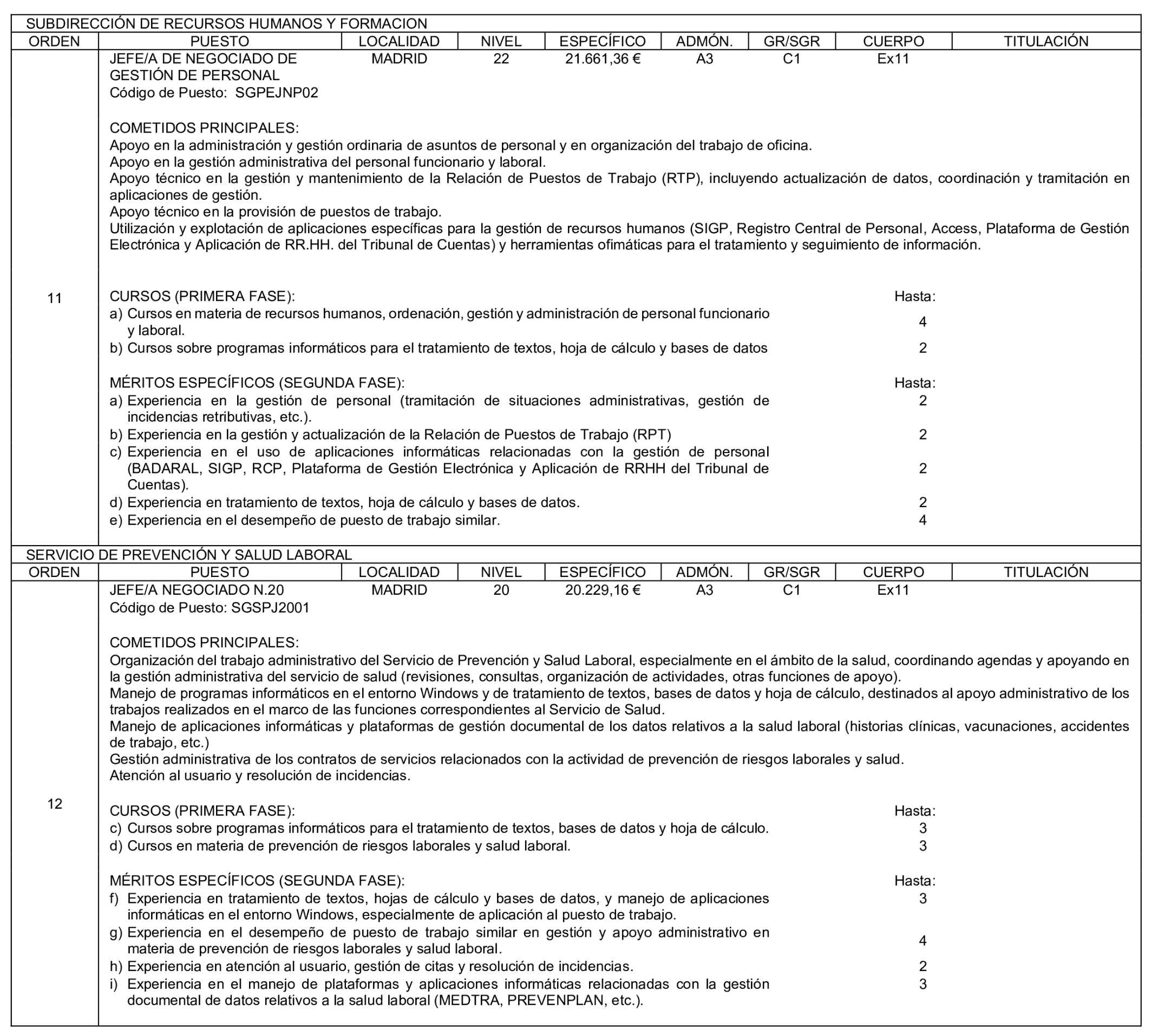
ANEXO I
Puestos convocados

Imagen: /datos/imagenes/disp/2026/29/2352_16574859_1.png

Imagen: /datos/imagenes/disp/2026/29/2352_16574859_2.png

Imagen: /datos/imagenes/disp/2026/29/2352_16574859_3.png

Imagen: /datos/imagenes/disp/2026/29/2352_16574859_4.png

Imagen: /datos/imagenes/disp/2026/29/2352_16574859_5.png

Imagen: /datos/imagenes/disp/2026/29/2352_16574859_6.png

ANEXO II
Solicitud de participación

Imagen: /datos/imagenes/disp/2026/29/2352_16574859_7.png

ANEXO III
Certificado de méritos

Imagen: /datos/imagenes/disp/2026/29/2352_16574859_8.png

Imagen: /datos/imagenes/disp/2026/29/2352_16574859_9.png

ANEXO IV
Méritos alegados

Imagen: /datos/imagenes/disp/2026/29/2352_16574859_10.png

ANÁLISIS

  • Rango: Resolución
  • Fecha de disposición: 19/01/2026
  • Fecha de publicación: 02/02/2026
  • Convocatoria. 12 plazas.

subir

Agència Estatal Butlletí Oficial de l'Estat

Avda. de Manoteras, 54 - 28050 Madrid