Contingut no disponible en català

Us trobeu en

Documento BOE-A-1999-17493

Resolución de 22 de julio de 1999, de la Dirección General del Instituto Nacional de Empleo, por la que se aprueba la convocatoria de financiación de permisos individuales de formación para los cursos 1999-2000 y 2000-2001.

Publicado en:
«BOE» núm. 193, de 13 de agosto de 1999, páginas 30117 a 30132 (16 págs.)
Sección:
III. Otras disposiciones
Departamento:
Ministerio de Trabajo y Asuntos Sociales
Referencia:
BOE-A-1999-17493

TEXTO ORIGINAL

FUNDACIÓN PARA LA FORMACIÓN CONTINUA
Convocatoria de financiación de permisos individuales de formación para los cursos 1999-2000 y 2000-2001

El Acuerdo de bases sobre política de Formación Profesional, el II Acuerdo Nacional de Formación Continua (II ANFC) («Boletín Oficial del Estado» de 1 de febrero de 1997), suscrito por las organizaciones CC.OO., CEOE, CEPYME, UGT y CIG, y el Acuerdo Tripartito en materia de Formación Continua, suscrito entre el Gobierno y las organizaciones anteriormente mencionadas, atribuyen a los interlocutores sociales los aspectos relativos a la organización y gestión de la Formación Continua, a través de la Comisión Tripartita de Formación Continua y del Ente Paritario Estatal, denominado Fundación para la Formación Continua (FORCEM), que se constituyó el 19 de mayo de 1993.

En cumplimiento de estos Acuerdos, se destinarán a la Formación Continua las cantidades convenidas en el Acuerdo Tripartito en materia de Formación Continua, en los términos previstos en la Orden del Ministerio de Trabajo y Asuntos Sociales del 7 de mayo de 1997.

Estos fondos se ven incrementados con la aprobación por la Comisión Europea, para el período 1994-1999, del Programa Operativo en el marco del Objetivo 1 y el Documento Único del Objetivo 4 de intervención de los Fondos Estructurales.

A través de este Acuerdo se pretende el desarrollo de una serie de acciones que permitan proporcionar a los trabajadores y trabajadoras de nuestro país un mejor nivel de cualificación, necesario a fin de promover el desarrollo personal y profesional, mejorar la competitividad de las empresas, adaptar los recursos humanos a las innovaciones tecnológicas y propiciar el desarrollo de nuevas actividades económicas.

FORCEM, como ente paritario estatal de gestión de los Acuerdos, ha venido realizando, desde su creación en mayo de 1993, diversas convocatorias de ayudas a la Formación Continua en las cuatro modalidades de formación recogidas en el I Acuerdo Nacional (Planes Formativos de Empresa, Agrupados e Intersectoriales, así como Permisos Individuales de Formación).

La experiencia acumulada en los últimos años de gestión de la Formación Continua permite perfilar de manera más precisa y estable los términos de la convocatoria, lo que ha posibilitado el fijar un texto que pueda mantenerse durante toda la aplicación de los II Acuerdos, en vigor hasta el año 2000. Ello permitirá una mejor planificación al usuario, y una más pronta publicación de las convocatorias anuales.

La convocatoria que se publica parte también de un empeño por simplificar trámites y requerimientos, lo que, si bien exigirá un esfuerzo adicional de rigor a los usuarios, permitirá una gestión más ágil en beneficio del conjunto de los solicitantes.

Conforme a lo anterior y previo acuerdo de la Comisión Tripartita de Formación Continua y de conformidad con lo previsto en la Orden del Ministerio de Trabajo y Asuntos Sociales de 7 de mayo de 1997, por la que se establecen las bases reguladoras y los criterios para la concesión de ayudas de Formación Continua, con cargo a la financiación prevista en el II Acuerdo Tripartito de Formación Continua («Boletín Oficial del Estado» de 16 de mayo de 1997),

Esta Dirección General del Instituto Nacional de Empleo debe proceder a dictar resolución de convocatoria de financiación de Permisos Individuales de Formación para los cursos 1999-2000 y 2000-2001.

I. DISPOSICIONES GENERALES

1. Principios que rigen las ayudas.

La concesión de ayudas que regulan la presente convocatoria se realizará de acuerdo a los principios de concurrencia, publicidad y objetividad.

2. Objeto.

El desarrollo personal y profesional de los trabajadores ocupados puede facilitarse mediante la adquisición de mayores niveles deformación, de cualificación y de competencia profesional, contribuyendo con ello, no sólo a mejorar la eficacia del sistema productivo, sino también a facilitar la adaptación de los trabajadores ocupados a los cambios tecnológicos, a disminuir el riesgo de desempleo y a promover calidad de vida y bienestar.

Con este fin y en el marco del II Acuerdo Nacional de Formación Continua, la Comisión Tripartita de Formación Continua dedicará los fondos presupuestarios correspondientes, para financiar los Permisos Individuales de Formación que los trabajadores y trabajadoras asalariados soliciten, según la normativa de la presente convocatoria. Dichos Permisos Individuales de Formación se destinarán a la realización de acciones formativas.

3. Acciones financiables.

Son financiables las acciones que permitan la adquisición de un mayor nivel de formación, de cualificación y competencia profesional a los trabajadores y/o su formación personal, y que lleven asociada una titulación oficial, según la normativa de la presente convocatoria.

En ningún caso, los permisos Individuales de Formación tendrán la consideración de permisos necesarios para concurrir a exámenes.

4. Ámbito de aplicación.

4.1 Territorial: Las ayudas contenidas en la presente convocatoria serán de aplicación en la totalidad del territorio nacional.

4.2 Personal: Podrán solicitar Permisos Individuales de Formación todos aquellos trabajadores asalariados de cualquier régimen de afiliación a la Seguridad Social, cualesquiera que sean las funciones que desempeñen, que tengan a la fecha del inicio del disfrute del permiso una antigüedad mínima de un año en la empresa en la que presta sus servicios.

Los trabajadores de las Administraciones Públicas quedan excluidos de la aplicación de esta convocatoria.

4.3 Temporal: Serán financiables por esta convocatoria las acciones formativas de los cursos académicos 1999-2000 y 2000-2001, y podrán ejecutarse desde el 1 de septiembre al 31 de julio del año siguiente.

4.4 Financiero: Las ayudas se financiarán con cargo al ejercicio presupuestario correspondiente al año de realización de las acciones formativas. En el caso de que las acciones formativas se desarrollen durante dos ejercicios presupuestarios se imputarán a cada uno de ellos las horas que les corresponda. La financiación de estas convocatorias quedará supeditada a las disponibilidades de fondos para las mismas y para los colectivos de trabajadores que las conforman.

5. Requisitos.

5.1 De la acción formativa.

a) No estar incluida en el Plan de Formación de la Empresa o Planes Agrupados en los que la empresa pueda participar.

b) Estar dirigida al desarrollo o adaptación de las cualificaciones técnico-profesionales del trabajador y/o a su formación personal.

c) Quedan excluidas del permiso de formación las acciones formativas que no se correspondan con la formación presencial. No obstante, se admitirá la parte presencial de las realizadas mediante la modalidad a distancia.

d) La acción formativa a desarrollar debe estar reconocida por una titulación oficial.

Son titulaciones oficiales aquellas que han sido emitidas por cualquier Administración Pública, publicadas en el «Boletín Oficial del Estado» y con validez en la totalidad del territorio nacional.

Igualmente, se consideran acciones formativas financiables los cursos universitarios de postgrado que tengan consideración de Títulos Universitarios Propios por resolución de la Junta de Gobierno o Consejo Social de la Universidad correspondiente, tal y como se recoge en el artículo 28.3 de la Ley de Reforma Universitaria, de 25 de agosto de 1983.

e) Las titulaciones oficiales pueden ser cursadas bien en centros públicos o centros privados, siempre que estos últimos estén homologados y autorizados por el Ministerio competente en el ámbito de la Administración General del Estado o por los departamentos correspondientes en el ámbito de las Comunidades Autónomas que hubiesen asumido competencias al respecto.

f) Para la recogida de datos de la tesis doctoral sólo podrá financiarse un único Permiso Individual de Formación, siempre que estas horas sean justificadas como tutorías y/o horas presenciales en centros, empresas o archivos. Dicha solicitud deberá presentarse con una certificación del director del centro en el que se recogen los datos o bien del director de la tesis. Asimismo deberá entregarse una justificación que acredite que esta labor debe realizarse dentro del horario laboral.

5.2 De los trabajadores.

a) Ser trabajador asalariado de cualquier régimen de afiliación a la Seguridad Social, según los términos acordados en el II Acuerdo Nacional de Formación Continua.

b) Tener a la fecha del inicio del disfrute del permiso una antigüedad mínima de un año en la empresa en la que presta sus servicios.

c) Presentar por escrito a la Dirección de la empresa la correspondiente solicitud de permiso y obtener éste.

En dicha solicitud se hará constar el objetivo formativo que se persigue, el lugar de impartición, calendario de ejecución (horario, días, meses y períodos de interrupción) y duración del permiso.

d) No estar incluido como alumno del Plan de Formación de la Empresa o Planes Agrupados, en acciones formativas que sean iguales o similares a aquellas que son objeto de la financiación del Permiso Individual de Formación.

5.3 Del Permiso Individual de Formación.

a) El Permiso Individual de Formación retribuido tendrá una duración máxima de doscientas horas de jornada por persona, en función de las características de la acción formativa a realizar.

b) La posible distribución de las horas podrá ser objeto de acuerdo entre la Dirección de la empresa y el/la trabajador/a, buscando, en cualquier caso, el máximo aprovechamiento de las horas dedicadas al mismo.

6. Criterios orientativos para la determinación del volumen de permisos individuales de formación en la empresa.

A efectos de establecer el volumen de permisos a conceder por parte de la empresa, ésta podrá tener en cuenta sus necesidades productivas y organizativas, así como que el disfrute de los mismos no afecte significativamente la realización del trabajo en la empresa, pudiéndose, por tanto, fijar los porcentajes de plantilla que determinen el nivel de simultaneidad en el disfrute del Permiso Individual de Formación. En el caso de que este volumen se haya fijado en convenio colectivo, se estará a lo que en él se determine. Así mismo se podrán aplicar las previsiones que al efecto hayan sido acordadas en los convenios colectivos del sector al que pertenezca la empresa, o bien aquellos que pudiera determinar la correspondiente Comisión Paritaria Territorial.

Como criterios orientativos para la determinación del volumen de permisos en la empresa, en función de su plantilla, podrán seguirse los siguientes: Para empresas cuya plantilla sea inferior a 10 trabajadores, uno; de 11 a 50 trabajadores, hasta dos, no simultáneos; de 51 a 250 trabajadores, de dos hasta un máximo de 10; de 251 a 500 trabajadores, de 10 hasta un máximo de 20; de 501 a 1.500 trabajadores, de 20 hasta un máximo de 40; de 1.501 a 5.000 trabajadores, de 40 hasta un máximo de 80 trabajadores, más de 5.000, hasta 10 permisos por cada 600 trabajadores.

II. PROCEDIMIENTO DE PRESENTACIÓN Y TRAMITACIÓN DE SOLICITUDES

7. Solicitud.

7.1 Solicitud del permiso a la empresa.

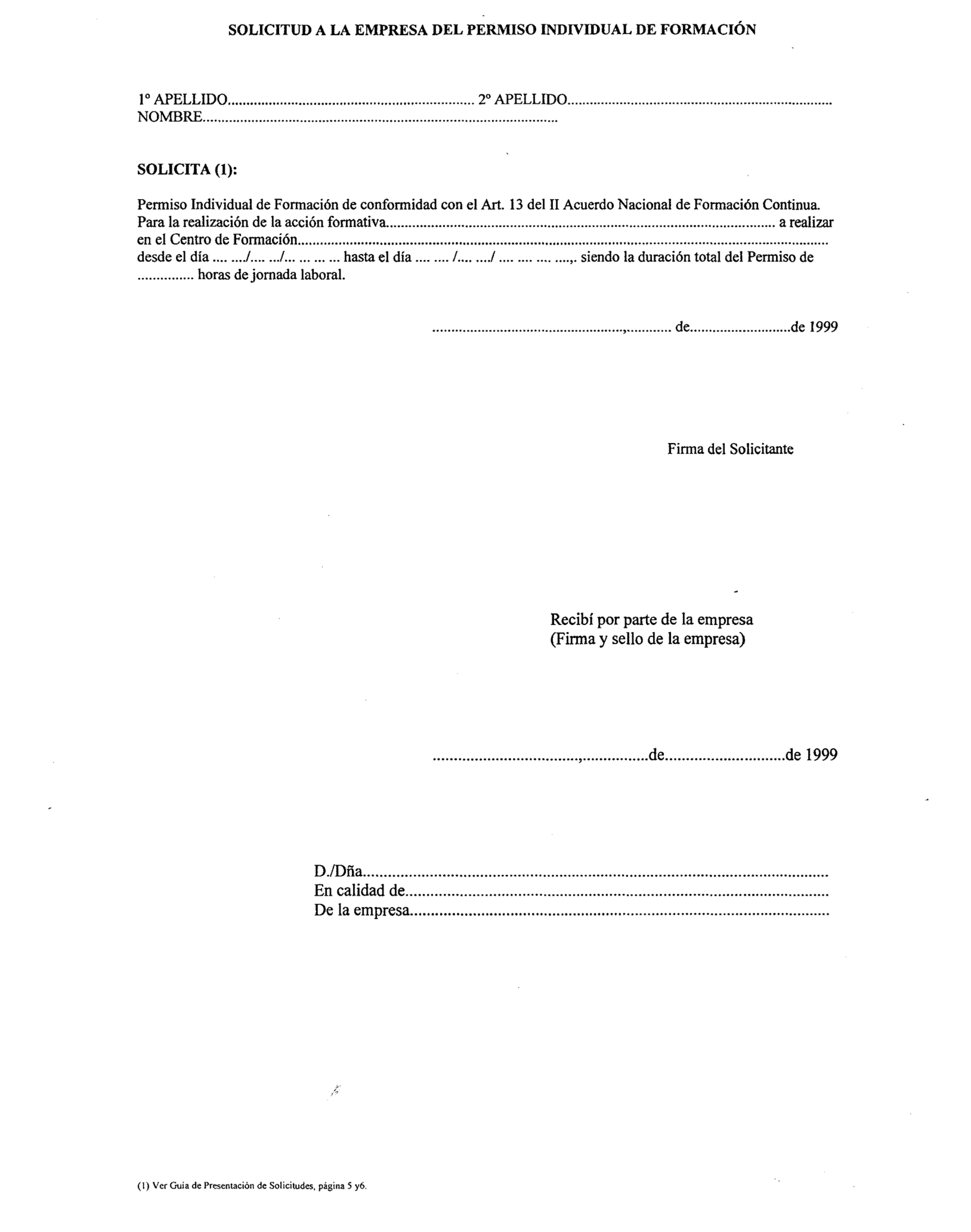
7.1.1 El trabajador solicitará por escrito a la Dirección de la empresa el permiso.

7.1.2 La Dirección de la empresa, recibida la solicitud del trabajador, deberá resolver la misma en el plazo de un mes, con arreglo a lo estipulado en el artículo 13 del II Acuerdo Nacional sobre Formación Continua.

Cuando no se produzca resolución en el plazo previsto, el trabajador, en los cinco días siguientes, podrá solicitar a FORCEM que comunique a la empresa la necesidad de resolver la solicitud en el plazo máximo de diez días y las posibles consecuencias que su ausencia podrá traer de acuerdo con la Ley 8/1988, sobre Infracciones y Sanciones del Orden Social.

7.1.3 A fin de valorar tal solicitud, la empresa podrá tener en cuenta las necesidades productivas y organizativas de la misma, para lo que recabará la opinión de la representación legal de los trabajadores, así como que el disfrute de los permisos no afecte significativamente la realización del trabajo en la empresa. Asimismo, tendrán prioridad para disfrutar el Permiso Individual de Formación aquellos trabajadores que, cumpliendo los requisitos establecidos anteriormente, no hayan participado en una acción formativa de las contempladas en el artículo 13 del II Acuerdo Nacional para la Formación Continua en el plazo anterior de doce meses.

7.1.4 La empresa informará de las solicitudes recibidas a la representación legal de los trabajadores y de sus respuestas a las mismas.

7.1.5 En el supuesto denegatorio de la solicitud, la resolución deberá ser motivada, informando la empresa de la misma al trabajador y a la representación legal de los trabajadores de la empresa.

7.2 Solicitud de financiación ante la Fundación para la Formación Continua.

7.2.1 Presentación de las solicitudes.

El modelo normalizado de solicitud podrá retirarse o solicitarse por correo o teléfono en las sedes de la Fundación para la Formación Continua (en adelante FORCEM), de las Comisiones Paritarias Sectoriales y Territoriales y de las organizaciones empresariales o sindicales firmantes del Acuerdo.

Autorizado el Permiso Individual de Formación por la empresa, la solicitud se presentará o remitirá mediante impreso normalizado a la Fundación para la Formación Continua, FORCEM, calle Arturo Soria, 126-128, 28043 Madrid. A estos efectos se estará a lo establecido en la Ley 4/1999, de modificación de la Ley 30/1992, de 26 de noviembre, de Régimen Jurídico de las Administraciones Públicas y del Procedimiento Administrativo Común («Boletín Oficial del Estado» de 14 de enero de 1999).

7.2.2 Contenido de la solicitud:

a) Solicitud de financiación del Permiso Individual de Formación ante FORCEM.

b) Solicitud del Permiso Individual de Formación del/de la trabajador/a dirigida a la Dirección de la empresa, con expresión de las horas solicitadas de permiso, acción formativa, centro de formación y fecha de recepción de la solicitud por parte de la empresa, con identificación, sello y firma originales de la misma.

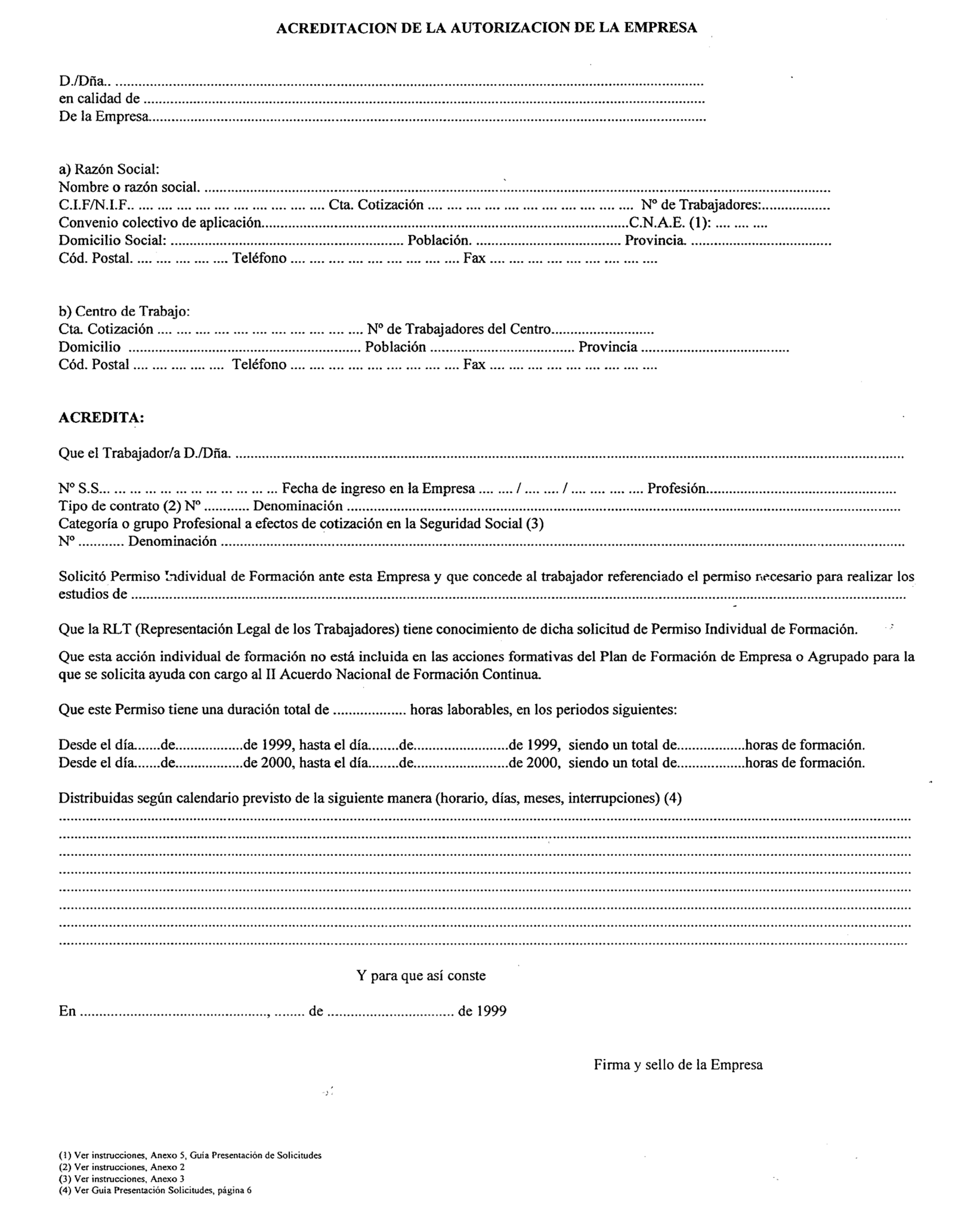
c) Acreditación de la autorización de la empresa, con fecha, sello y firma originales, en la que conste: Persona beneficiaria del permiso, datos de la empresa y del centro de trabajo, tipo de contrato, jornada laboral, categoría o grupo profesional y fecha de ingreso, convenio colectivo de aplicación, acción formativa a realizar, número total de horas de permiso autorizadas distribuidas por año natural, calendario previsto del permiso, incluyendo posibles períodos de interrupción y lugar de impartición de la acción formativa, así como que dicha acción formativa solicitada no está incluida en el Plan de Formación de la Empresa o Planes Agrupados. El calendario del permiso no debe confundirse con el calendario escolar. El calendario del permiso corresponde a las horas de jornada laboral dedicadas al permiso de formación.

d) Certificado original de vida laboral emitido por la Seguridad Social debidamente sellado, o por la empresa cuando esté autorizada para ello debidamente sellado y firmado según la Orden del Ministerio de Trabajo y Seguridad Social de 3 de abril de 1995, en el que conste la antigüedad del trabajador en la empresa correspondiente.

e) Acreditación de que el trabajador está matriculado oficialmente, o, en su defecto, compromiso escrito de hacerlo.

f) En el supuesto de que la acción formativa se realice en un centro de formación privado, acreditar la homologación o reconocimiento oficial tanto del centro, como de la enseñanza objeto de la solicitud. Igualmente, si la acción formativa es un título propio de Universidad, tendrá que acreditar la naturaleza del mismo mediante certificado o publicación del centro.

g) Certificado salarial emitido por la empresa, según modelo del impreso de solicitud, donde consten las horas trabajadas y el salario percibido durante los seis meses anteriores a la fecha de presentación de la solicitud de financiación ante FORCEM. Cuando no se alcance este número, deberán certificarse los datos relativos a los meses de relación laboral con la empresa. El salario estará compuesto por los conceptos siguientes: Salario base, antigüedad y complementos fijos en función de lo recogido en el correspondiente Convenio Colectivo, así como prorrateo de pagas extras. Además deberá constar el tipo de contrato y de jornada laboral.

En el caso de que el trabajador no pueda aportar dicho certificado junto con la solicitud, podrá enviar copia de las nóminas de los seis meses anteriores a la fecha de la presentación de la solicitud o de los que tuviera de relación laboral con la empresa si fueran menos, comprometiéndose a remitir el certificado exigido, lo antes posible y en todo caso, cuando le sea requerido por FORCEM.

7.2.3 Las solicitudes que no se presenten en el plazo establecido en el punto 17.1 y las que no incluyan, como contenido mínimo, los datos incluidos en los apartados 7.2.2 a) y b), no serán admitidas a trámite, procediéndose a su archivo. La ausencia de la solicitud a la empresa no se tendrá en cuenta cuando se presente directamente la autorización del permiso por la misma.

En el supuesto de que no se presente junto a la solicitud la autorización de la empresa, establecida en el punto 7.2.2, c), deberá tenerse en cuenta lo dispuesto en el punto 7.1.2.

Si transcurridos los plazos indicados en dicho punto el trabajador no hubiera solicitado la comunicación a la empresa por parte de FORCEM ni presentado la autorización de la misma para el disfrute del permiso, se procederá al archivo de la solicitud.

Para las solicitudes que no reúnan los restantes requisitos de la solicitud, se estará a lo previsto en el punto 11.1 de la presente convocatoria.

8. Criterios de prioridad y financiación de los permisos.

8.1 Criterios de prioridad:

a) Cumplimiento riguroso de los requisitos expresados en el capítulo I, «Disposiciones Generales», de la presente convocatoria así acreditados en la solicitud correspondiente mediante la información documenta la portada, tal como se prevé en el capítulo II, «Procedimiento», apartado 7, «Solicitud».

b) Grado de capitalización de la acción formativa que permita, con el correspondiente itinerario profesional, su promoción personal y el acceso a enseñanzas superiores con titulación oficial.

c) Grado de modulación de la acción formativa que, estando asociada a un título oficial, permita alcanzar objetivos intermedios orientados a la adquisición de conocimientos y competencias profesionales con valor y significado en el empleo.

8.2 Financiación: La Comisión Paritaria Territorial correspondiente al ámbito territorial del centro de trabajo del solicitante acordará la propuesta de financiación del Permiso Individual de Formación con una cantidad igual al salario real del trabajador durante el tiempo de disfrute del permiso, así como las cotizaciones devengadas a la Seguridad Social durante el período correspondiente. El salario estará constituido por el salario base, antigüedad y complementos fijos en función de lo recogido en el correspondiente Convenio Colectivo, así como el prorrateo de pagas extras.

9. Condiciones y obligaciones.

La percepción de la financiación implica para el solicitante el cumplimiento expreso de:

a) La realización de las acciones que fundamentan la concesión de la ayuda, de acuerdo con las bases, condiciones y requisitos formales y materiales de la presente convocatoria, aceptados con la firma del documento de aceptación.

b) La acreditación ante la Fundación para la Formación Continua de la realización de la acción formativa y del grado de aprovechamiento.

c) Los requisitos y condiciones que determinen la concesión o disfrute de la ayuda concedida, presentando los correspondientes justificantes.

d) Facilitar a la Fundación cuantos datos y documentos le sean solicitados sobre la acción aprobada una vez finalizada ésta, al objeto de permitir la adecuada verificación de su desarrollo.

e) La aceptación de las actuaciones de comprobación que realice la citada Fundación.

f) La comunicación a la Fundación, si el solicitante de un Permiso Individual de Formación ha obtenido subvenciones o ayudas procedentes de cualesquiera de las Administraciones Nacionales o Comunitarias así como aquellas procedentes de cualquier otro ente gestor de fondos públicos que afecten a toda o parte de la actividad prevista en el permiso que se presenta en la actual convocatoria. La ayuda que corresponda deberá resultar compatible con la ya recibida. En caso contrario será reducida en la cuantía ya recibida.

10. Órganos competentes de análisis y resolución:

a) La Comisión Paritaria Territorial será competente para acordar las propuestas de aprobación y financiación de los Permisos Individuales de Formación que se soliciten en el ámbito de su Comunidad Autónoma.

b) La Comisión Mixta Estatal acordará las propuestas correspondientes a los permisos en cuyo ámbito territorial no existe Comisión Paritaria, o cuando ésta no resuelva las propuestas correspondientes en el plazo establecido para ello en el punto 11.4 de la presente convocatoria.

c) La Comisión Tripartita de Formación Continua acordará la aprobación, denegación o archivo de las propuestas de resolución de los órganos indicados en los apartados a) y b), dando traslado del acuerdo a FORCEM y al Instituto Nacional de Empleo.

d) El Director general del Instituto Nacional de Empleo, con base en la propuesta formulada por la Comisión Tripartita de Formación Continua, resolverá sobre la solicitud presentada.

11. Análisis y resolución de solicitudes.

11.1 Presentadas las solicitudes de los permisos, FORCEM podrá solicitar información adicional a la aportada, bien de oficio, bien por indicación de la Comisión Paritaria Territorial, quienes podrán formular requerimientos en los diez días siguientes a la puesta a su disposición de las solicitudes que les están atribuidas.

Cuando se formulen requerimientos, el solicitante deberá contestar dentro de un plazo máximo de diez días, a partir del siguiente a la recepción del requerimiento. De no ser contestado o no hacerlo en el plazo establecido, se considerará desistida la solicitud y se procederá a su archivo.

11.2 Tras el pronunciamiento de los órganos competentes, según se requiera en cada caso, FORCEM formulará propuesta de archivo, denegación o aprobación total o parcial ante la Comisión Tripartita, para que ésta adopte los pertinentes acuerdos de archivo, aprobación o denegación de cada uno de los expedientes presentados.

Una vez adoptado el acuerdo por la Comisión Tripartita, se le comunicará por FORCEM al solicitante, en el domicilio indicado en la solicitud, con copias para la empresa y para la representación legal de los trabajadores, con indicación expresa de los siguientes puntos:

a) La identificación de la trabajadora o del trabajador.

b) La identificación de la acción formativa, denominación del centro de formación, número de horas financiadas, así como fecha de inicio y finalización del permiso financiado.

c) De conformidad con los requisitos de la convocatoria, las condiciones y cuantía de la financiación del Permiso Individual de Formación, así como el plazo máximo de justificación de estar matriculado oficialmente, y de presentación de la certificación de estar al corriente de las obligaciones fiscales y frente a la Seguridad Social, por parte de la empresa.

d) Sistema de acreditación del grado de aprovechamiento, de acuerdo con lo establecido en el punto 14.1 de la presente convocatoria.

11.3 A partir de la recepción del acuerdo adoptado por la Comisión Tripartita, el solicitante dispondrá de un plazo de diez días para aceptarlo o formular las alegaciones que considere oportunas ante FORCEM.

Si se presentaran alegaciones, serán analizadas por FORCEM, que elevará, en su caso, nueva propuesta a la Comisión Tripartita de Formación Continua para la adopción de un nuevo acuerdo en el plazo máximo de quince días, desde la recepción de la misma. De dicho acuerdo se dará traslado al solicitante, quien dispondrá de diez días para aceptarlo.

El acuerdo definitivo se trasladará al INEM, acompañado de la documentación que corresponda. El Director general de este organismo dictará resolución en el plazo máximo de quince días, la cual será notificada al trabajador y a la empresa, a los efectos oportunos.

En el supuesto de que el solicitante no hubiere aceptado ni formulado alegaciones de acuerdo con lo previsto en este artículo, se entenderá desistida la solicitud, procediéndose a su archivo.

11.4 La Comisión Tripartita de Formación Continua, tras la tramitación de las solicitudes de aprobación y financiación por la Fundación para la Formación Continua y a la propuesta de su Patronato, emitirá acuerdo, en los sesenta días siguientes al de cierre del plazo de presentación de solicitudes. Las Comisiones Paritarias Territoriales realizarán las propuestas de acuerdo con el procedimiento establecido. Dicha propuesta deberá comunicarse a FORCEM con la periodicidad que se produzca y como máximo en los cuarenta y cinco días siguientes al de cierre del plazo de presentación de solicitudes.

11.5 Las resoluciones definitivas, relativas a las ayudas solicitadas, adoptadas por el Director general del INEM, no ponen fin a la vía administrativa y contra las mismas cabe recurso de alzada ante el Ministerio de Trabajo y Asuntos Sociales.

11.6 En el supuesto de concesión de la financiación del Permiso Individual de Formación, el trabajador podrá realizar el mismo, en los términos acordados con la Dirección de la empresa y en la resolución, según lo previsto en el anterior punto 11.3.

La resolución aprobatoria dejará de tener efecto desde el momento que deje de prestar sus servicios en la empresa, no pudiendo ser vinculante ni financiable para la nueva empresa las horas de permiso no disfrutadas, salvo en los supuestos de sucesión de empresa regulados en el artículo 44 del Estatuto de los Trabajadores.

11.7 En el supuesto denegatorio de la financiación del permiso, el trabajador podrá utilizar el Permiso de Formación sin remuneración, suspendiendo su contrato por el tiempo equivalente al del citado permiso, de acuerdo con lo establecido en el artículo 13.4 del II Acuerdo Nacional de Formación Continua.

11.8 La Dirección de la empresa abonará al trabajador con Permiso Individual de Formación los salarios correspondientes.

12. Cómputo de plazos.

Los plazos indicados en la presente convocatoria se entenderán referidos a días hábiles. En cuanto al cómputo de los mismos, deberán tenerse en cuenta las estipulaciones recogidas en la Ley 4/1999, de modificación de la Ley 30/1992, de 26 de noviembre, de Régimen Jurídico de las Administraciones Públicas y del Procedimiento Administrativo Común («Boletín Oficial del Estado» de 14 de enero de 1999).

Cuando los plazos para requerimientos, aceptación u otros incluyan días del mes de agosto, el solicitante podrá optar por computar los días transcurridos de este mes a partir del primer día del mes de septiembre.

13. Reintegro de la ayuda otorgada.

La ayuda que se otorgue a los Permisos Individuales de Formación, atendiendo a los criterios recogidos en esta convocatoria y en especial los que se definen en los puntos 8.1 y 8.2 de la misma, podrá ser total o parcialmente objeto de reintegro, cuando se compruebe en los procedimientos de seguimiento y control la veracidad de las declaraciones contenidas en la solicitud, o la alteración de las condiciones en que se aprobó la ayuda, así como se incurra en lo previsto en el artículo 12 de la Orden de 7 de mayo de 1997.

14. Certificación de las ayudas concedidas para la financiación de los Permisos Individuales de Formación.

14.1 A la finalización del Permiso Individual de Formación financiado se deberá acreditar:

a) El resultado académico mediante certificado de notas con sello del centro de estudios, o la presencia en la acción formativa mediante certificado de asistencia con sello del centro de estudios o del departamento correspondiente y firma de la persona que emite el certificado, en cualquier caso la documentación presentada deberá ser original o fotocopia compulsada.

b) La matriculación oficial en la acción formativa objeto del permiso mediante copia de la matrícula y copia de la justificación de haber realizado el pago de la misma (esta documentación se presentará sólo en caso de no haberla aportado en solicitud).

c) El número de horas de permiso financiado realmente utilizadas, lo que acreditará mediante declaración firmada por el solicitante haciendo constar el total de horas disfrutadas, la fecha de inicio y finalización del permiso financiado y la distribución del mismo según modelo del manual de certificación (anexo I y/o anexo II).

d) El salario percibido durante el período de disfrute del permiso, mediante fotocopia de las nóminas correspondientes a dicho período.

14.2 Plazos de presentación ante FORCEM de la documentación para el pago de la ayuda:

14.2.1 Cuando el permiso financiado se disfrute exclusivamente entre septiembre y diciembre, el plazo para la presentación de la documentación establecida en el punto 14.1 será el 15 de febrero del año siguiente.

14.2.2 Cuando el permiso financiado se disfrute exclusivamente entre enero y julio, el plazo para la presentación de la documentación establecida en el punto 14.1 será el 30 de septiembre del mismo año.

14.2.3 Cuando el permiso financiado se disfrute entre septiembre y julio:

a) La financiación con cargo al primer ejercicio ‒horas financiadas y disfrutadas entre septiembre y diciembre‒ se justificará antes del 15 de febrero del año siguiente, para lo que deberá aportar la documentación establecida en los apartados c) y d) del punto 14.1 (punto c, según anexo I del manual de certificación).

b) La financiación con cargo al segundo ejercicio ‒horas financiadas y disfrutadas entre enero y julio‒ se justificará antes del 30 de septiembre del mismo año, para lo que deberá aportar la documentación establecida en los apartados a), b), c) y d) del punto 14.1 (punto c, según anexo II del manual de certificación).

14.2.4 En caso de no presentar la documentación citada en los apartados anteriores en los plazos que se indican, se considerará decaído el derecho a la percepción de la ayuda concedida.

14.2.5 Durante el proceso de certificación, FORCEM podrá solicitar información adicional a la aportada. El solicitante deberá contestar dentro de un plazo máximo de diez días, a partir del siguiente a la recepción del requerimiento. De no ser contestado o no hacerlo en plazo, se considerará decaído el derecho a la percepción de la ayuda concedida.

15. Liquidación de las ayudas concedidas para la financiación de los Permisos Individuales de Formación.

15.1 La liquidación de la ayuda se realizará en función de las horas certificadas y de la financiación aprobada.

15.2 Una vez examinada la documentación presentada, FORCEM practicará la propuesta de liquidación en el plazo de treinta días, que será notificada al solicitante con copia para la empresa, disponiendo de un plazo de diez días para formular las alegaciones que considere oportunas.

Examinadas las mismas o transcurrido dicho plazo sin que hubiesen sido formuladas, FORCEM trasladará la propuesta de liquidación resultante al Instituto Nacional de Empleo, quien dictará resolución de liquidación de la ayuda concedida que será notificada al interesado por FORCEM.

15.3 Para que los pagos se hagan efectivos, la empresa deberá presentar certificación original, o copia debidamente compulsada, de estar al corriente de las obligaciones tributarias y frente a la Seguridad Social, de acuerdo con lo establecido por las Órdenes del Ministerio de Economía y Hacienda de 28 de abril de 1986 y 25 de noviembre de 1987.

16. Control y seguimiento.

Los beneficiarios de las ayudas establecidas en esta convocatoria, quedan sometidos a lo dispuesto en la Orden del Ministerio de Trabajo y Asuntos Sociales de 7 de mayo de 1997 por la que se establecen las bases reguladoras y los criterios para la concesión de ayudas de formación continua, con cargo a la financiación prevista en el II Acuerdo Tripartito de Formación Continua («Boletín Oficial del Estado» de 16 de mayo de 1997), con arreglo al cual, corresponde a la Fundación para la Formación Continua el control y seguimiento de dichas acciones, así como a cualquier otra normativa que pudiera emitirse por autoridad competente.

Estarán obligados, igualmente, a facilitar las tareas de control y seguimiento que, en su caso, pudieran realizar las personas físicas o entidades autorizadas por FORCEM y por el Instituto Nacional de Empleo, así como las de control financiero que corresponden a la Intervención General de la Administración del Estado, en relación con las ayudas concedidas, y a las previstas en la legislación del Tribunal de Cuentas, y también a los de las instancias comunitarias competentes.

17. Plazo de presentación y resolución.

17.1 La presentación de solicitudes de financiación de Permisos Individuales de Formación para los distintos ejercicios que recoge la presente convocatoria, se podrá realizar hasta el 30 de septiembre de cada año.

17.2 Las solicitudes se resolverán de acuerdo con las disponibilidades de fondos en los seis meses siguientes al que expire el plazo de presentación, incluyendo aquellos casos en que el solicitante presente alegaciones en los supuestos previstos en esta convocatoria.

Si transcurrido dicho plazo no se hubiera dictado resolución la solicitud deberá entenderse desestimable.

Disposición transitoria.

A efectos de lo dispuesto en el artículo 4.4, la financiación de las horas imputables al ejercicio 2001 quedará supeditada a la firma de los III Acuerdos Nacionales de Formación Continua, así como a la correspondiente disposición normativa reguladora de las bases financieras del sistema.

Disposición adicional primera.

Anualmente y por resolución del Director general del Instituto Nacional de Empleo, se publicarán en el mes de abril del ejercicio anterior:

a) Los criterios de prioridad.

b) Los impresos de solicitud.

Disposición adicional segunda.

La información contenida en las solicitudes presentadas al amparo de la presente convocatoria quedará sometida a la normativa vigente en materia de confidencialidad de datos.

Asimismo del resultado de la convocatoria, el Instituto Nacional de Empleo publicará las cuantías de las ayudas y sus beneficiarios de acuerdo con el artículo 81.7 de la Ley General Presupuestaria.

Disposición adicional tercera.

Los incumplimientos en la aplicación de las ayudas recibidas por los beneficiarios constituirán infracción sancionable de conformidad con el artículo 28.4 de la Ley 8/1988, de 7 de abril, sobre Infracciones y Sanciones en el Orden Social.

Madrid, 22 de julio de 1999.‒La Directora general, María Dolores Cano Ratia.

Imagen: /datos/imagenes/disp/1999/193/17493_14739685_image1.png

Imagen: /datos/imagenes/disp/1999/193/17493_14739685_image2.png

Imagen: /datos/imagenes/disp/1999/193/17493_14739685_image3.png

ANEXO I
Modelo de declaración de horas correspondiente al período de disfrute de «septiembre-diciembre de 1999»

Imagen: /datos/imagenes/disp/1999/193/17493_14739685_image4.png

ANEXO II
Modelo de declaración de horas correspondiente al período de disfrute de «enero-julio de 2000»

Imagen: /datos/imagenes/disp/1999/193/17493_14739685_image5.png

Imagen: /datos/imagenes/disp/1999/193/17493_14739685_image6.png

Imagen: /datos/imagenes/disp/1999/193/17493_14739685_image7.png

Imagen: /datos/imagenes/disp/1999/193/17493_14739685_image8.png

Imagen: /datos/imagenes/disp/1999/193/17493_14739685_image9.png

Imagen: /datos/imagenes/disp/1999/193/17493_14739685_image10.png

Imagen: /datos/imagenes/disp/1999/193/17493_14739685_image11.png

Imagen: /datos/imagenes/disp/1999/193/17493_14739685_image12.png

Imagen: /datos/imagenes/disp/1999/193/17493_14739685_image13.png

Imagen: /datos/imagenes/disp/1999/193/17493_14739685_image14.png

Imagen: /datos/imagenes/disp/1999/193/17493_14739685_image15.png

Imagen: /datos/imagenes/disp/1999/193/17493_14739685_image16.png

subir

Agència Estatal Butlletí Oficial de l'Estat

Avda. de Manoteras, 54 - 28050 Madrid